Effect of an Ultralow Dose Effect of the Antioxidant Resveratrol Under the Influence of Heat Stress Factor on the Membrane Structure of the Mitochondria Isolated from the Pisum sativum L. Pea Germ
- Authors: Gerasimov N.Y.1, Nevrova O.V.1, Zhigacheva I.V.1, Generozova I.P.2, Goloshchapov A.N.1
-
Affiliations:
- Emanuel Institute of Biochemical Physics, Russian Academy of Sciences, Moscow, Russia
- Timiryazeva Institute of Plant Physiology, Russian Academy of Sciences, Moscow, Russia
- Issue: Vol 42, No 1 (2023)
- Pages: 22-27
- Section: Chemical physics of biological processes
- URL: https://journals.rcsi.science/0207-401X/article/view/139864
- DOI: https://doi.org/10.31857/S0207401X23010041
- EDN: https://elibrary.ru/MOUZSB
- ID: 139864
Cite item
Full Text
Abstract
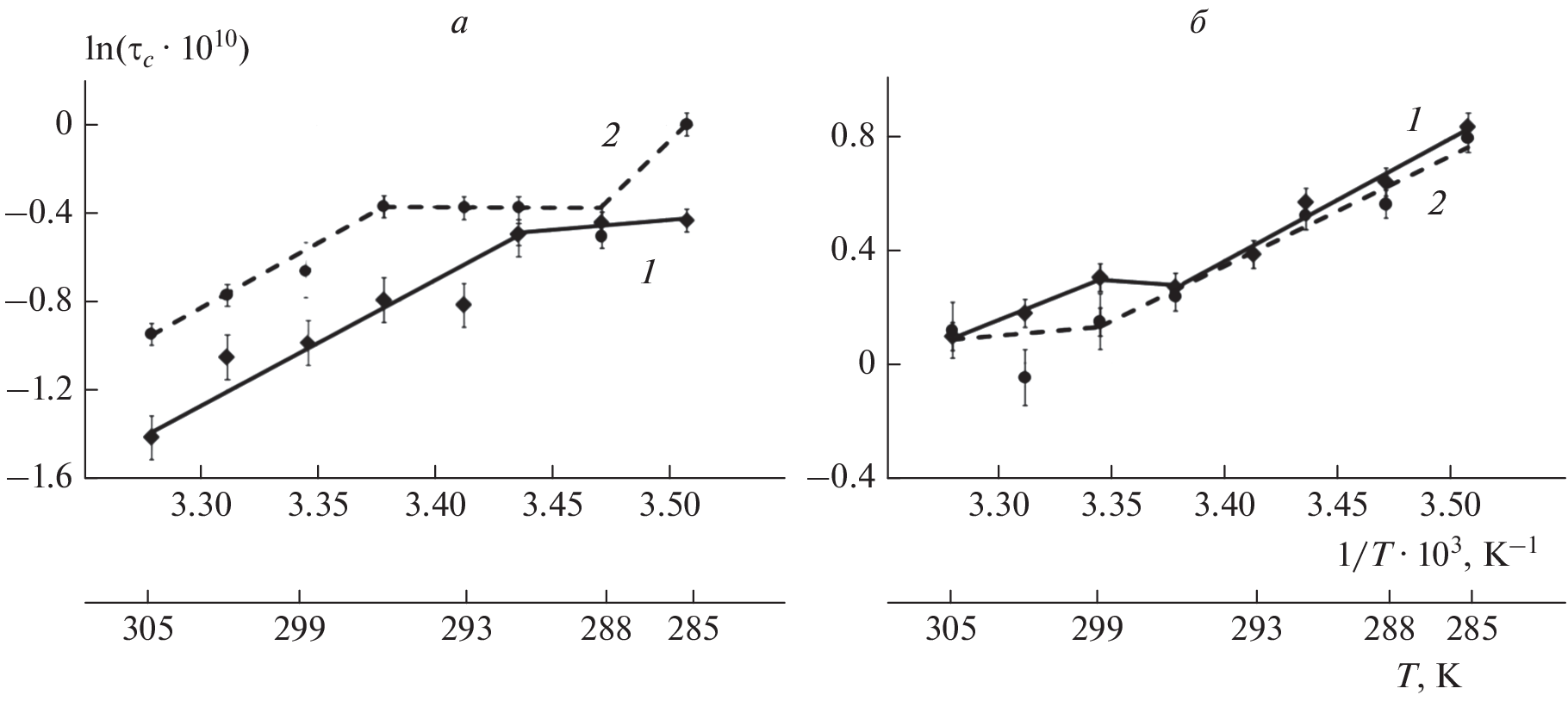
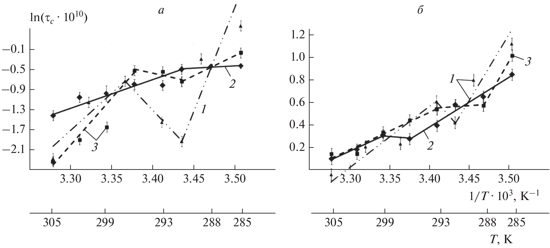
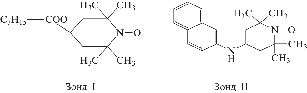
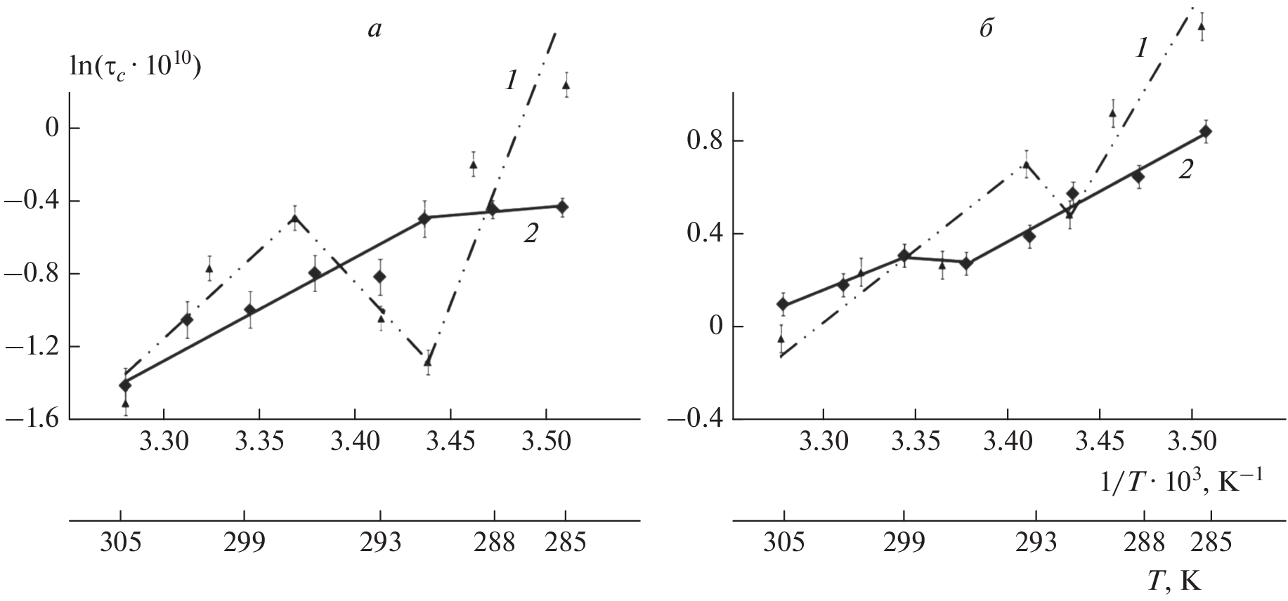
The effect of the antioxidant resveratrol on the structure of mitochondrial membranes isolated from Pisum sativum L. pea germ exposed to a heat stress factor is studied. The temperature dependence of microviscosity is used as the structural characteristics of the membranes. The microviscosity is determined by the method of electron spin resonance (ESR). Heat stress leads to a decrease in the crystallinity of mitochondrial membranes. It is shown that ultralow doses (ULDs) of resveratrol restore the structure of the lipid bilayer of the mitochondria after exposure to heat stress (HS) to a state similar to intact plants.
About the authors
N. Yu. Gerasimov
Emanuel Institute of Biochemical Physics, Russian Academy of Sciences, Moscow, Russia
Email: n.yu.gerasimov@gmail.com
Россия, Москва
O. V. Nevrova
Emanuel Institute of Biochemical Physics, Russian Academy of Sciences, Moscow, Russia
Email: n.yu.gerasimov@gmail.com
Россия, Москва
I. V. Zhigacheva
Emanuel Institute of Biochemical Physics, Russian Academy of Sciences, Moscow, Russia
Email: n.yu.gerasimov@gmail.com
Россия, Москва
I. P. Generozova
Timiryazeva Institute of Plant Physiology, Russian Academy of Sciences, Moscow, Russia
Email: n.yu.gerasimov@gmail.com
Россия, Москва
A. N. Goloshchapov
Emanuel Institute of Biochemical Physics, Russian Academy of Sciences, Moscow, Russia
Author for correspondence.
Email: n.yu.gerasimov@gmail.com
Россия, Москва
References
- Feder M.E., Parsell D.A., Lindquist S.L. The stress response and stress proteins. Cell Biology of Trauma. Boca Raton: CRC Press, 1995. P. 177; https://doi.org/10.1201/9781003067801
- Li Z., Srivastava P.K. // EMBO J. 1993. V. 12. № 8. P. 3143; https://doi.org/10.1002/j.1460-2075.1993.tb05983.x
- Miyata Y., Yahara I. // J. Biol. Chem. 1992. V. 267. № 10. P. 7042; https://doi.org/10.1016/S0021-9258(19)50533-6
- Муранов К.О., Полянский Н.Б., Клейменов С.Ю. и др. // Хим. физика. 2019. Т. 38. № 12. С. 33; https://doi.org/10.1134/S0207401X19120148
- Horst M., Opplige W., Rospert S. et al. // EMBO J. 1997. V. 16. P. 1842; https://doi.org/10.1093/emboj/16.8.1842
- Геннис Р. Биомембраны: Молекулярная структура и функции. М.: Мир, 1997.
- Шишкина Л.Н., Козлов М.В., Повх А.Ю. и др. // Хим. физика. 2021. Т. 40. № 9. С. 57; https://doi.org/10.31857/S0207401X21090089
- Жигачева И.В., Бинюков В.И., Русина И.Ф. и др. // Хим. физика. 2020. Т. 39. № 7. С. 41; https://doi.org/10.31857/S0207401X20070122
- Okada S., Brennicke A. // Mol. Genet. Genomics. 2006. V. 276. № 1. P. 71; https://doi.org/10.1007/s00438-006-0119-7
- Laczkó-Dobos H., Szalontai B. // Biochemistry. 2009. V. 48 № 42. P. 10120; https://doi.org/10.1021/bi9011034
- Никоноров А.А. мл., Никоноров А.А. // Вестн. Ур. Мед. АН. 2011. Т. 1. № 2. С. 54.
- Аристархова С.А., Архипова Г.В., Бурлакова Е.Б. и др. // Докл. АН СССР. 1976. Т. 228. С. 215.
- Бурлакова Е.Б., Храпова Н.Г. // Успехи химии. 1985. Т. 54. № 9. С. 540; https://doi.org/10.1070/RC1985v054n09ABEH003121
- Бурлакова Е.Б. Химическая и биологическая кинетика. Новые горизонты. Т. 2. М.: Химия, 2005. С. 10.
- Прохорова М.И. Методы биохимических исследований. Л.: ЛГУ, 1982.
- Бинюков В.И., Борунова С.Ф., Гольдфельд М.Г. и др. // Биохимия. 1971. Т. 36. № 6. С. 1149.
- Вассерман А.М., Бучаченко А.Л., Коварский А.Л., Нейман И.Б. // Высокомолекуляр. соединения. А. 1968. Т. 10. С. 1930.
- Кузнецов А.Н. Метод спинового зонда. М.: Наука, 1976.
- Кухлинг Х. Справочник по физике. М.: Мир, 1983.
- Chapman D. // Quart. Rev. Biophys. 1975. V. 8. № 2. P. 185; https://doi.org/10.1017/S0033583500001797
- Shinitzky M., Inbar M. // Biochim. Biophys. Acta. 1976. V. 433. № 1. P. 133; https://doi.org/10.1016/0005-2736(76)90183-8
- Комов В.П. Биохимия: учебник для вузов. М.: Юрайт, 2021.
- Гендель Л.Я., Гольдфельд М.Г., Кольтовеp В.К. и дp. // Биофизика. 1968. Т. 13. № 6. С. 1114.
- Панасенко О.О., Ким М.В., Гусев Н.Б. // Успехи биол. химии. 2003. Т. 43. С. 59.
- Жигачева И.В., Бинюков В.И., Генерозова И.П. и др. // Физиология растений. 2022. Т. 69. № 1. С. 1; https://doi.org/10.31857/S0015330322010225
- Веселов А.П. Дис. … д-ра биол. наук. Н. Новгород: ННГУ, 2001.
- Смирнова А.Н., Швыдкий В.О., Шишкина Л.Н. // Хим. физика. 2021. Т. 40. № 7. С. 43; https://doi.org/10.31857/S0207401X21070104
- Бурлакова Е.Б. // Вестн. РАН. 1994. Т. 64. № 5. С. 425.
Supplementary files







