Конденсация ДНК в бактериях
- Авторы: Крупянский Ю.Ф.1, Генералова А.А.1, Коваленко В.В.1, Лойко Н.Г.1,2, Терешкин Э.В.1, Моисеенко А.В.1,3, Терешкина К.Б.1, Соколова О.С.3, Попов А.Н.4
-
Учреждения:
- Федеральный исследовательский центр химической физики им. Н.Н. Семёнова Российской академии наук
- Федеральный исследовательский центр “Фундаментальные основы биотехнологии” Российской академии наук
- Московский государственный университет им. М.В. Ломоносова
- European Synchrotron Radiation Facility
- Выпуск: Том 42, № 6 (2023)
- Страницы: 3-20
- Раздел: К 100-ЛЕТИЮ СО ДНЯ РОЖДЕНИЯ АКАДЕМИКА В.И. ГОЛЬДАНСКОГО
- URL: https://journals.rcsi.science/0207-401X/article/view/139885
- DOI: https://doi.org/10.31857/S0207401X23060067
- EDN: https://elibrary.ru/UILPBU
- ID: 139885
Цитировать
Полный текст
Аннотация
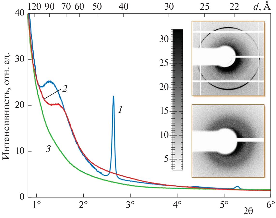
Дезоксирибонуклеиновая кислота (ДНК) организована в нуклеоиде активно растущей клетки иерархически – с тремя уровнями компактизации ДНК. Нижний уровень (малый масштаб ≥1 Кбайт пар оснований) обеспечивается взаимодействием со связанными с ДНК белками. Активно растущие клетки поддерживают динамический, далекий от равновесия порядок благодаря метаболизму. При переходе клеток в покоящееся состояние (практически полное отсутствие метаболизма) обычные биохимические способы защиты ДНК перестают работать, и клетки, адаптируясь к новым условиям, вынуждены использовать физические механизмы защиты ДНК. Проведено изучение структуры ДНК в нуклеоиде покоящихся клеток, образующихся при стрессе голодания, с помощью методов дифракции синхротронного излучения и просвечивающей электронной микроскопии (ПЭМ). Экспериментальные результаты позволили визуализировать структуры нижнего иерархического уровня компактизации ДНК в нуклеоиде покоящихся клеток. Впервые проведенная серия дифракционных экспериментов свидетельствует о наличии периодической упорядоченной организации ДНК во всех изученных бактериях. Метод ПЭМ позволил извлечь тонкую визуальную информацию о типе конденсации ДНК в нуклеоиде бактерии Escherichia coli (E. coli). Обнаружены внутриклеточные нанокристаллические, жидкокристаллические и свернутые нуклеосомоподобные структуры ДНК. Свернутая нуклеосомоподобная структура наблюдалась впервые, она является результатом множественного сворачивания длинных молекул ДНК вокруг связывающего ДНК белка голодающих клеток (Dps) и его ассоциатов. Обнаруженные нами различные типы конденсированного состояния ДНК в изучаемых покоящихся клетках E. сoli (гетерогенность конденсации ДНК) дают дополнительные аргументы в пользу концепции, рассматривающей микробную популяцию как многоклеточный организм. Проведено изучение изменений в архитектуре ДНК под влиянием химического аналога аутоиндуктора анабиоза 4-гексилрезорцина (4-ГР). Рост концентрации 4-ГР индуцирует переход части клеток популяции в анабиотическое покоящееся состояние, а затем – и в мумифицированное состояние. Проведенные исследования структуры ДНК в анабиотическом и мумифицированном состояниях показывают спектроскопическую идентичность структуры ДНК в покоящемся анабиотическом состоянии и в покоящемся состоянии, образующемся при стрессе голодания. Исследования структуры ДНК в мумифицированном состоянии показывают сильное отличие последней от структуры ДНК в анабиотическом состоянии.
Об авторах
Ю. Ф. Крупянский
Федеральный исследовательский центр химической физики им. Н.Н. Семёнова Российской академии наук
Email: yufk@chph.ras.ru
Россия, Москва
А. А. Генералова
Федеральный исследовательский центр химической физики им. Н.Н. Семёнова Российской академии наук
Email: yufk@chph.ras.ru
Россия, Москва
В. В. Коваленко
Федеральный исследовательский центр химической физики им. Н.Н. Семёнова Российской академии наук
Email: yufk@chph.ras.ru
Россия, Москва
Н. Г. Лойко
Федеральный исследовательский центр химической физики им. Н.Н. Семёнова Российской академии наук; Федеральный исследовательский центр “Фундаментальные основы биотехнологии” Российской академии наук
Email: yufk@chph.ras.ru
Россия, Москва; Россия, Москва
Э. В. Терешкин
Федеральный исследовательский центр химической физики им. Н.Н. Семёнова Российской академии наук
Email: yufk@chph.ras.ru
Россия, Москва
А. В. Моисеенко
Федеральный исследовательский центр химической физики им. Н.Н. Семёнова Российской академии наук; Московский государственный университет им. М.В. Ломоносова
Email: yufk@chph.ras.ru
Россия, Москва; Россия, Москва
К. Б. Терешкина
Федеральный исследовательский центр химической физики им. Н.Н. Семёнова Российской академии наук
Email: yufk@chph.ras.ru
Россия, Москва
О. С. Соколова
Московский государственный университет им. М.В. Ломоносова
Email: yufk@chph.ras.ru
Россия, Москва
А. Н. Попов
European Synchrotron Radiation Facility
Автор, ответственный за переписку.
Email: yufk@chph.ras.ru
France, Grenoble, 71, avenue des Martyrs, CS 40220, 38043
Список литературы
- Stonington O.G., Pettijohn D.E. // Proc. Natl. Acad. Sci. USA. 1971. V. 68. № 1. P. 6
- Verma S.C., Qian Z., Adhya S.L. // PLoS. Genet. 2019. V. 15. № 12. e1008456
- Trun N., Marko J. // Amer. Soc Microbiol. News. 1998. V. 64. № 5. P. 276.
- Бухарин О.В., Гинцбург А.Л., Романова Ю.М., Эль-Регистан Г.И. Механизмы выживания бактерий. М.: Медицина, 2005.
- Ткаченко А.Г. Молекулярные механизмы стрессорных ответов у микроорганизмов. Екатеринбург: Уро РАН, 2012.
- Minsky A., Shimoni E., Frenkiel-Krispin D. // Nat. Rev. Mol. Cell. Biol. 2002. V. 3. P. 50.
- Grosberg A.Y., Khokhlov A.R. Statistical physics of macromolecules. N.Y.: AIP, 1994.
- Bloomfield V.A. // Curr. Opin. Struct. Biol. 1996. V. 6. P. 334.
- Циммер К. Микрокосм. E. coli и новая наука о жизни. Пер. с англ. М.: ООО “Альпина нон-фикшн”, 2013.
- Крупянский Ю.Ф., Гольданский В.И. // УФН. 2002. Т. 172. № 11. С. 1247.
- Крупянский Ю.Ф. // Хим. физика. 2021. Т. 40. № 3. С. 60; https://doi.org/10.31857/S0207401X21030079
- Шайтан К.В. // Хим. физика. 2023. Т. 42. № 6. С. 40.
- Dekker J., Rippe K., Dekker M., Kleckner N. // Capturing Chromosome Conform. Sci. 2002. V. 295. P. 1306; https://doi.org/10.1126/science.1067799
- Simonis M., Klous P., Splinter E. et al. // Nat. Genet. 2006. V. 38. P. 1348; https://doi.org/10.1038/ng1896
- Dostie J., Richmond T.A., Arnaout R.A. et al. // Genome Res. 2006. V. 16. P. 1299; https://doi.org/10.1101/gr.5571506
- Gennes P.G.D. Scaling concepts in polymer physics. Ithaca: Cornell University Press, 1979.
- Grosberg A.Y., Nechaev S.K., Shakhnovich E.I. // J. Phys. 1988. V. 49. P. 2095.
- Lieberman-Aiden E., Van Berkum N.L., Williams L. et al. // Science. 2009. V. 326. P. 289.
- Mirny L.A. // Chromosome Res. 2011. V. 19. P. 37.
- Яшина Е.Г., Григорьев С.В. // ЖЭТФ. 2019. Т. 156. Вып. 3. С. 540.
- Zwietering M.H., Jongenburger I., Rombouts F.M., van’t Riet K. // Appl. Environ. Microbiol. 1990. V. 56. № 6. P. 1875.
- Loiko N., Danilova Y., Moiseenko A. et al. // PLOS One. 2020. V. 15. № 10; https://doi.org/10.1371/journal.pone.0231562
- Шрёдингер Э. Что такое жизнь с точки зрения физики? М.: РИМИС, 2009.
- Moiseenko A., Loiko N., Sokolova O.S., Krupyanskii Y.F. // Methods in Molecular Biology. 2022. V. 2516. P. 143; https://doi.org/10.1007/978-1-0716-2413-5_9
- Синицын Д.О., Лойко Н.Г., Гуларян С.К. и др. // Хим. физика. 2017. Т. 36. № 9. С. 59.
- Крупянский Ю.Ф., Лойко Н.Г., Синицын Д.О. и др. // Кристаллография. 2018. Т. 63. № 4. С. 572.
- Reich Z., Wachtel E., Minsky A. // Science. 1994. V. 264. № 5164. P. 1460.
- Frenkiel-Krispin D., Ben-Avraham I., Englander J. et al. // Mol. Microbiol. 2004. V. 51. P. 395.
- Kovalenko V., Popov A., Santoni G. et al. // Acta Cryst. 2020. V. F76. P. 568.
- Moiseenko A., Loiko N., Tereshkina K. et al. // Biochem. Biophys. Res. Commun. 2019. V. 517. № 3. P. 463.
- Tereshkin E., Tereshkina K., Loiko N. et al. // J. Biomol. Struct. Dyn. 2019. V. 37. P. 2600.
- Терешкин Э.В., Терешкина К.Б., Коваленко В.В. и др. // Хим. физика. 2019. Т. 38. № 10. С. 48.
- Tereshkin E.V., Tereshkina K.B., Krupyanskii Y.F. // J. Physics: Conf. Ser. 2021. V. 2056. № 1. P. 012016.
- Blinov V.N., Golo V.L., Krupyanskii Y. // Nanostuctures. Math. Phys. Model. 2015. V. 12. P. 5.
- Vasilevskaya V.V., Khokhlov A.R., Kidoaki S., Yoshikawa K. // Biopolymers. 1997. V. 41. P. 51.
- Loiko N., Danilova Y., Moiseenko A. et al. // bioRxiv. 2020. P. 2020.03.27.011494; https://doi.org/10.1101/2020.03.27.011494
- Shapiro J.A. // Scientific American. 1988. V. 258. № 6. P. 82.
- Shapiro J.A., Dworkin M. // Quarterly Rev. Biol. 1998. V. 73. № 3. P. 352.
- Сузина Н.Е., Мулюкин А.Л., Лойко Н.Г. и др. // Микробиология. 2001. Т. 70. № 5. С. 776.
- Procopio A., Malucelli E., Pacureanu A. et al. // ACS Central Science. 2019. V. 5. P. 1449.
- Santos S., Yang Y., Rosa M. et al. // Scientific Reports. 2019. V. 9. P. 17217.
- Ou H.D., Phan S., Deerinck T.J. et al. // Science. 2017. V. 357. № 6349. eaag0025; https://doi.org/10.1126/science.aag0025
Дополнительные файлы













