Structural Groups of Natural Phospholipids Taking Part in Complexation with Flavonoids
- Authors: Shishkina L.N.1, Kozlov M.V.1, Konstantinova T.V.1, Smirnova A.N.1, Shvydkiy V.O.1
-
Affiliations:
- Emanuel Institute of Biochemical Physics, Russian Academy of Sciences, Moscow, Russia
- Issue: Vol 42, No 1 (2023)
- Pages: 28-34
- Section: Chemical physics of biological processes
- URL: https://journals.rcsi.science/0207-401X/article/view/139865
- DOI: https://doi.org/10.31857/S0207401X23010107
- EDN: https://elibrary.ru/HNJTEF
- ID: 139865
Cite item
Full Text
Abstract
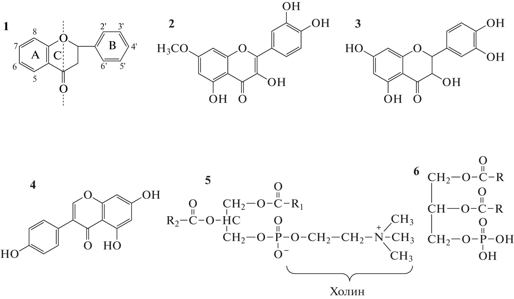
The parameters of the UV spectra of quercetin, dihydroquercetin, genistein, preparations of natural phospholipids (PLs), and mixtures of flavonoids with PLs in chloroform are determined by mathematical processing of these spectra using the Gauss method. It is shown that the position of the maximum of band II in the UV spectra of the studied flavonoids does not depend on the nature of the solvent, and the dependence of the optical density of bands II and I in solutions of these flavonoids on their concentration obeys the Bouguer–Lambert–Beer law. It is found that the parameters of the UV spectra of natural lipids significantly depend on the polarity of the solvent and the composition of PLs. Using genistein as an example, it is shown that the flavonoid interacts with the conjugated double bonds of fatty acids of PLs and nitrogen- and phosphorus-containing groups of PLs also participate in the formation of complexes.
About the authors
L. N. Shishkina
Emanuel Institute of Biochemical Physics, Russian Academy of Sciences, Moscow, Russia
Email: shishkina@sky.chph.ras.ru
Россия, Москва
M. V. Kozlov
Emanuel Institute of Biochemical Physics, Russian Academy of Sciences, Moscow, Russia
Email: shishkina@sky.chph.ras.ru
Россия, Москва
T. V. Konstantinova
Emanuel Institute of Biochemical Physics, Russian Academy of Sciences, Moscow, Russia
Email: shishkina@sky.chph.ras.ru
Россия, Москва
A. N. Smirnova
Emanuel Institute of Biochemical Physics, Russian Academy of Sciences, Moscow, Russia
Email: shishkina@sky.chph.ras.ru
Россия, Москва
V. O. Shvydkiy
Emanuel Institute of Biochemical Physics, Russian Academy of Sciences, Moscow, Russia
Author for correspondence.
Email: shishkina@sky.chph.ras.ru
Россия, Москва
References
- Тараховский Ю.С., Ким Ю.А., Абдрасилов Б.С., Музафаров Е.Н. Флавоноиды: биохимия, биофизика, медицина. Пущино: Synchrobook, 2013.
- Семенов А.А., Карцев В.Г. Биологическая активность природных соединений. М.: Международный благотворительный фонд “Научное Партнерство”, 2012.
- Mazaletskaya L.I., Sheludchenko N.I., Shishkina L.N. // Chemical Reactions in Gas, Liquid and Soil Phases: Synthesis Properties and Application / Eds. Zaikov G.E., Kozlowski R.M. N.Y.: NSP, 2012. P. 11–20.
- Кривандин А.В., Фаткуллина Л.Д., Шаталова О.В. и др. // Хим. физика. 2013. Т. 32. № 5. С. 91; https://doi.org/10.7868/S0207401X13050075
- Жигачева И.В., Бинюков В.И., Русина И.Ф. и др. // Хим. физика. 2020. Т. 39. № 7. С. 41; https://doi.org/10.31857/S0207401X20070122
- Русина И.Ф., Вепринцев Т.Д., Васильев Р.Ф. // Хим. физика. 2022. Т. 41 № 2. С. 12; https://doi.org/10.31857/S0207401X22020108
- Xu K., Liu B., Ma Yu. et al. // Molecules. 2009. V. 14. P. 3486.
- Мазалецкая Л.И., Шелудченко Н.И., Шишкина Л.Н. // Прикл. биохимия и микробиол. 2010. Т. 46. № 2. С. 148.
- Tarahovsky Yu.S., Muzafarov E.N., Kim Yu.A. // Mol. Cell. Biochem. 2008. V. 314. P. 65; https://doi.org/10.1007/s11010-008-9766-9
- Остроумова О.С., Ефимова С.С., Щагина Л.В. // Биофизика. 2013. Т. 58. № 3. С. 474.
- Rich G.T., Buchweitz M., Winterbone M.S. et al. // Nutrients. 2017. V. 9 https:// doi.org/https://doi.org/10.3390/nu9020111
- Leite N.B., Martin D.B., Alvares D.S. et al. // Chem. Phys. Lipids. 2022. V. 242. 105160; https://doi.org/10/1016/j.chemphyslip.2021.105160
- Mazaletskaya L., Sheludchenko N., Shishkina L. // Chem. and Chem. Technol. 2012. V. 6. № 1. P. 35.
- Шишкина Л.Н., Мазалецкая Л.И., Смирнова А.Н., Швыдкий В.О. // Биофизика. 2021. Т. 66. № 3. С. 482.
- Смирнова А.Н., Швыдкий В.О., Шишкина Л.Н. // Хим. физика. 2021. Т. 40. № 7. С. 43.
- Биологические мембраны: методы / Под ред. Финдлея Дж. Б.С., Эванза В.Х. М.: Мир, 1990.
- Брин Э.Ф., Травин С.О. // Хим. физика. 1991. Т.10. № 6. С. 830.
- Markham K.N., Merby T.J. // The Flavonoids. Boston: Springler, 1975. P. 45.
- Георгиевский В.Г., Рыбаченко А.И., Казаков А.Л. Физико-химические и аналитические характеристики флавоноидных соединений. Ростов н/Д.: Ростовский гос. ун-т, 1988.
- Маракулина К.М., Крамор Р.В., Луканина Ю.К. и др. // ЖФХ. 2016. Т. 90. № 2. С. 182.
- Шишкина Л.Н., Козлов М.В., Повх А.Ю., Швыдкий В.О. // Хим. физика. 2021. Т. 40. № 9. С. 57.
Supplementary files










