Численное моделирование влияния примесей на самовоспламенение бедных смесей водорода с воздухом
- Авторы: Тереза А.М.1, Агафонов Г.Л.2, Андержанов Э.К.2, Бетев А.С.2, Медведев С.П.2, Хомик С.В.2, Черепанова Т.Т.2
-
Учреждения:
- Федеральный исследовательский центр химической физики им. Н.Н. Семёнова, Российской академии наук
- Федеральный исследовательский центр химической физики им. Н.Н. Семёнова Российской академии наук
- Выпуск: Том 42, № 3 (2023)
- Страницы: 70-78
- Раздел: Горение, взрыв и ударные волны
- URL: https://journals.rcsi.science/0207-401X/article/view/139919
- DOI: https://doi.org/10.31857/S0207401X23030172
- EDN: https://elibrary.ru/NCWLUS
- ID: 139919
Цитировать
Полный текст
Аннотация
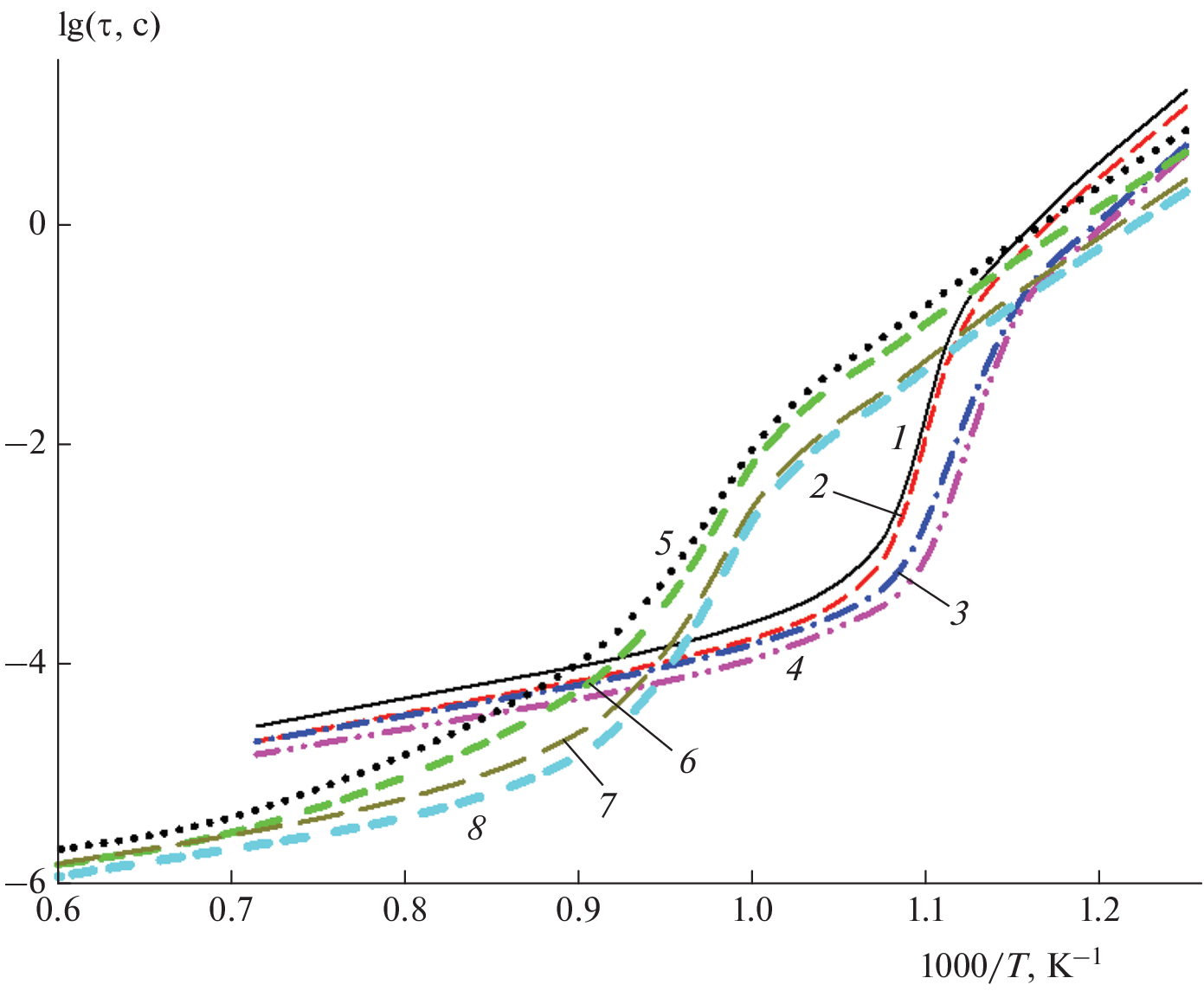
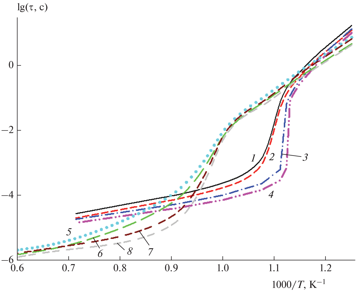
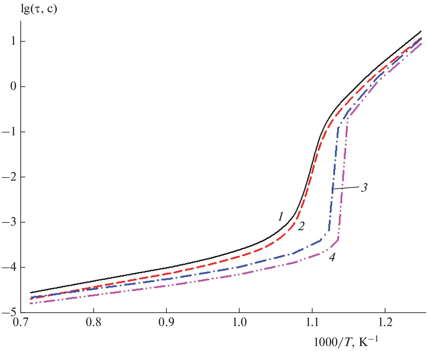
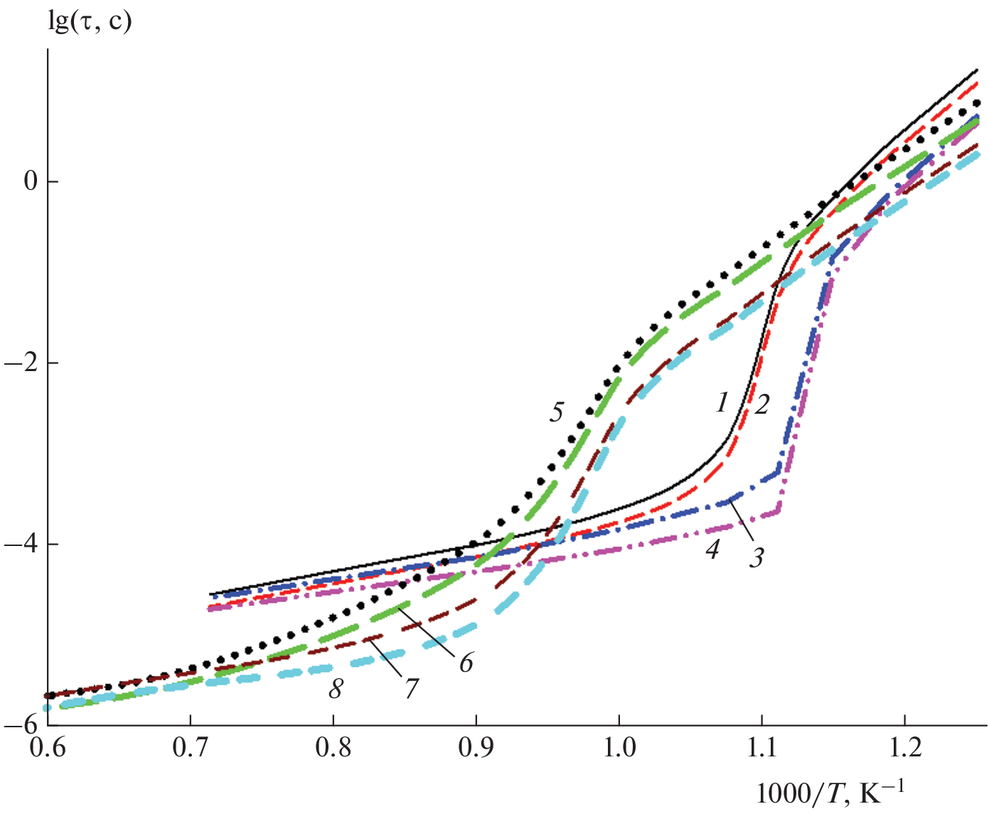
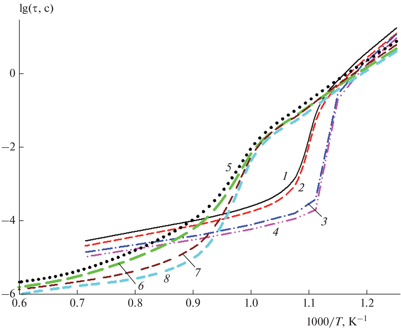
Проведено численное моделирование влияния примесей атомов, молекул и радикалов на самовоспламенение бедных (14% H2) и ультрабедных (6% H2) смесей водорода с воздухом в диапазоне температур от 800 до 1700 K при давлениях 1 и 6 атм. Расчеты показывают, что добавление H, O, OH, HO2 и H2O2 сокращает время задержки воспламенения – τ. Выявлены общие тенденции влияния примесей на самовоспламенение смесей в зависимости от температуры. Для каждой примеси наиболее сильное влияние обнаружено при температурах, близких к 900 и 1100 K, при давлениях 1 и 6 атм соответственно. Показано, что степени влияния примесей O и H практически одинаковы. Влияние примеси HO2 на температурную зависимость задержки воспламенения значительно слабее по сравнению с другими примесями, но эта зависимость качественно совпадает с таковой для H2O2. Хотя степень сокращения задержки воспламенения и убывает для всех примесей по мере приближения к концам исследованного интервала температур, сохраняется заметное влияние радикала OH в высокотемпературной части и примесей HO2 и H2O2 в низкотемпературной. Добавление до 1% воды не влияет на величину τ.
Об авторах
А. М. Тереза
Федеральный исследовательский центр химической физики им. Н.Н. Семёнова, Российской академии наук
Email: tereza@chph.ras.ru
Россия, Москва
Г. Л. Агафонов
Федеральный исследовательский центр химической физики им. Н.Н. Семёнова Российской академии наук
Email: tereza@chph.ras.ru
Россия, Москва
Э. К. Андержанов
Федеральный исследовательский центр химической физики им. Н.Н. Семёнова Российской академии наук
Email: tereza@chph.ras.ru
Россия, Москва
А. С. Бетев
Федеральный исследовательский центр химической физики им. Н.Н. Семёнова Российской академии наук
Email: tereza@chph.ras.ru
Россия, Москва
С. П. Медведев
Федеральный исследовательский центр химической физики им. Н.Н. Семёнова Российской академии наук
Email: tereza@chph.ras.ru
Россия, Москва
С. В. Хомик
Федеральный исследовательский центр химической физики им. Н.Н. Семёнова Российской академии наук
Email: tereza@chph.ras.ru
Россия, Москва
Т. Т. Черепанова
Федеральный исследовательский центр химической физики им. Н.Н. Семёнова Российской академии наук
Автор, ответственный за переписку.
Email: tereza@chph.ras.ru
Россия, Москва
Список литературы
- Rogers R.C., Schexnayder C.J. Jr. NASA: Paper 1856. Hampton, VA, 1981.
- Аветисян А.А. Азатян В.В. Калачев В.И. и др. // Кинетика и катализ. 2007. Т. 48. № 1. С. 12.
- Заманский В.М., Борисов А.А. // Итоги науки и техники. Сер. “Кинетика и катализ”. М.: ВИНИТИ, 1989. С. 160.
- Drakon A., Eremin A. // Combust. Sci. Tech. 2018. V. 190. № 3. P. 550.
- Азатян В.В., Ведешкин Г.К., Филатов Ю.М. // Вестн. РАН. 2019. Т. 89. № 3. С. 279.
- Schonborn A., Sayad P., Konnov A.A., Klingmann J. // Intern. J. Hydrogen Energy. 2014. V. 39. № 23. P. 12 166.
- Dryer F.L., Chaos M. // Combust. and Flame. 2008. V. 152. P. 293.
- Chaos M., Dryer F.L. // Combust. Sci. Tech. 2008. V. 180. № 6. P. 1053.
- Павлов В.А., Герасимов Г.Я. // Инж.-физ. журн. 2014. Т. 87. № 6. С. 1238.
- Urzay J., Kseib N., Davidson D.F., Iaccarino G., Hanson R.K. // Combust. and Flame. 2014. V. 161. № 1. P. 1
- Власов П.А., Смирнов В.Н., Тереза А.М. // Хим. физика. 2016. Т. 35. № 6. С. 35.
- Смыгалина А.Е., Киверин А.Д. // Хим. физика. 2021. Т. 40. № 8. С. 49.
- Гельфанд Б.Е., Медведев С.П., Хомик С.В. и др. // ДАН. 1996. Т. 349. № 4. С. 482.
- Gelfand B.E., Popov O.E., Medvedev S.P. et al. // Proc. 21st Sympos. (Intern.) on Shock Waves / Ed. Houwing A.F.P. Brisbane, Canberra, Australia: Queensland University, 1997. Paper № 2400.
- Забайкин В.А., Perkov E.V., Tret’yakov P.K. // Физика горения и взрыва. 1997. Т. 33. № 3. С. 70.
- Козлов С.Н., Александров Е.Н., Кузнецов Н.М., Маркевич Е.А. // Хим. физика. 2013. Т. 32. № 11. С. 75.
- Александров Е.Н., Маркевич Е.А., Козлов С.Н., Частухин Д.С., Кузнецов Н.М. // Физика горения и взрыва. 2013. Т. 49. № 1. С. 3.
- Маркевич Е.А., Козлов С.Н., Александров Е.Н., Кузнецов Н.М. // Хим. физика. 2014. Т. 33. № 6. С. 47.
- Rubtsov N.M. Key Factors of Combustion. From Kinetics to Gas Dynamics. Cham, Switzerland: Springer, 2017.
- Tingas E.Al., Kyritsis D.C., Goussis D.A. // J. Energy Eng. 2019. V. 145. Issue 1. P. 04018074
- Налбандян А.Б., Воеводский В.В. Механизм окисления и горения водорода. М.: Изд-во АН СССР, 1949.
- Кондратьев В.Н., Никитин Е.Е. Кинетика и механизм газофазных реакций. М.: Наука, 1974.
- Crane J., Shi X., Singh A.V., Tao Y., Wang H. // Combust. and Flame. 2019. V. 200. P. 44.
- Hu E., Pan L., Gao Z. et al. // Inter. J. Hydr. Energ. 2016. V. 41. P. 13261.
- Keromnes A., Metcalfe W.K., Heufer K.A. et al. // Combust. Flame. 2013. V. 160. P. 995.
- Mulvihill C.R., Petersen E.L. // Proc. Combust. Inst. 2019. V. 37. Issue 1. P. 259; https://doi.org/10.1016/j.proci.2018.05.024
- Cantwell B.J. // Annu. Rev. Fluid Mech. 1981. V. 13. P. 457.
- Репик Е.У., Соседко Ю.П. Турбулентный пограничный слой. М.: Физматлит, 2007.
- Физическая химия быстрых реакций / Под ред. Левитт Б.П. М.: Мир, 1976.
- Safety standard for hydrogen and hydrogen systems NASA. Washington, DC, 1997. Paper NSS 1740.16.
- Sinev M.Yu. // Rus. J. Phys. Chem. B. 2007. V. 1. № 4. P. 329.
- Долин П.И., Эршлер Б.В. // Доклады, представленные СССР на Междунар. конф. по мирному использованию атомной энергии в Женеве. М.: АН СССР, 1955. С. 293.
- Le Caer S. // Water. 2011. V. 3. № 1. P. 235; https://doi.org/10.3390/w3010235
- Macdonald D.D., Engelhardt G.R., Petrov A.A // Corros. Mater. Degrad. 2022. V. 3. P. 470; https://doi.org/10.3390/cmd3030028
- CHEMKIN-Pro 15112. CK-TUT-10112-1112-UG-1. Reaction Design: San Diego, 2011.
- Grune J., Sempert K., Haberstroh H., Kuznetsov M., Jordan T. // J. Loss Prevention Process Industries. 2013. V. 26. P. 317.
- Тереза А.М., Агафонов Г.Л., Андержанов Э.К. и др. // Хим. физика. 2022. Т. 41. № 8. С. 66.
- Sanchez A.L., Williams F.A. // Progr. Energy Combust. Sci. 2014. V. 41. P. 1.
- Голодец Г.И. Гетерогенно-каталитические реакции с участием молекулярного кислорода. Киев: Наук. думка, 1977.
- Синев М.Ю. Автореф. дис. … д-ра хим. наук. М.: ИХФ РАН, 2011. С. 63.
- Высокореакционные интермедиаты / Под ред. Егорова М.П., Мельникова М.Я. М.: КРАСАНД, 2014.
- Тереза А.М., Агафонов Г.Л., Андержанов Э.К. и др. // Горение и взрыв. 2021.Т. 14. № 4. С. 4
- Азатян В.В. // Кинетика и катализ. 2020. Т. 61. № 3. С. 291.
- Masten D.A., Hanson R.K., Bowman C.T. // J. Phys. Chem. 1990. V. 94. № 18. P. 7119.
Дополнительные файлы









