Conversion of Wood Gasification Products by the Method of Partial Oxidation with Air
- Autores: Kislov V.M.1, Tsvetkova Y.Y.1, Pilipenko E.N.1, Repina M.A.2, Salganskaya M.V.1
-
Afiliações:
- Institute of Problems of Chemical Physics, Russian Academy of Sciences, Chernogolovka, Russia
- Sakhalin State University, Yuzhno-Sakhalinsk, Russia
- Edição: Volume 42, Nº 3 (2023)
- Páginas: 16-22
- Seção: Combustion, explosion and shock waves
- URL: https://journals.rcsi.science/0207-401X/article/view/139890
- DOI: https://doi.org/10.31857/S0207401X2303007X
- EDN: https://elibrary.ru/LYHAIU
- ID: 139890
Citar
Texto integral
Resumo
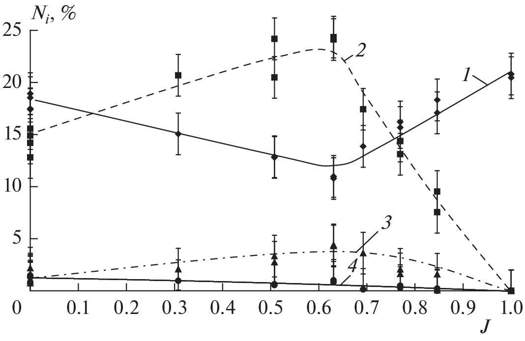
Various methods for obtaining a combustible gas with a low tar content during the gasification of wood in superadibatic regimes are experimentally investigated: by adding catalysts to the gasified fuel (1), oxidative conversion of wood gasification products (2), and a combination of these two methods. It is established that the conversion of products of the catalytic gasification of wood makes it possible to obtain a tar-free combustible gas, which can be used in power engineering, but is unsuitable for chemical synthesis.
Palavras-chave
Sobre autores
V. Kislov
Institute of Problems of Chemical Physics, Russian Academy of Sciences, Chernogolovka, Russia
Email: vmkislov@icp.ac.ru
Россия, Черноголовка
Yu. Tsvetkova
Institute of Problems of Chemical Physics, Russian Academy of Sciences, Chernogolovka, Russia
Email: vmkislov@icp.ac.ru
Россия, Черноголовка
E. Pilipenko
Institute of Problems of Chemical Physics, Russian Academy of Sciences, Chernogolovka, Russia
Email: vmkislov@icp.ac.ru
Россия, Черноголовка
M. Repina
Sakhalin State University, Yuzhno-Sakhalinsk, Russia
Email: vmkislov@icp.ac.ru
Россия, Южно-Сахалинск
M. Salganskaya
Institute of Problems of Chemical Physics, Russian Academy of Sciences, Chernogolovka, Russia
Autor responsável pela correspondência
Email: vmkislov@icp.ac.ru
Россия, Черноголовка
Bibliografia
- Heidenreich S., Foscolo P.U. // Prog. Energy Combust. Sci. 2015. V. 46. P. 72; https://doi.org/10.1016/j.pecs.2014.06.002
- Sansaniwal S.K., Pal K., Rosen M.A., Tyagi S.K. // Renewable Sustainable Energy Rev. 2017. V. 72. P. 363; https://doi.org/10.1016/j.rser.2017.01.038
- Watson J., Zhang Y., Si B., Chen W. T., Souza R. // Ibid. 2018. V. 83. P. 1; https://doi.org/10.1016/j.rser.2017.10.003
- Orihuela M.P., Espinoza L., Ripoll N., Chacartegui R., Toledo M. // Energy Convers. Manage. 2021. V. 233. P. 113 901; https://doi.org/10.1016/j.enconman.2021.113901
- Кислов В.М., Цветков М.В., Зайченко А.Ю., Подлесный Д.Н., Салганский Е.А. // Хим. физика. 2021. Т. 40. № 9. С. 27; https://doi.org/10.31857/S0207401X21090053
- Woolcock P.J., Brown R.C. // Biomass Bioenergy. 2013. V. 52. P. 54; https://doi.org/10.1016/j.biombioe.2013.02.036
- Asadullah M. // Renewable Sustainable Energy Rev. 2014. V. 40. P. 118; https://doi.org/10.1016/j.rser.2014.07.132
- David E., Kopač J. // Renewable Energy. 2021. T. 171. P. 1290; https://doi.org/10.1016/j.renene.2021.02.110
- Chen Y., Wang Y., Pezzola L., Mussi R., Bromberg L. et al. // Biomass Bioenergy. 2021. V. 149. P. 106085; https://doi.org/10.1016/j.biombioe.2021.106085
- Yu J., Guo Q., Gong Y. et al. // Fuel Process. Technol. 2021. V. 214. P. 106723; https://doi.org/10.1016/j.fuproc.2021.106723
- Xie Q., Kong S., Liu Y., Zeng H. // Bioresour. Technol. 2012. V. 110. P. 603; https://doi.org/10.1016/j.biortech.2012.01.028
- Ren J., Cao J.P., Zhao X.Y., Yang F.L., Wei X.Y. // Renewable Sustainable Energy Rev. 2019. V. 116. P. 109 426; https://doi.org/10.1016/j.rser.2019.109426
- Ren J., Liu Y.L., Zhao X.Y., Cao J.P. // J. Energy Inst. 2020. V. 93. P. 1083. https://doi.org/10.1016/j.joei.2019.10.003
- Kan T., Strezov V., Evans T. et al. // Renewable Sustainable Energy Rev. 2020. V. 134. P. 110 305. https://doi.org/10.1016/j.rser.2020.110305
- Салганский Е.А., Цветков М.В., Зайченко А.Ю., Подлесный Д.Н., Седов И.В. // Хим. физика. 2021. Т. 40. № 11. С. 14; https://doi.org/10.31857/S0207401X2111008X
- Цветков М.В., Кислов В.М., Цветкова Ю.Ю. и др. // Хим. физика. 2022. Т. 41. № 8. С. 93; https://doi.org/10.31857/S0207401X22080143
- Podlesniy D., Zaichenko A., Tsvetkov M., Salganskaya M., Chub A., Salgansky E. // Fuel. 2021. V. 298. P. 120 862; https://doi.org/10.1016/j.fuel.2021.120862
- Зайченко А.Ю., Подлесный Д.Н., Цветков М.В., Салганская М.В., Чуб А.В. // ЖПХ. 2019. Т. 92. № 2. С. 245; https://doi.org/10.1134/S0044461819020166
- Тереза А.М., Агафонов Г.Л., Андержанов Э.К. и др. // Хим. физика. 2020. Т. 39. № 8. С. 58; https://doi.org/10.31857/S0207401X20080129
- Тереза А.М., Агафонов Г.Л., Андержанов Э.К., Медведев С.П. // Хим. физика. 2021. Т. 40. № 8. С. 56; https://doi.org/10.31857/S0207401X21080136
- Тереза А.М., Агафонов Г.Л., Андержанов Э.К. и др. // Хим. физика. 2021. Т. 40. № 12. С. 29; https://doi.org/10.31857/S0207401X21120141
- Su Y., Luo Y., Chen Y., Wu W., Zhang Y. // Fuel Process. Technol. 2011. V. 92. P. 1513. https://doi.org/10.1016/j.fuproc.2011.03.013
- Ahrenfeldt J., Egsgaard H., Stelte W., Thomsen T., Henriksen U.B. // Fuel. 2013. V. 112. P. 662; https://doi.org/10.1016/j.fuel.2012.09.048
- Zhao S., Luo Y., Zhang Y., Long Y. // J. Anal. Appl. Pyrolysis. 2015. V. 112. P. 262; https://doi.org/10.1016/j.jaap.2015.01.016
- Кислов В.М., Салганский Е.А., Цветков М.В., Цветкова Ю.Ю. // ЖПХ. 2017. Т. 90. № 5. С. 579.
- Глазов С.В., Кислов В.М., Размыслов А.В., Салганская М.В. // ЖПХ. 2019. Т. 92. № 7. С. 927; https://doi.org/10.1134/S0044461819070156
- Кислов В.М., Глазов С.В., Салганская М.В., Пилипенко Е.Н., Цветкова Ю.Ю. // ЖПХ. 2021. Т. 94. № 3. С. 363; https://doi.org/10.31857/S0044461821030117
- Кислов В.М., Глазов С.В., Салганский Е.А., Колесникова Ю.Ю., Салганская М.В. // Физика горения и взрыва. 2016. Т. 52. № 3. С.72; https://doi.org/10.15372/FGV20160310
- Salgansky E.A., Kislov V.M., Glazov S.V., Salganskaya M.V. // J. Combust. 2016. V. 2016. P. 9637082; https://doi.org/10.1155/2016/9637082
Arquivos suplementares







