Energy Barrier of Photoinduced Charge Separation in the Reaction Centers of Photosystems I and II
- Autores: Cherepanov D.A.1,2, Milanovsky G.E.2, Nadtochenko V.A.1,3, Semenov A.Y.1,2
-
Afiliações:
- Semenov Federal Research Center for Chemical Physics, Russian Academy of Sciences
- Belozersky Research Institute of Physico-Chemical Biology, Moscow State University
- Faculty of Chemistry, Moscow State University,
- Edição: Volume 42, Nº 6 (2023)
- Páginas: 88-94
- Seção: К 100-ЛЕТИЮ СО ДНЯ РОЖДЕНИЯ АКАДЕМИКА В.И. ГОЛЬДАНСКОГО
- URL: https://journals.rcsi.science/0207-401X/article/view/139910
- DOI: https://doi.org/10.31857/S0207401X23060043
- EDN: https://elibrary.ru/UHDNDJ
- ID: 139910
Citar
Texto integral
Resumo
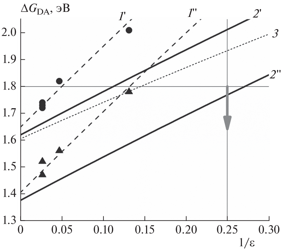
This paper focuses on the energetics of photoinduced charge separation reactions between closely spaced molecules of chlorophyll (Chl) and pheophytin (Pheo). The reaction centers of photosystems PSI and PSII include three pairs of spectrally similar porphyrin cofactors, whose structure allows the implementation of alternative mechanisms of primary charge separation. A continuum model for the formation of ion-radical pairs in a dielectric environment based on partial charges calculated ab initio is considered. The model describes the experimental variation of the midpoint redox potentials of Chl and Pheo in solutions with different permittivities. Within this model, the formation energy of primary ion-radical pairs is estimated for the alternative mechanisms of charge separation in PSI and PSII discussed in the literature. In the considered approximation in PSII, the primary charge separation between the monomer of Chl (ChlD1) and Pheo (PheoD1) is the only energetically allowed mechanism. The absence of Pheo in the same position in the reaction center of PSI denies the possibility of the Chl monomer in this complex acting as the primary electron donor. Stabilization of the primary ion-radical pair in PSI can occur due to the delocalization of the electron density along the dimer of a special pair of Chl molecules (Р700) and the heterodimer of Chl molecules forming the primary acceptor A0.
Palavras-chave
Sobre autores
D. Cherepanov
Semenov Federal Research Center for Chemical Physics, Russian Academy of Sciences; Belozersky Research Institute of Physico-Chemical Biology, Moscow State University
Email: tscherepanov@gmail.com
Moscow, Russia; Moscow, Russia
G. Milanovsky
Belozersky Research Institute of Physico-Chemical Biology, Moscow State University
Email: tscherepanov@gmail.com
Moscow, Russia
V. Nadtochenko
Semenov Federal Research Center for Chemical Physics, Russian Academy of Sciences; Faculty of Chemistry, Moscow State University,
Email: tscherepanov@gmail.com
Moscow, Russia; Moscow, Russia
A. Semenov
Semenov Federal Research Center for Chemical Physics, Russian Academy of Sciences; Belozersky Research Institute of Physico-Chemical Biology, Moscow State University
Autor responsável pela correspondência
Email: tscherepanov@gmail.com
Moscow, Russia; Moscow, Russia
Bibliografia
- Медведев Э.С., Котельников А.И., Горячев Н.С. и др. // Хим. физика. 2011. Т. 30. № 3. С. 71.
- Schenderlein M., Çetin M., Barber J. et al. // Biochim. Biophys. Acta-Bioenerg. 2008. V. 1777. № 11. P. 1400; https://doi.org/10.1016/j.bbabio.2008.08.008
- Gorka M., Charles P., Kalendra V. et al. // iScience. 2021. V. 24. № 7. P. 102719; https://doi.org/10.1016/j.isci.2021.102719
- Chauvet A., Dashdorj N., Golbeck J.H. et al. // J. Phys. Chem. B. 2012. V. 116. № 10. P. 3380; https://doi.org/10.1021/jp211246a
- Cherepanov D.A., Shelaev I. V., Gostev F.E. et al. // Photochem. Photobiol. Sci. 2021. V. 20. № 9. P. 1209; https://doi.org/10.1007/s43630-021-00094-y
- Shuvalov V.A. // Biochim. Biophys. Acta-Bioenerg. 1976. V. 430. № 1. P. 113; https://doi.org/10.1016/0005-2728(76)90227-9
- Savikhin S. Photosystem I. Advances in Photosynthesis and Respiration. V. 24 / Ed. Golbeck J.H. Dordrecht: Springer, 2006. P. 155; https://doi.org/10.1007/978-1-4020-4256-0_12
- Shelaev I.V., Gostev F.E., Mamedov M.D. et al. // Biochim. Biophys. Acta-Bioenerg. 2010. V. 1797. № 8. P. 1410; https://doi.org/10.1016/j.bbabio.2010.02.026
- Gorka M., Baldansuren A., Malnati A. et al. // Front. Microbiol. 2021. V. 12. P. 2776; https://doi.org/10.3389/fmicb.2021.735666
- Cherepanov D.A., Shelaev I. V., Gostev F.E. et al. // Biochim. Biophys. Acta-Bioenerg. 2017. V. 1858. № 11. P. 895; https://doi.org/10.1016/j.bbabio.2017.08.008
- Plato M., Krauß N., Fromme P., Lubitz W. // Chem. Phys. 2003. V. 294. № 3. P. 483; https://doi.org/10.1016/S0301-0104(03)00378-1
- Artiukhin D.G., Eschenbach P., Neugebauer J. // J. Phys. Chem. B. 2020. V. 124. № 24. P. 4873; https://doi.org/10.1021/acs.jpcb.0c02827
- Müller M.G., Niklas J., Lubitz W., Holzwarth A.R. // Biophys. J. 2003. V. 85. № 6. P. 3899; https://doi.org/10.1016/s0006-3495(03)74804-8
- Molotokaite E., Remelli W., Casazza A.P. et al. // J. Phys. Chem. B. 2017. V. 121. № 42. P. 9816; https://doi.org/10.1021/acs.jpcb.7b07064
- Климов В.В., Аллахвердиев С.И., Деметер Ш., Красновский А.А. // Докл. АН СССР. 1979. Т. 49. С. 227.
- Tomo T., Allakhverdiev S.I., Mimuro M. // J. Photochem. Photobiol., B. 2011. V. 104. № 1–2. P. 333; https://doi.org/10.1016/j.jphotobiol.2011.02.017
- Кувыкин И.В., Вершубский А.В., Тихонов А.Н. // Хим. физика. 2009. Т. 28. № 4. С. 63.
- Nadtochenko V.A., Shelaev I. V., Mamedov M.D. et al. // Biochem. 2014. V. 79. № 3. P. 197; https://doi.org/10.1134/S0006297914030043
- Raszewski G., Saenger W., Renger T. // Biophys. J. 2005. V. 88. № 2. P. 986; https://doi.org/10.1529/biophysj.104.050294
- Novoderezhkin V.I., Romero E., Dekker J.P., Van Grondelle R. // Chem. Phys. Chem. 2011. V. 12. № 3. P. 681; https://doi.org/10.1002/cphc.201000830
- Frisch M.J., Trucks G.W., Schlegel H.B., Scuseria G.E., Robb M.A., Cheeseman J.R., Scalmani G., Barone V., Petersson G.A., Nakatsuji H., Li X., Caricato M., Marenich A.V., Bloino J., Janesko B.G., Gomperts R., Mennucci B., Hratchian H.P., Ortiz J.V., Izmaylov A.F., Sonnenberg J.L., Williams-Young D., Ding F., Lipparini F., Egidi F., Goings J., Peng B., Petrone A., Henderson T. // Gaussian. 16. Rev. C. 01. Wallingford CT: Gaussian Inc., 2016.
- Parr R.G., Weitao Y. Density-Functional Theory of Atoms and Molecules. N.Y.: Oxford Academic, 1995; https://doi.org/10.1093/OSO/9780195092769.003.0005
- Jordan P., Fromme P., Witt H.T. et al. // Nature. 2001. V. 411. № 6840. P. 909; https://doi.org/10.1038/35082000
- Britt R.D., Marchiori D.A. // Science. 2019. V. 366. № 6463. P. 305; https://doi.org/10.1126/science.aaz4522
- Henderson T.M., Izmaylov A.F., Scalmani G., Scuseria G.E. // J. Chem. Phys. 2009. V. 131. № 4. P. 044 108; https://doi.org/10.1063/1.3185673
- Черепанов Д.А., Милановский Г.Е., Айбуш А.В., Надточенко В.А. // Хим. физика. 2023.
- Lu T., Chen F. // J. Comput. Chem. 2012. V. 33. № 5. P. 580; https://doi.org/10.1002/jcc.22885
- Rocchia W., Alexov E., Honig B. // J. Phys. Chem. B. 2001. V. 105. № 28. P. 6507; https://doi.org/10.1021/jp010454y
- Vauthey E. // Chem. Phys. Chem. 2012. V. 13. № 8. P. 2001; https://doi.org/10.1002/cphc.201200106
- Kellogg M., Akil A., Muthiah Ravinson D.S. et al. // Faraday Discuss. 2019. V. 216. P. 379; https://doi.org/10.1039/c8fd00201k
- Krishtalik L.I. // Biochim. Biophys. Acta-Bioenerg. 2011. V. 1807. № 11. P. 1444; https://doi.org/10.1016/J.BBABIO.2011.07.002
- Хохлова С.С., Михайлова В.А., Иванов А.И. // Хим. физика. 2007. Т. 26. № 7. С. 27.
- Ptushenko V.V., Cherepanov D.A., Krishtalik L.I., Semenov A.Y. // Photosynth. Res. 2008. V. 97. № 1. P. 55; https://doi.org/10.1007/s11120-008-9309-y
- Lebedev A.Y., Filatov M.A., Cheprakov A.V., Vinogradov S.A. // J. Phys. Chem. A. 2008. V. 112. № 33. P. 7723; https://doi.org/10.1021/jp8043626
- Sazanovich I.V., Galievsky V.A., Van Hoek A. et al. // J. Phys. Chem. B. 2001. V. 105. № 32. P. 7818; https://doi.org/10.1021/jp010274o
- Röder B., Büchner M., Rückmann I., Senge M.O. // Photochem. Photobiol. Sci. 2010. V. 9. № 8. P. 1152; https://doi.org/10.1039/c0pp00107d
- Wasielewski M.R., Smith R.L., Kostka A.G. // J. Amer. Chem. Soc. 1981. V. 102. № 23. P. 358; https://doi.org/10.1021/JA00543A004/ASSET/JA00-543A004.FP.PNG_V03
- Kobayashi M., Ohashi S., Iwamoto K. et al. // Biochim. Biophys. Acta-Bioenerg. 2007. V. 1767. № 6. P. 596; https://doi.org/10.1016/j.bbabio.2007.02.015
- Saji T., Bard A.J. // J. Amer. Chem. Soc. 1977. V. 99. № 7. P. 2235; https://doi.org/10.1021/ja00449a034
Arquivos suplementares




