L-Lactide Polymerization Kinetics in the Presence of Ti(Tbse)2 by Differential Scanning Calorimetry
- Authors: Moskvichev S.S.1,2, Dmitryakov P.V.1, Sedush N.G.1,3, Chvalun S.N.1,3
-
Affiliations:
- National Research Center “Kurchatov Institute
- Mendeleev University of Chemical Technology of Russia
- Enikolopov Institute of Synthetic Polymer Materials, Russian Academy of Sciences
- Issue: Vol 42, No 7 (2023)
- Pages: 33-40
- Section: XXXIV СИМПОЗИУМ “СОВРЕМЕННАЯ ХИМИЧЕСКАЯ ФИЗИКА” (СЕНТЯБРЬ 2022 г., ТУАПСЕ)
- URL: https://journals.rcsi.science/0207-401X/article/view/139936
- DOI: https://doi.org/10.31857/S0207401X23070129
- EDN: https://elibrary.ru/YCIPHG
- ID: 139936
Cite item
Full Text
Abstract
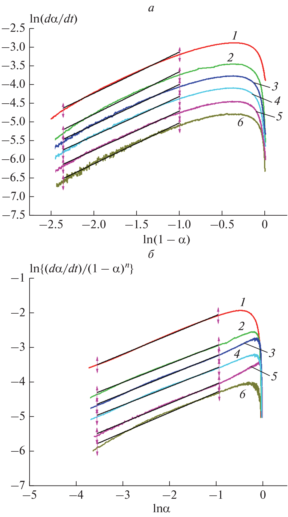
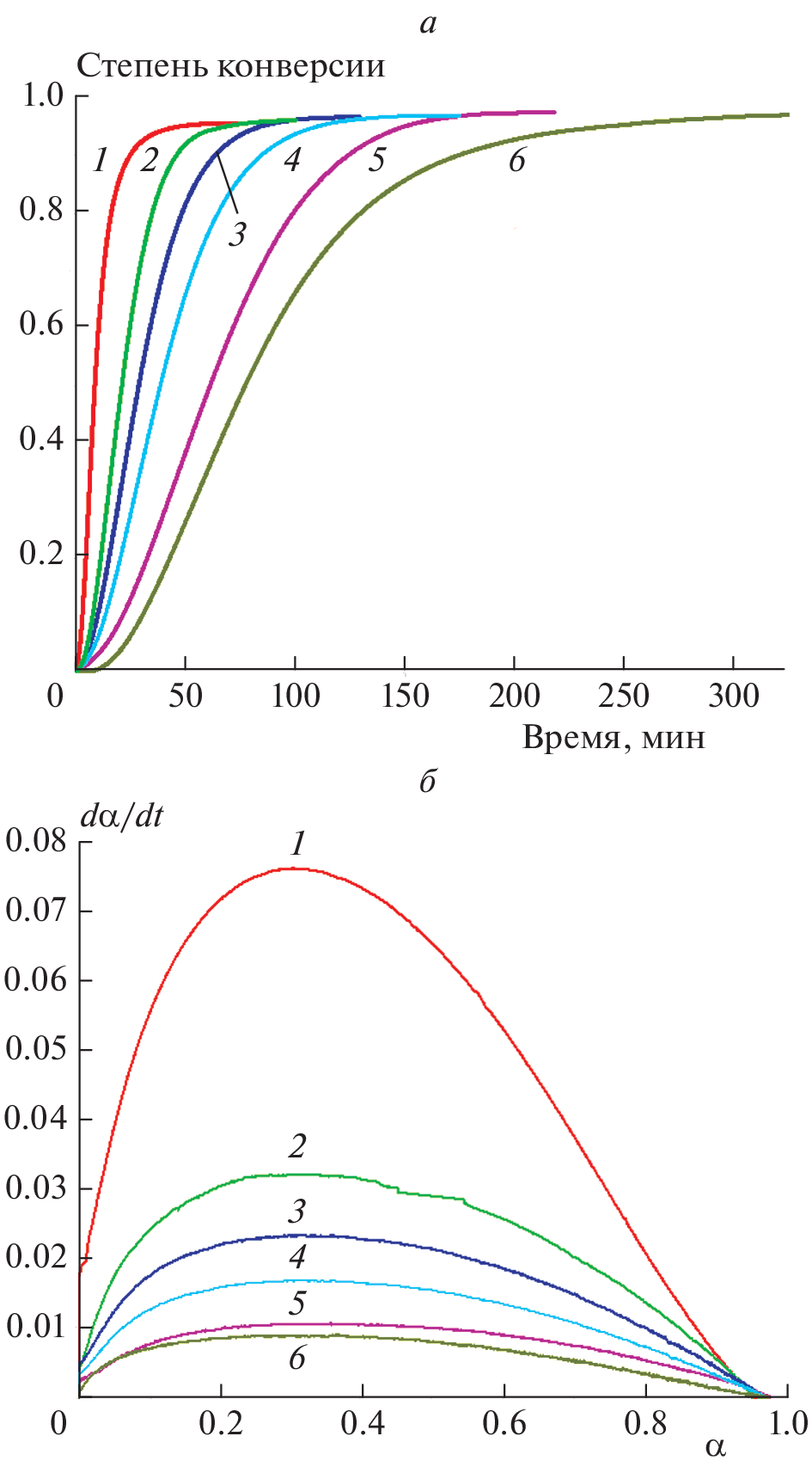
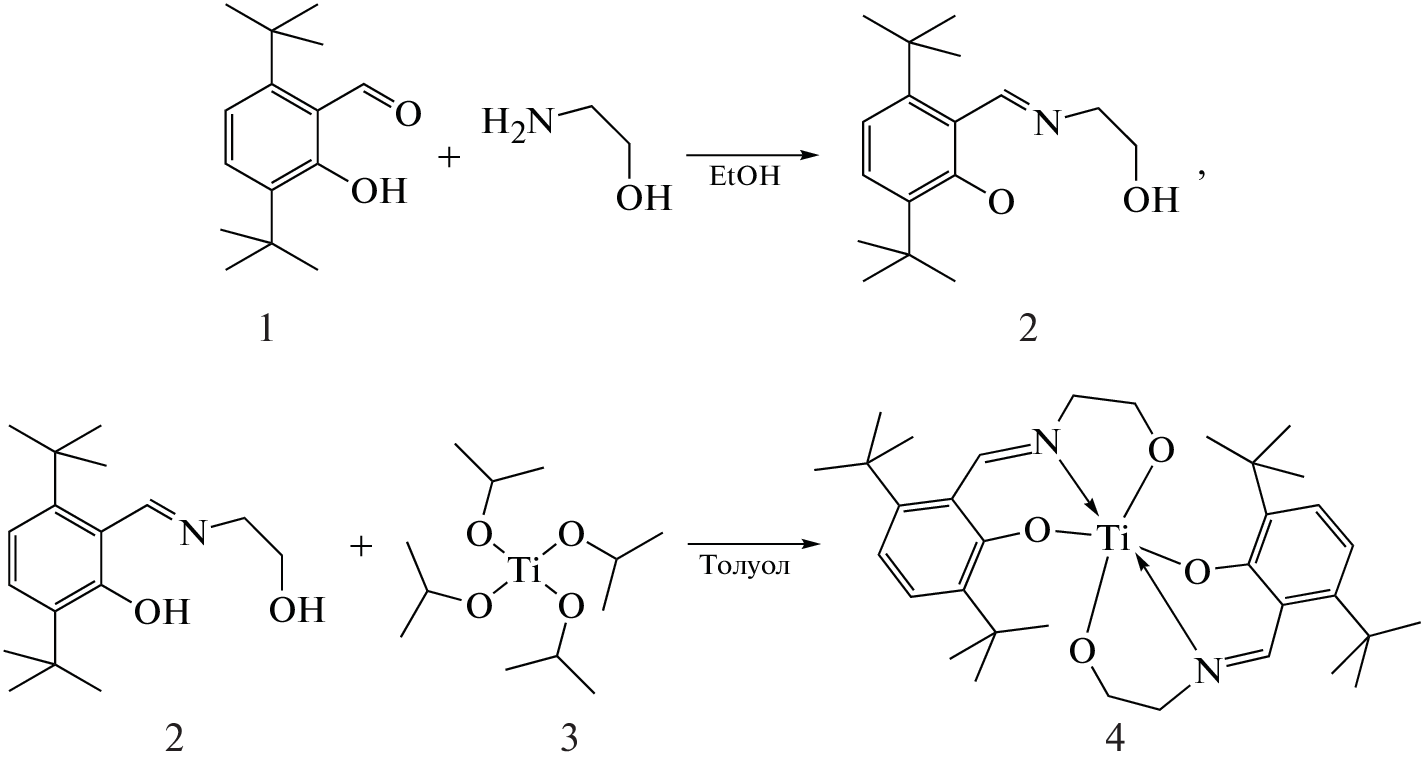
Polylactide is a biodegradable polymer that is increasingly used in the production of medical devices and environmentally friendly packaging. The search for new catalysts for the synthesis of polylactide that do not contain toxic tin and provide a polymer with a controlled set of properties is an urgent problem. In this study, a catalytic complex based on titanium (IV) is synthesized and characterized. The kinetics of the polymerization of L-lactide in the presence of this catalyst is studied by differential scanning calorimetry (DSC), the reaction enthalpy (–125.1 ± 1.5 J/g) is determined, and the kinetic parameters of the Arrhenius equation are calculated (Ea = 95.7 ± 7.5 kJ/mol, lnAeff = 22.7 ± 1.9).
About the authors
S. S. Moskvichev
National Research Center “Kurchatov Institute; Mendeleev University of Chemical Technology of Russia
Email: ssmoskv03@mail.ru
Moscow, Russia; Moscow, Russia
P. V. Dmitryakov
National Research Center “Kurchatov Institute
Email: ssmoskv03@mail.ru
Moscow, Russia
N. G. Sedush
National Research Center “Kurchatov Institute; Enikolopov Institute of Synthetic Polymer Materials, Russian Academy of Sciences
Email: ssmoskv03@mail.ru
Moscow, Russia; Moscow, Russia
S. N. Chvalun
National Research Center “Kurchatov Institute; Enikolopov Institute of Synthetic Polymer Materials, Russian Academy of Sciences
Author for correspondence.
Email: ssmoskv03@mail.ru
Moscow, Russia; Moscow, Russia
References
- Гомзяк В.И., Седуш Н.Г., Пучков А.А., Поляков Д.К., Чвалун С.Н. // Высокомолекуляр. соединения. Б. 2021. Т. 63. № 3. С. 190.
- Седуш Н.Г., Кадина Ю.А., Разуваева Е.В. и др. // Росс. нанотехнологии. 2021. Т. 16. № 4. С. 462.
- Трофимчук Е.С., Поцелеев В.В., Хавпачев М.А., Москвина М.А., Никонорова Н.И. // Высокомолекуляр. соединения. С. 2021. Т. 63. № 2. С. 190.
- Иванова Т.А., Голубева Е.Н. // Хим. физика. 2022. Т. 41. № 6. С. 35.
- Попов А.А., Зыков А.К., Масталыгина Е.Е. // Хим. физика. 2020. Т. 39. № 6. С. 71.
- Роговина С.З., Алексанян К.В., Владимиров Л.В., Берлин А.А. // Хим. физика. 2019. Т. 38. № 9. С. 39.
- Weidner S. M., Kricheldorf H.R. // J. Polym. Sci. Pol. Chem. 2018. V. 56. № 24. P. 2730.
- Stanford M.J., Dove A.P. // Chem. Soc. Rev. 2010. V. 39. P. 486.
- Chamberlain B.M., Cheng M., Moore D.R. et al. // J. Amer. Chem. Soc. 2001. V. 123. P. 3229.
- Kasperczyk J.E. // Macromolecules. 1995. V. 28. P. 3937.
- Wheaton C.A., Hayes P.G., Ireland B.J. // Dalton Trans. 2009. № 25. P. 4817.
- Myers D., White A.J.P., Forsyth C.M. et al. // Angewandte Chemie. 2017. V. 129. № 19. P. 5361.
- Fuchs M., Schmitz S., Schafer P.M. et al. // Eur. Polym. J. 2020. V. 122. P. 109302.
- Dobrzynski P. // J. Polym. Sci., Part A: Polym. Chem. 2004. V. 42. P. 1886
- Xu T.T.-Q., Yang G.-W., Liu C. et al. // Macromolecules. 2017. V. 50. № 2. P. 515.
- Biernesser A.B., Bo Li, Byers J.A. // J. Amer. Chem. Soc. 2013. V. 135. № 44. P. 16553.
- Kricheldorf H., Kreiser-Saunders I., Stricker A. // Macromolecules. 2000. V. 33. № 3. P. 702.
- Sedush N.G., Izraylit V.V., Mailyan A.K. et al. // Mendeleev Communications. 2017. V. 27. № 3. P. 281.
- Hormnirun P., Marshall E.L., Gibson V.C. et al. // J. Amer. Chem. Soc. 2004. V. 126. P. 2688.
- Thomas C.M. // Chem. Soc. Rev. 2010. V. 39. P. 165.
- Xu T.-Q., Gao W., Mu Y. et al. // Polyhedron. 2007. V. 26. P. 3357.
- Press K., Cohen A., Goldberg I. et al. // Angew. Chem. 2011. V. 123. P. 3591.
- Hu C., Wang Y., Xiang H. et al. // Polym. Intern. 2012. V. 61. № 10. P. 1564.
- Durr C.B., Williams C.K. // Inorg. Chem. 2018. V. 57. № 22. P. 14240.
- Li X., Yang B., Zheng H. et al. // PLoS One. 2018. V. 13. № 8.
- Sedush N.G., Chvalun S.N. // Europ. Polym. J. 2015. V. 62. P. 198.
- Kalinin K.T., Sedush N.G., Dmitryakov P.V. et al. // ChemistryOpen. 2021. V. 9. № 10. P. 1027.
- Сильверстейн Р., Вебстер Ф., Кимл Д. Спектрометрическая идентификация органических соединений. М.: БИНОМ. Лаборатория знаний, 2014.
- Vyazovkin S., Burnham A.K., Criado J.M. et al. // Thermochim. Acta. 2011. V. 520. P. 1.
- Limwanich W., Punyodom W., Kungwan N., Meepowpan P. // Intern. J. Chem. Kinet. 2015. V. 47. № 11. P. 734.
- Sestak J., Berggren G. // Thermochim. Acta. 1971. V. 3. P. 1.
Supplementary files










