Мониторинг парниковых газов в открытой атмосфере методом фурье-спектроскопии
- Авторы: Голяк И.С.1,2, Анфимов Д.Р.1,2, Винтайкин И.Б.1,2, Голяк И.С.1,2, Дроздов М.С.3, Морозов А.Н.1,2, Светличный С.И.3, Табалин С.Е.1,2, Тимашова Л.Н.1, Фуфурин И.Л.1,2
-
Учреждения:
- Московский государственный технический университет им. Н.Э. Баумана
- Центр прикладной физики Московского государственного технического университета им. Н.Э. Баумана
- Федеральный исследовательский центр химической физики им. Н.Н. Семёнова Российской академии наук
- Выпуск: Том 42, № 4 (2023)
- Страницы: 3-11
- Раздел: Строение химических соединений, квантовая химия, спектроскопия
- URL: https://journals.rcsi.science/0207-401X/article/view/139882
- DOI: https://doi.org/10.31857/S0207401X23040088
- EDN: https://elibrary.ru/MWUOKF
- ID: 139882
Цитировать
Полный текст
Аннотация
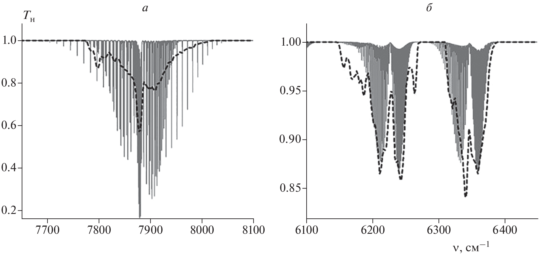
Появление в атмосфере избыточной концентрации парниковых газов, которые, накапливаясь в ней, поглощают тепловое излучение Земли и частично возвращают его на земную поверхность, приводит к стремительному росту глобальной средней температуры воздуха и, как следствие, изменению климата. К парниковым относятся газы с высокой прозрачностью в видимом диапазоне и активным поглощением в тепловом инфракрасном диапазоне. В настоящей работе предложена новая методика регистрации спектров парниковых газов CO2 и CH4. Представлен макет, разработанный на базе динамического фурье-спектрометра, который регистрировал спектры ИК-поглощения в диапазоне длин волн 1.0–1.7 мкм со спектральным разрешением 10 см–1. Проведена долговременная запись коэффициента пропускания атмосферы в условиях городской застройки. По полученным данным осуществлялся контроль интегральной и объемной концентраций CO2 и CH4. Показано, что поведение временны́х зависимостей объемных концентраций углекислого газа и метана хорошо отражает степень загруженности дорог. Уменьшение объемной концентрации в вечернее время объясняется увеличением оптической трассы и дополнительным захватом массы воздуха, находящегося за пределами области интенсивного движения.
Ключевые слова
Об авторах
Ил. С. Голяк
Московский государственный технический университет им. Н.Э. Баумана; Центр прикладной физики Московского государственного технического университета им. Н.Э. Баумана
Email: iliyagol@mail.ru
Россия, Москва; Россия, Москва
Д. Р. Анфимов
Московский государственный технический университет им. Н.Э. Баумана; Центр прикладной физики Московского государственного технического университета им. Н.Э. Баумана
Email: iliyagol@mail.ru
Россия, Москва; Россия, Москва
И. Б. Винтайкин
Московский государственный технический университет им. Н.Э. Баумана; Центр прикладной физики Московского государственного технического университета им. Н.Э. Баумана
Email: iliyagol@mail.ru
Россия, Москва; Россия, Москва
Иг. С. Голяк
Московский государственный технический университет им. Н.Э. Баумана; Центр прикладной физики Московского государственного технического университета им. Н.Э. Баумана
Email: iliyagol@mail.ru
Россия, Москва; Россия, Москва
М. С. Дроздов
Федеральный исследовательский центр химической физики им. Н.Н. Семёнова Российской академии наук
Email: iliyagol@mail.ru
Россия, Москва
А. Н. Морозов
Московский государственный технический университет им. Н.Э. Баумана; Центр прикладной физики Московского государственного технического университета им. Н.Э. Баумана
Email: iliyagol@mail.ru
Россия, Москва; Россия, Москва
С. И. Светличный
Федеральный исследовательский центр химической физики им. Н.Н. Семёнова Российской академии наук
Email: iliyagol@mail.ru
Россия, Москва
С. Е. Табалин
Московский государственный технический университет им. Н.Э. Баумана; Центр прикладной физики Московского государственного технического университета им. Н.Э. Баумана
Email: iliyagol@mail.ru
Россия, Москва; Россия, Москва
Л. Н. Тимашова
Московский государственный технический университет им. Н.Э. Баумана
Email: iliyagol@mail.ru
Россия, Москва
И. Л. Фуфурин
Московский государственный технический университет им. Н.Э. Баумана; Центр прикладной физики Московского государственного технического университета им. Н.Э. Баумана
Автор, ответственный за переписку.
Email: iliyagol@mail.ru
Россия, Москва; Россия, Москва
Список литературы
- Manisalidis I., Stavropoulou E., Stavropoulos A. et al. // Front. Public. Health. 2020. V. 8. P. 14; https://doi.org/10.3389/fpubh.2020.00014
- Ларин И.К. // Хим. физика. 2020. Т. 39. № 3. С. 85; https://doi.org/10.31857/S0207401X20030085
- Ларин И.К. // Хим. физика. 2020. Т. 39. № 4. С. 44; https://doi.org/10.31857/S0207401X20040111
- Solomon S., Qin D., Manning M. et al. Climate change 2007: The physical science basis. Cambridge: Cambridge University Press, 2007.
- Advances in carbon capture / Eds. Rahimpour M.R., Farsi M., Makarem M.A. Cambridge: Elsevier, 2020; https://doi.org/10.1016/c2018-0-05339-6
- Галашев А.Е., Рахманова О.Р. // Хим. физика. 2013. Т. 32. № 6. С. 88; https://doi.org/10.7868/S0207401X13060022
- URL: https://gml.noaa.gov/ccgg/mbl/data.php
- Ramphull M., Surroop D. // J. Environ. Chem. Eng. 2017. V. 5. № 6. P. 5994; https://doi.org/10.1016/j.jece.2017.11.027
- Bi J., Zhang R., Wang H. et al. // Energy Policy. 2011. V. 39. № 9. P. 4785; https://doi.org/10.1016/j.enpol.2011.06.045
- Da Silva M.G., Lisbôa A.C.L., Hoffmann R. et al. // J. Environ. Chem. Eng. 2021. V. 9. № 3. P. 105202; https://doi.org/10.1016/j.jece.2021.105202
- Ramos P.B., Ponce M.F., Jerez F. et al. // J. Environ. Chem. Eng. 2022. V. 10. № 3. P. 107521; https://doi.org/10.1016/j.jece.2022.107521
- Turner A.J., Shusterman A.A., McDonald B.C. et al. // Atmos. Chem. Phys. 2016. V. 16. № 21. P. 13465; https://doi.org/10.5194/acp-16-13465-2016
- Lee J.K., Christen A., Ketler R. et al. // Atmos. Meas. Tech. 2017. V. 10. № 2. P. 645; https://doi.org/10.5194/amt-10-645-2017
- Platt U., Stutz J. Differential optical absorption spectroscopy. Berlin, Heidelberg: Springer, 2008; https://doi.org/10.1007/978-3-540-75776-4
- Handbook of vibrational spectroscopy / Ed. Griffiths P.R. Chichester: John Wiley & Sons, 2006. P. 1750.
- Griffith D.W.T., Jamie I.M. // Encyclopedia of analytical chemistry. V. 3. Chichester: John Wiley & Sons, 2000. P. 1979.
- Smith T.E.L., Wooster M.J., Tattaris M. et al. // Atmos. Meas. Tech. 2011. V. 4. № 1. P. 97; https://doi.org/10.5194/amt-4-97-2011
- Laubach J., Bai M., Pinares-Patiño C.S. et al. // Agric. For. Meteorol. 2013. V. 176. P. 50; https://doi.org/10.1016/j.agrformet.2013.03.006
- Flesch T.K., Baron V.S., Wilson J.D. et al. // Agric. For. Meteorol. 2016. V. 221. P. 111; https://doi.org/10.1016/j.agrformet.2016.02.010
- Винтайкин И.Б., Голяк И.С., Королев П.А. и др. // Хим. физика. 2021. Т. 40. № 5. С. 9; https://doi.org/10.31857/S0207401X21050137
- Kirchengast G., Schweitzer S. // Geophys. Res. Lett. 2011. V. 38. № 13. L13701; https://doi.org/10.1029/2011GL047617
- Somekawa T., Manago N., Kuze H. et al. // Opt. Lett. 2011. V. 36. № 24. P. 4782; https://doi.org/10.1364/OL.36.004782
- Saito H., Manago N., Kuriyama K. et al. // Opt. Lett. 2015. V. 40. № 11. P. 2568; https://doi.org/10.1364/OL.40.002568
- Rieker G.B., Giorgetta F.R., Swann W.C. et al. // Optica. 2014. V. 1. № 5. P. 290; https://doi.org/10.1364/OPTICA.1.000290
- Waxman E.M., Cossel K.C., Truong G.W. et al. // Atmos. Meas. Tech. 2017. V. 10. № 9. P. 3295; https://doi.org/10.5194/amt-10-3295-2017
- Dobler J., Braun M., Blume N. et al. // Remote Sens. 2013. V. 5. № 12. P. 6284; https://doi.org/10.3390/rs5126284
- Queißer M., Granieri D., Burton M. // Sci. Rep. 2016. V. 6. № 1. Article 33834; https://doi.org/10.1038/srep33834
- Голяк И.С., Морозов А.Н., Светличный С.И. и др. // Хим. физика. 2019. Т. 38. № 7. С. 3; https://doi.org/10.1134/S0207401X19070057
- Wunch D., Toon G.C., Blavier J.F.L. et al. // Philos. Trans. R. Soc. London, Ser. A. 2011. V. 369. № 1943. P. 2087; https://doi.org/10.1098/rsta.2010.0240
- Schneising O., Buchwitz M., Reuter M. et al. // Atmos. Chem. Phys. 2011. V. 11. № 6. P. 2863; https://doi.org/10.5194/acp-11-2863-2011
- Yoshida Y., Ota Y., Eguchi N. et al. // Atmos. Meas. Tech. 2011. V. 4. № 4. P. 717; https://doi.org/10.5194/amt-4-717-2011
- Голубков Г.В., Григорьев Г.Ю., Набиев Ш.Ш. и др. // Хим. физика. 2018. Т. 37. № 10. С. 3; https://doi.org/10.1134/S0207401X18090054
- Родионов А.И., Родионов И.Д., Родионова И.П. и др. // Хим. физика. 2021. Т. 40. № 10. С. 61; https://doi.org/10.31857/S0207401X21100113
- Kaufmann P., Chrzanowski H.M., Vanselow A. et al. // Opt. Express. 2022. V. 30. № 4. P. 5926; https://doi.org/10.1364/OE.442411
- Winters D.G., Schlup P., Bartels R.A. // Opt. Express. 2007. V. 15. № 3. P. 1361; https://doi.org/10.1364/OE.15.001361
- Васильев Н.С., Винтайкин И.Б., Голяк И.С. и др. // Компьютерная оптика (Самара). 2017. Т. 41. № 5. С. 626; https://doi.org/10.18287/2412-6179-2017-41-5-626-635
- Köhler M.H., Naßl S.S., Kienle P. et al. // Appl. Opt. 2019. V. 58. № 13. P. 3393; https://doi.org/10.1364/ao.58.003393
- Морозов А.Н., Светличный С.И. Основы фурье-радиоспектрометрии. 2-е изд. Москва: Наука, 2014.
- Lin C.H., Grant R.H., Heber A.J. et al. // Atmos. Meas. Tech. 2019. V. 12. № 6. P. 3403; https://doi.org/10.5194/amt-12-3403-2019
- Балашов А.А., Вагин В.А., Голяк И.С. и др. // Журн. прикл. спектроскопии. 2017. Т. 84. № 4. С. 643.
- Griffiths P.R., de Haseth J.A. Fourier transform infrared spectrometry. 2nd ed. Hoboken, USA: John Wiley & Sons, 2007; https://doi.org/10.1002/047010631X
- Балашов А.А., Голяк Ил.С., Голяк Иг.С. и др. // Журн. прикл. спектроскопии (Минск). 2018. Т. 85. № 5. С. 822.
- Набиев Ш.Ш., Григорьев Г.Ю., Лагутин А.С. и др. // Хим. физика. 2019. Т. 38. № 7. С. 49; https://doi.org/10.1134/s0207401x19070124
- Patadia F., Levy R.C., Mattoo S. // Atmos. Meas. Tech. 2018. V. 11. № 6. P. 3205; https://doi.org/10.5194/amt-11-3205-2018
- Rothman L.S., Gordon I.E., Babikov Y. et al. // J. Quant. Spectrosc. Radiat. Transfer. 2013. V. 130. P. 4; https://doi.org/10.1016/j.jqsrt.2013.07.002
Дополнительные файлы











