Mathematical Model of the Ignition of a Gel Fuel Particle in a High-Temperature Air Medium
- Authors: Glushkov D.O.1, Paushkina K.K.1, Pleshko A.O.1
-
Affiliations:
- National Research Tomsk Polytechnic University, Tomsk, Russia
- Issue: Vol 42, No 2 (2023)
- Pages: 37-48
- Section: Combustion, explosion and shock waves
- URL: https://journals.rcsi.science/0207-401X/article/view/139867
- DOI: https://doi.org/10.31857/S0207401X23020073
- EDN: https://elibrary.ru/IWPQCU
- ID: 139867
Cite item
Full Text
Abstract
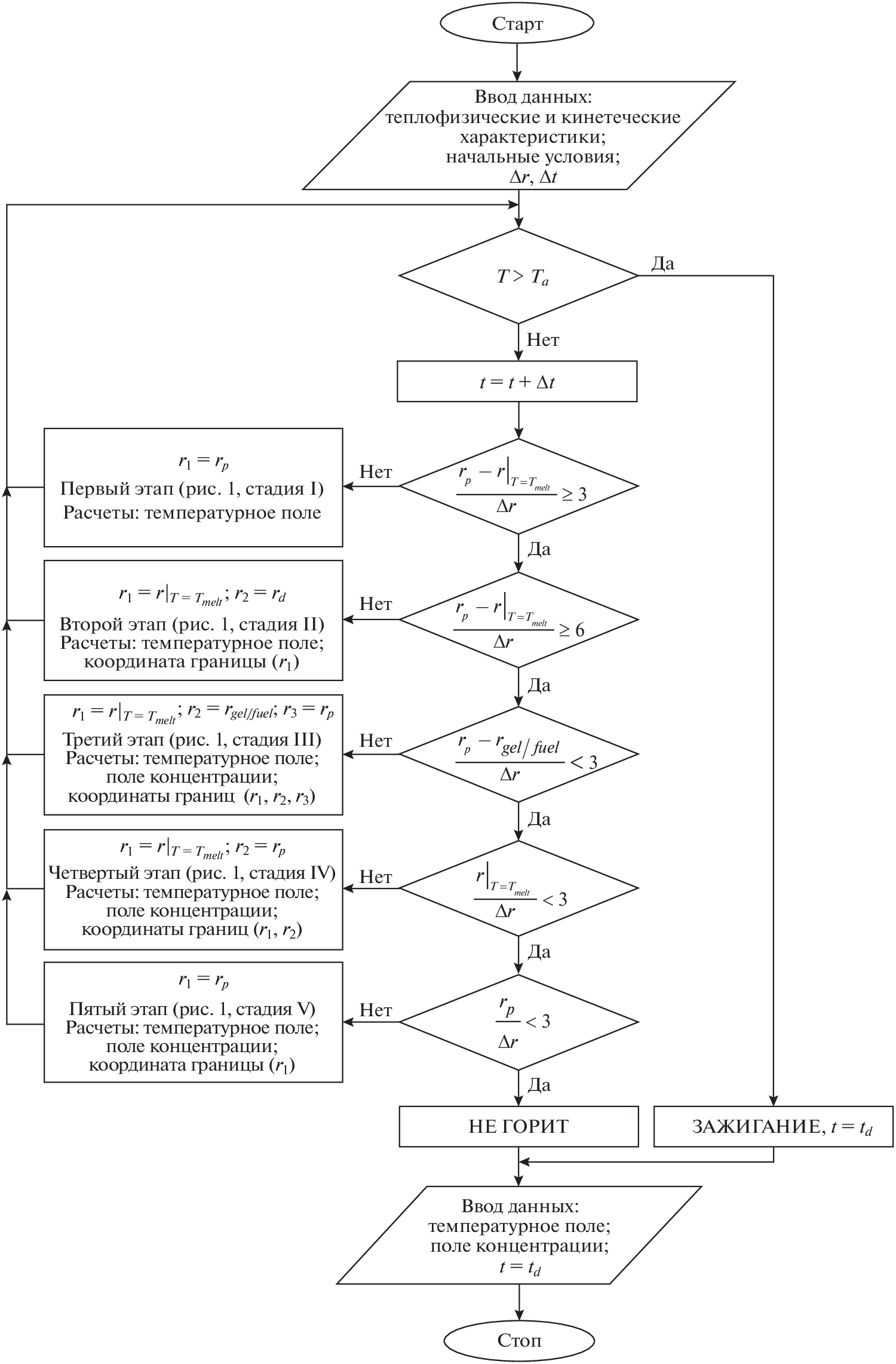
Using the results of previous experimental research, a mathematical model of ignition is developed for a typical gel fuel combustible particle, based on an organic polymer thickener, in a high-temperature air medium. The mathematical model of the studied process is developed using the mathematical tools of continuum mechanics and chemical kinetics. It describes a process corresponding to the limiting regime in which the characteristic heating times of the fuel and the resulting gas-vapor mixture are much longer than the characteristic times of the chemical reaction of the fuel and oxidizer in a gaseous medium. Satisfactory results of the verification of the mathematical model and numerical algorithm make it possible to conclude that this approach can be used to reliably predict the ignition characteristics of such types of gel fuels. The ignition delay times range from 0.3 to 10.0 s for single particles of gel fuel 0.25–2.00 mm in size, heated in air at temperatures of 750 to 1473 K.
About the authors
D. O. Glushkov
National Research Tomsk Polytechnic University, Tomsk, Russia
Email: kkp1@tpu.ru
Россия, Томск
K. K. Paushkina
National Research Tomsk Polytechnic University, Tomsk, Russia
Email: kkp1@tpu.ru
Россия, Томск
A. O. Pleshko
National Research Tomsk Polytechnic University, Tomsk, Russia
Author for correspondence.
Email: kkp1@tpu.ru
Россия, Томск
References
- Mishra D.P., Patyal A., Padhwal M. // Fuel. 2011. V. 90. № 5. P. 1805.
- Solomon Y., Natan B., Cohen Y. // Combust. and Flame. 2009. V. 156. № 1. P. 261.
- Vershinina K.Y., Glushkov D.O., Nigay A.G. et al. // Ind. Eng. Chem. Res. 2019. V. 58. № 16. P. 6830.
- Rapp D.C., Zurawski R.L. // Pros. 24th Joint Propulsion Conf. Boston, Massachusetts, USA: American Institute of Aeronautics and Astronautics, 1988. P. 1.
- Hodge K.F., Crofoot T.A., Nelson S. // Pros. 35th Joint Propulsion Conf. Reston, Virigina, USA: American Institute of Aeronautics and Astronautics, 1999. P. 1.
- Varma M., Pein R. // Intern. J. Energ. Mater. Chem. Propuls. 2009. V. 8. № 6. P. 501.
- Caldas Pinto P., Hopfe N., Ramsel J. et al. // Pros. 7th Europ. conf. for aeronautics and space sciences (EUCASS). Milan, Italy: EUCASS association, 2017. P. 1.
- Hassid S., Natan B. // J. Propuls. Power. 2013. V. 29. № 6. P. 1337.
- Nave O., Bykov V., Gol’Dshtein V. et al. // Fuel. 2011. V. 90. № 11. P. 3410.
- He B., Nie W., Feng S. et al. // Propellants, Explos. Pyrotech. 2013. V. 38. № 5. P. 665.
- Guan H.-S., Li G.-X., Zhang N.-Y. // Acta Astronaut. 2018. V. 144. P. 119.
- Jyoti B.V.S., Naseem M.S., Baek S.W. et al. // Combust. and Flame. 2017. V. 183. P. 102.
- von Kampen J., Alberio F., Ciezki H.K. // Aerosp. Sci. Technol. 2007. V. 11. № 1. P. 77.
- Лемперт Д.Б., Казаков А.И., Дорофеенко Е.М. и др. // Хим. физика. 2020. Т. 39. № 7. С. 17.
- Glushkov D.O., Kuznetsov G. V., Nigay A.G. et al. // J. Energy Inst. 2019. V. 92. № 6. P. 1944.
- Glushkov D.O., Nigay A.G., Yanovsky V.A. et al. // Energy and Fuels. 2019. V. 33. № 11. P. 11812.
- Glushkov D.O., Pleshko A.O., Yashutina O.S. // Intern. J. Heat Mass Transf. 2020. V. 156. P. 119895.
- Glushkov D.O., Kuznetsov G.V., Nigay A.G. et al. // Powder Technol. 2020. V. 360. P. 65.
- Глушков Д.О., Кузнецов Г.В., Стрижак П.А. // Хим. физика. 2014. Т. 33. № 4. С. 38.
- Glushkov D.O., Paushkina K.K., Pleshko A.O. et al. // Fuel. 2022. V. 313. P. 123024.
- Reid R.C., Sherwood T.K., Street R.E. // Phys. Today. 1959. V. 12. № 4. P. 38.
- Юренев В.Н., Лебедев П.Д. Теплотехнический справочник. Т. 1. М.: Энергия, 1975.
- Варгафтик Н.Б. Справочник по теплофизическим свойствам газов и жидкостей. М.: ООО “Старс”, 2006.
- Штехер М.С. Топлива и рабочие тела ракетных двигателей. М.: Машиностроение, 1976.
- Щетинков Е.С. Физика горения газов. М.: Наука, 1965.
- Глушков Д.О., Кузнецов Г.В., Стрижак П.А. и др. Гелеобразные топлива: приготовление, реология, распыление, горение. Новосибирск: СО РАН, 2020.
- Вершинина К.Ю., Глушков Д.О., Кузнецов Г.В. и др. // Химия твердого топлива. 2016. № 2. С. 21.
- Лебедева Е.А., Астафьева С.А., Истомина Т.С. // Хим. физика. 2022. Т. 41. № 4. С. 24.
- Гудкова И.Ю., Зюзин И.Н., Лемперт Д.Б. // Хим. физика. 2022. T. 41. № 1. С. 34.
- Зюзин И.Н., Гудкова И.Ю., Лемперт Д.Б. // Хим. физика. 2020. Т. 39. № 9. С. 52.
Supplementary files








