The effect of nickel ions on structural and transport properties of the MK-40 cation exchange membrane
- Authors: Pechenkina E.S.1, Bobrov M.N.1, Kuznetsova A.R.1
-
Affiliations:
- St. Petersburg State Institute of Technology (Technical University)
- Issue: Vol 30, No 3 (2024)
- Pages: 505-520
- Section: Chemical Engineering and Related Industries. Chemistr
- URL: https://journals.rcsi.science/0136-5835/article/view/279322
- DOI: https://doi.org/10.17277/vestnik.2024.03.pp.505-520
- ID: 279322
Cite item
Full Text
Abstract
Based on calculations carried out using a microheterogeneous model and percolation theory, it is shown that a decrease in moisture content for the MK-40 membrane in nickel form is associated with structural changes in the membrane phase: redistribution of water, changes in the volume fractions of pores of different radii due to reduced swelling of the polymer matrix and its coordination deformation. The surface morphology of the MK-40 ion exchange membrane in hydrogen and nickel forms was studied using atomic force and scanning electron microscopy. Differences in structure were established, microprofiles and the surface roughness factor of the studied samples were determined.
Full Text
Введение
Повышенное в последние годы внимание к экологическим проблемам и ужесточение нормативов на сброс загрязнений приводит к росту экологических штрафов для гальванических производств, что является причиной увеличения себестоимости и снижение конкурентоспособности продукции [1].
Сточные воды гальванических производств, содержащие соединения токсичных металлов, представляют собой источник загрязнения окружающей среды, а проблема их утилизации стоит весьма остро. Проблема очистки сточных вод гальванического производства осложняется их большим разнообразием по качественному и количественному составам. Применение локальных методов переработки стоков в местах их образования позволяет уменьшить объем перерабатываемых растворов и сточных вод, имеющих при этом упрощенный состав, что дает возможность применения достаточно тонких и безреагентных технологий, таких как мембранное разделение.
Мембранная переработка растворов позволяет получать легко утилизируемые концентраты и воду, пригодную для повторного применения. Применение электродиализа для локальной очистки промывных вод и регенерации соединений токсичных металлов позволяет снизить материалоемкость и экологическую опасность гальванических производств [2 – 4]. Исследования электродиализа растворов солей переходных металлов расширяются вследствие их практической важности в процессах водоподготовки для промышленности и энергетики, решении экологических проблем и ресурсосбережения в гальванических производствах, обеспечении населения качественной питьевой водой [5, 6].
Изучение влияния многозарядных катионов токсичных металлов на структурные и транспортные свойства ионообменных мембран позволит выбрать оптимальные режимы и установить эффективность применения электродиализной очистки. Для исследований, направленных на изучение влияния двухзарядных катионов никеля на структуру и транспортные характеристики ионообменной мембраны МК-40, выбраны такие свойства, как удельная электропроводность и влагосодержание. Удельная электропроводность – одна из важнейших характеристик, определяющая пригодность ионообменных мембран для электродиализа и мембранного электролиза. Влагосодержание определяет дисперсность фаз и состояние ионов в мембранах. Тесная связь между удельной электропроводностью и влагосодержанием позволяет путем изучения этих свойств получать информацию об изменениях в многофазной структуре ионита.
Один из определяющих факторов в мембранных процессах и технологиях – структура поверхности мембраны, зависящая от природы полимера, размеров и гибкости макромолекул, их взаимного расположения, надмолекулярной структуры и способа получения мембраны [6]. Для описания структуры поверхности мембран применяют атомно-силовую (АСМ) и сканирующую электронную микроскопию (СЭМ). Применение СЭМ позволяет оценить структуру мембраны: поверхность и поперечное сечение. Атомно-силовая микроскопия изучает поверхность материалов на нанометровом уровне. Преимущество метода АСМ перед СЭМ заключается в том, что он не требует предварительной специальной подготовки образцов и может давать изображения как на воздухе, так и в жидкости, а также позволяет получить трехмерное изображение [7].
Цель исследования – изучение влияния ионов никеля на структурные и транспортные свойства катионообменной мембраны МК-40.
Экспериментальная часть
Объекты исследования
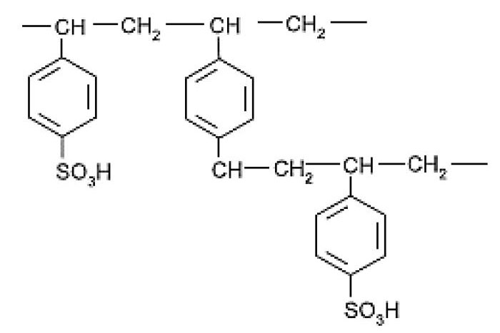
Объект исследования – отечественная ионообменная мембрана МК-40 производства ООО «Щекиноазот» (Россия). Данный вид мембран широко применяется в процессах электродиализа и мембранного электролиза [8]. Основой мембраны МК-40 является синтетическая ионообменная смола КУ-2, полученная путем сополимеризации стирола и дивинилбензола с последующим сульфированием для введения ионогенногенных групп (рис. 1). В качестве инертного наполнителя при изготовлении данной мембраны используется полиэтилен, армирующей тканью служит капрон [7].
Рис. 1. Химическое строение полимерной матрицы исследуемой мембраны МК-40
Мембрану МК-40 изготавливают путем прессования при температуре 120…130 °С и давлении 20 МПа сульфокатионита КУ-2 со средним размером частиц < 50 мкм и тонкодисперсного полиэтилена низкого давления с размером частиц 5 мкм. Объемная доля катионита в смеси составляет 65 % [9, 10].
Методы исследования
Изучение физико-химических свойств мембраны МК-40 включало несколько стадий: химическое кондиционирование согласно ГОСТ 17553–72 (исследуемый образец находится в Н-форме); уравновешивание с рабочими растворами в течение 48 ч (перевод исследуемого образца в Na- и Ni-форму); измерение влагосодержания. Определение содержания воды в мембране осуществляли методом воздушно-тепловой сушки при температурах (25 ± 2) и (80 ± 2) °С. Толщину мембраны определяли с точностью до 4 мкм микрометрическим методом.
Для характеристики электротранспортных свойств мембраны использовали удельную электропроводность. Для измерения удельной электропроводности мембраны применен ртутно-контактный метод, заключающийся в измерении электрического сопротивления с помощью измерителя RLC Е7-11 универсального (Республика Беларусь) на переменном токе с частотой 1 кГц.
Для определения транспортно-структурных параметров мембраны МК-40 применяли микрогетерогенную модель и перколяционную теорию [11, 12], позволяющие охарактеризовать структуру ионообменного материала с помощью определенного набора параметров. Согласно микрогетерогенной модели, после набухания в воде или водных растворах электролитов в мембране образуются отдельные микрофазы: активная ионопроводящая фаза, в которой локализованы ионогенные группы (фаза геля или ионита) и непроводящая фаза инертного связующего – полиэтилена. Поровое пространство между этими фазами заполняется равновесным раствором электролита, который образует третью микрофазу [13].
С позиции микрогетерогенной модели удельная электропроводность мембраны, Ом–1∙см–1, может быть выражена через характеристики выделенных фаз [11]
, (1)
где – удельные электропроводности гелевой фазы и межгелевых промежутков, заполненных равновесным электронейтральным раствором, соответственно, Ом–1∙см–1; – объемные доли гелевой и межгелевой фаз соответственно ; – параметр, отражающий характер взаимного расположения фаз в ионообменном материале ( = 1 и = –1 соответственно для параллельного и последовательного соединения проводящих фаз).
С учетом перколяционной теории удельная электропроводность для ионообменного материала с различным соотношением проводника и диэлектрика вблизи порога протекания описывается уравнением [12]
, (2)
где – удельная электропроводность мембраны, соответствующая влагосодержанию W, Ом–1∙см–1; – множитель, который по порядку величины равен удельной электропроводности проводящего материала, Ом–1∙см–1; – критическое влагосодержание, при котором наблюдается резкое изменение удельной электропроводности; t – критический индекс удельной электропроводности.
Математическая обработка данных и построение линейных зависимостей выполнялись на компьютере с использованием стандартных программ Exсel.
Микроскопические исследования проводили двумя методами:
- методом СЭМ, микроскопом TESCAN VEGA3 (Чехия) с напылением графита на сухие образцы. Сканирующий электронный микроскоп, работающий только в вакууме, позволяет различить детали нанометрового масштаба. С его помощью можно проводить наблюдения с гораздо большей глубиной резкости, чем при работе со световым микроскопом, и получать объемные микрофотографии поверхностей с весьма развитым рельефом. Микроскоп оснащен энергодисперсионным анализатором элементного состава, что позволило получить информацию о химическом составе на поперечном срезе мембраны;
- методом АСМ с помощью сканирующего зондового микроскопа SPM-9700 Shimadzu (Япония) в динамическом (полуконтактном) режиме на сухих образцах. Сканирование осуществлялось с резонансной частотой HCHR (карбид-кремний) кантилевера 305…307 кГц на площадках 5 ´ 5 мкм со скоростью сканирования 0,5…0,6 Гц на воздухе при температуре (25 ± 1) °C. Изучение поверхности ионообменных мембран проводили в двух режимах: топографии и фазового контраста. В режиме топографии фиксировали рельеф поверхности. Режим фазового контраста позволяет распознать области, отличающиеся по химическому составу, адгезионным и упругим свойствам. Обработка полученных снимков проводилась в программе Gwyddion 2.61.
Рабочие растворы готовились из солей марок «х.ч.» или «ч.д.а.» на дистиллированной воде и во избежание гидролиза хлорида никеля подкислялись до рН 3,5…4,0, удельную электропроводность растворов измеряли на кондуктометре фирмы Mettler Toledo марки SevenCompact S230 (Швейцария). Для анализа рабочих растворов применялись комплексонометрический и фотоколориметрический методы (КФК-2МП, Россия). Все измерения проводились при температуре (25 ± 2) °С в условии термостатирования.
Результаты и их обсуждение
Сравнение основных физико-химических характеристик образцов сульфокатионитовой мембраны МК-40 после кондиционирования (перевода в набухшее состояние) и уравновешивания с растворами NaCl и NiCl2 представлены в табл. 1.
Таблица 1. Физико-химические характеристики сульфокатионитовой мембраны МК-40
Форма мембраны | Q, ммоль/ гн.м | W, % | d, мкм | nm, – |
H-форма | 1,52 | 54,98 | 560 | 19,96 |
Na-форма | 1,53 | 55,50 | 730 | 20,15 |
Ni-форма | 1,46 | 46,00 | 530 | 17,50 |
Исследование зависимости удельной электропроводности ионообменных мембран от влагосодержания имеет важное практическое значение, так как сопротивление пакета мембран в электродиализаторе определяет затраты на электроэнергию при проведении процесса разделения.
Из таблицы 1 видно, что обменное взаимодействие мембраны с ионами никеля приводит к снижению набухания, а, следовательно, повышению роли субмикро- и микронеоднородностей (1…5 нм) в процессах транспорта ионов в мембранах [13]. Изучение процесса постепенного обезвоживания мембран позволяет получить информацию о влиянии ионов никеля на структуру и транспортные свойства исследуемых мембран, а также оценить вклад неоднородностей различного масштаба в свойства мембраны МК-40 и мембраны, уравновешенной в растворе хлорида никеля.
На рисунке 2 представлены дифференциальные кинетические кривые обезвоживания мембраны МК-40 в эксикаторе над хлоридом кальция при температуре (25 ± 2) °С. Скорость обезвоживания мембраны МК-40 меняется во времени, проходя через постоянные значения, что связано с последовательным осушением пор различного размера. При этом природа катиона не влияет на скорость «мягкого» обезвоживания исследуемых мембран.
Рис. 2. Дифференциальные кинетические кривые обезвоживания мембраны МК-40, уравновешенной в растворах с концентрацией 0,2 моль-экв/л: 1 – NaCl; 2 – NiCl2
Однако природа катиона, присутствующего в электролите, оказывает существенное влияние на максимальное влагосодержание катионообменной мембраны: при переходе к ионам никеля ее влагосодержание снижается (рис. 3). Полученные значения максимального влагосодержания исследуемых образцов в разбавленных растворах хлорида натрия хорошо согласуются с литературными данными [13]. Следует отметить, что концентрация внешнего раствора влияет на влагосодержание мембраны МК-40 только в области разбавленных растворов (до 0,2 моль-экв/л). При более высоких концентрациях влагосодержание остается практически постоянным, несмотря на изменение природы противоиона и его содержания в растворе.
Рис. 3. Концентрационные зависимости максимального влагосодержания мембраны МК-40, уравновешенной в растворах NaCl (1) и NiCl2 (2)
Постепенное обезвоживание полимерных мембран согласно микрогетерогенной модели приближает их структуру к структуре гелевой фазы, так как осушение в первую очередь макропор [12] исключает их из транспортных процессов. Поэтому далее проводились измерения удельной электропроводности исследуемых мембран при их постепенном высушивании при температуре (80 ± 5) °С.
На рисунке 4 представлены зависимости удельной электропроводности мембран МК-40 от влагосодержания в растворах хлорида натрия 1 и хлорида никеля 2 (концентрация 0,2 моль-экв/л).Очевидно, что на кривых имеется некоторое значение влагосодержания Wk, называемое в [12] критическим влагосодержанием, ниже которого (W < Wk) удельная электропроводность у образцов мембран практически отсутствует, а при значениях W > Wk она экспоненциально растет.
Рис. 4. Перколяционные (1, 2) и порометрическая (3) [14] кривые мембраны МК-40 в растворах NaCl (1, 3) и NiCl2 (2)
Ход кривых для мембраны МК-40 не зависит от природы противоиона (см. рис. 4). Сопоставление порометрической кривой для мембран МК-40, полученных в [10, 12], с перколяционными кривыми для мембраны МК-40, уравновешенной с растворами хлоридов натрия и никеля, показывает, что обезвоживание пор с радиусами менее 1,5 нм соответствует участку слияния зависимостей. Наблюдаемое при этом значение влагосодержания соответствует ближней гидратации ионной пары, имеющей либо неразделенную гидратную оболочку, либо представляющую собой внутрисферный комплекс [13]. Количество воды в таком ассоциате определяется стерическими факторами и общим влагосодержанием системы, которое составляет около 0,18 гН2О/гн.м.
Из значений влагосодержания с привлечением данных по обменной емкости (см. табл. 1) рассчитана гидратная емкость nm мембран по формуле
, (3)
где W – влагосодержание, гН2О/гн.м; Q – обменная емкость мембраны, ммоль/гн.м; 18 – молекулярная масса воды, г/моль.
Полученные значения приведены в табл. 2 и хорошо коррелируют с данными, представленными в [10, 12, 14]. Из рассчитанных значений можно заключить, что с участием воды, которую принято считать связанной [13], образуются гидратированные ассоциаты. Их строение практически не зависит от природы ионов.
Таблица 2. Значения гидратной емкости мембран МК-40, уравновешенной в 0,2 (моль-экв/л) растворах хлоридов натрия и никеля при различных значениях влагосодержания
NaCl | W, гН2О/гн.м | 0,56 | 0,45 | 0,38 | 0,34 | 0,32 | 0,26 | 0,20 | 0,09 | 0,02 |
nm, мольН2О/моль–SO3– | 20 | 16 | 14 | 12 | 12 | 9 | 7 | 3 | 1 | |
NiCl2 | W, гН2О/гн.м | 0,46 | 0,33 | 0,29 | 0,26 | 0,20 | 0,18 | 0,17 | 0,12 | 0,10 |
nm, мольН2О/моль–SO3– | 18 | 13 | 11 | 10 | 8 | 7 | 6 | 5 | 4 |
Обработка зависимостей в области средних влагосодержаний, где топология проводящих путей практически сводится к микропористой системе гелевой фазы, проведена по уравнению перколяционной теории (2). В процессе статистической обработки кривых по процедуре регрессионного анализа величина корректировалась так, чтобы коэффициент корреляции R2 минимально отличался от единицы. В результате из большого количества параллельных определений были получены уточненные значения для исследуемых мембран. Величина показателя степени t в уравнении (2) определялась как тангенс угла наклона билогарифмической зависимости .
Полученные значения приведены в табл. 3. Значения коэффициента корреляции (не менее 0,98) свидетельствуют о корректности соответствия перколяционного уравнения экспериментальным данным. Значения параметра t согласуются с теоретическим (1,6 ± 0,4 [12, 14]). Что же касается значений Wk, то, как показано в [10, 12, 14], теоретическое значение данного параметра 0,15 характерно для систем, в которых частицы проводника и изолятора имеют форму сфер и упакованы на регулярной решетке.
Таблица 3. Значения параметров перколяционной теории для мембраны МК-40, уравновешенной в 0,2 (моль-экв/л) растворах хлоридов натрия и никеля
Параметр | NaCl | NiCl2 |
χ0, Ом–1∙см–1 | 2,21∙10–2 | 2,06∙10–3 |
Wk, гН2О/гн.м | 0,14 | 0,11 |
t | 1,85 | 1,80 |
R2 | 0,9666 | 0,9888 |
Параметр χ0 определяется особенностями ион-ионного взаимодействия в проводящей фазе. Очевидно, что данный параметр снижается почти на порядок для мембраны в никелевой форме, что может быть связано со снижением скорости переноса противоиона между функциональными группами. Ионам никеля, имеющим более высокое число гидратации, требуется большее количество воды, чем ионам натрия, для образования разделенных ионных пар и они имеют более низкую подвижность в условиях ограниченного влагосодержания.
Результаты исследования концентрационных зависимостей удельной электропроводности, влагосодержания и диффузионной проницаемости мембран в растворах хлоридов натрия и никеля могут быть использованы для расчета транспортно-структурных параметров (ТСП). В результате можно оценить, систематизировать и проанализировать структурные изменения в фазе мембран, вызванные их взаимодействием с ионами никеля (табл. 4).
Таблица 4. Транспортно-структурные параметры для мембраны МК-40, полученные из микрогетерогенной модели
Параметр | NaCl | NiCl2 |
f2 | 0,22 | 0,20 |
a | 0,28 | 0,26 |
χизо, Ом–1∙см–1 | 5,13∙10–3 | 0,9∙10–3 |
Значения параметра в большинстве случаев совпадают с литературными (0,3). Незначительное снижение параметра при переходе к растворам хлорида никеля может указывать на возможность переориентации фаз по отношению к направлению потоков заряда и массы. Уменьшение экспериментальных значений параметра χизо при переходе к раствору хлорида никеля объясняется снижением подвижности противоиона.
Таким образом, полученные из микрогетерогенной модели и перколяционной теории результаты показали, что перевод мембраны МК-40 в Ni-форму приводит к структурным изменениям, поэтому на следующем этапе работы проведены исследования с помощью методов СЭМ и АСМ.
Полученные электронные микрофотографии образцов гетерогенной мембраны МК-40 в Н-форме и Ni-форме представлены на рис. 5. Геометрия поверхности мембраны МК-40 даже отдаленно не напоминает плоскость (см. рис. 5, а, в). Большая часть поверхности экранирована связующим – полиэтиленом, а зерна ионита занимают малую долю (см. рис. 5, б, г), что может быть связано с выдавливанием более пластичного полиэтилена из объема гетерогенной мембраны в процессе ее прессования и последующей прокатки [17].
Рис. 5 Электронные микрофотографии поверхности мембраны МК-40 (1000): а, б – в Н-форме; в, г – в Ni-форме; а, в – SE-изображение; б, г – BSE-изображение (поле обзора 254 мкм, напряжение 30,0 кВ)
На SE-изображениях повышенной яркостью характеризуются не только фазы выступающей на поверхности ионообменной смолы, но и полиэтилена в результате его отслоения и отрыва от поверхности в местах выхода зерен ионита на поверхность. Армирующая сетка из капрона также выходит на поверхность в местах пересечения жилок. Степень и масштаб неоднородности поверхности гетерогенной ионообменной мембраны увеличиваются при переводе ее в Ni-форму, четко визуализированы фазы ионита, полиэтилена и армирующей ткани (см. рис. 5, в, г). На BSE-изображении светлые участки можно интерпретировать как участки, обладающие высокой электропроводностью, что свидетельствует об увеличении электропроводящей фазы при переводе мембраны из H-формы в Ni-форму.
В таблице 5 приведены результаты исследования элементного состава среза мембраны МК-40 после кондиционирования и уравновешивания в растворе соли никеля (рис. 6).
Таблица 5. Элементный состав среза мембраны МК-40 после кондиционирования и уравновешивания в растворе соли никеля
Форма мембраны | Концентрация элемента, ат. % | |||
O | Na | S | Ni | |
Н-форма | 74,7 | 1,38 | 24 | 0 |
Ni-форма | 84,1 | 0 | 10,6 | 5,38 |
Рис. 6. Электронные микрофотографии среза мембраны МК-40 (BSE-изображение) (500): а – в Н-форме; б – в Ni-форме (поле обзора 508 мкм, напряжение 30,0 кВ)
Присутствие некоторого количества натрия (1,38 ат. %) в образце после кондиционирования по ГОСТ 17553–72 может быть связано с неполным замещением ионов натрия на ионы водорода (поскольку исходный образец мембраны в сухом виде находится в Na-форме). Полученные значения по содержанию серы (24 ат. %) и кислорода (74,7 ат. %), подтверждают их стехиометрическое соотношение в функциональной группе мембраны МК-40 (). Небольшой разбаланс по кислороду согласуется с наличием связанной воды в воздушно-сухих образцах мембраны. Для мембраны МК-40 в Ni-форме полученные значения содержания атомов никеля (5,38 ат. %) и серы (10,36 ат. %) подтверждают, что двухзарядный ион связан с двумя функциональными группами. Предположительно, уменьшение процентного содержания серы в образце в Ni-форме связано со структурными изменениями в фазе мембраны (см. рис. 5, 7). Достаточно большой разбаланс по атомам кислорода может быть вызван двумя причинами: во-первых, числом молекул воды, приходящихся на одну функциональную группу , равному 4 (согласно данным табл. 2), во-вторых, числом гидратации ионов никеля.
Рис. 7. АСМ-изображения поверхности мембраны МК-40 в Н-форме (а, б, д) и Ni-форме (в, г, е) в режиме топографии (а, в), фазового контраста (б, г) и 3D-изображения (д, е) при площади сканирования 15 15 мкм
Сравнительный АСМ-анализ проводили на воздушно-сухих образцах мембран после химического кондиционирования и уравновешивания в растворе, содержащем ионы никеля. На рисунке 7 представлен рельеф в виде двух- и трехмерных цифровых изображений поверхности [15]. Из 3D-изображений поверхности мембран МК-40 в Н-форме (см. рис. 7, д) и Ni-форме (см. рис. 7, е) видно, что их поверхности не являются плоскими, имеются неровности различного масштаба. Светлые – самые высокие участки можно интерпретировать как выход смолы на поверхность мембраны, темные – самые низкие по высоте участки – как поры [15]. Для образцов в Н-форме видимые неровности распределены хаотично и не имеют определенной формы, рельеф поверхности более сглаженный, чем для образцов в Ni-форме. Сорбция ионов никеля способствует структурообразованию в системе «ионообменная смола – полимер», что приводит к образованию на поверхности МК-40 игольчатых неоднородностей, расположенных в определенном порядке.
Дополнительную информацию о поверхности исследуемых образцов после кондиционирования и контакта с раствором соли никеля можно получить из анализа изображений, полученных в режиме фазового контраста (см. рис. 7, б, г). Данный режим позволил выделить различные поверхностные изменения, которые не имеют топографического проявления и обнаруживаются только на изображениях детектирования фазы колебания [15]. В режиме фазового контраста можно зафиксировать неоднородность свойств поверхности исследуемых образцов (химическую гетерогенность). На фазовых изображениях более светлые области соответствуют большим значениям диссипации энергии и большим значениям сдвига фазы колебания зонда в результате взаимодействия с исследуемой поверхностью, что характеризует ее свойства. Такие участки преобладают на образцах мембраны в Ni-форме.
На изображениях, полученных в режиме топографии (см. рис. 7, а и в), проводили сечения, вдоль которых строили профиль поверхности и определяли амплитудные среднестатистические параметры шероховатости поверхности (табл. 6) в соответствии c международными стандартами ISO 21920–2:2021: Rt – размах высот (максимальный перепад высот между самой верхней и нижней точками поверхности профиля); Ra – средняя арифметическая шероховатость; Rq – средняя квадратичная шероховатость; Rz – шероховатость поверхности по выбранным пяти максимальным высотами впадинам, самых глубоких впадин; Rsk – асимметрия (характеризует несимметричнсть распределения, то есть скошенность распределения профиля; асимметрия положительна, если распределение имеет длинный правый «хвост», и отрицательна, если распределение имеет левый «хвост»); Rku – эксцесс (характеризует протяженность распределения) [16].
Таблица 6. Параметры шероховатости поверхности катионообменной мембраны МК-40 в воздушно-сухом состоянии при площади сканирования 1515 мкм, нм
Форма мембраны | Ra | Rq | Rz | Rt | Rsk | Rku |
Н-форма | 199,1 | 254,0 | 558,1 | 926,5 | -0,43 | 0,16 |
Ni-форма | 141,1 | 171,7 | 394,4 | 624,9 | 0,37 | 0,72 |
Полученные параметры шероховатости позволили оценить количественно геометрическую неоднородность поверхностей исследуемых образцов мембраны МК-40. Поверхность кондиционированного образца мембраны МК-40 является развитой хаотичной структурой c шероховатостью в микрометрическом масштабе. Средняя арифметическая шероховатость для мембраны после кондиционирования выше, чем для мембраны после контакта c раствором соли никеля и соответствует 199,1 нм при Rz = 558,1 нм. Влияние ионов никеля приводит к уменьшению величин амплитудных параметров поверхности примерно в 1,5 раза по сравнению с мембраной в Н-форме.
После перевода мембраны в Ni-форму поверхность мембраны МК-40 становится относительно однородной: параметр шероховатости поверхности Rz соответствует 394,4 нм, a Rа равен 141,1 нм. Бо́льшая протяженность распределения профиля отмечена у образцов мембраны МК-40 в Ni-форме, характеризующихся эксцессом 0,7 нм, по сравнению с величиной 0,16 нм для образца в H-форме, скошенность распределения была с положительным коэффициентом асимметрии 0,37 нм и отрицательным –0,43 соответственно.
Статистическая обработка в программе Gwyddion 2.61 и сопоставление гистограмм плотности распределения по высотам, определенным из микропрофиля поверхности исследуемых образцов (рис. 8, а, б), показали, что для образца в Ni-форме характерно более узкое распределение высот рельефа.
Рис. 8. Микропрофиль поверхности (а), гистограммы плотности распределения высот рельефа (б) мембраны МК-40: 1 – Н-форма, 2 – Ni-форма
Можно выделить несколько пиков в диапазоне шероховатости 130…550 нм, самые высокие плотности 6,7 и 5,9 соответствуют среднему значению шероховатостей 130 и 456 мкм соответственно. Для Н-формы наблюдается более широкий диапазон шероховатости 140…800 нм, с самыми высокими плотностями распределения 4,6 (при 800 нм) и 3,8 (при 694 нм). Полученные гистограммы для мембраны в Н-форме показали смещение плотности распределения высот в сторону больших значений шероховатости.
Совокупность неровностей, образующих микрорельеф поверхности, является причиной того, что истинная площадь поверхности выше, чем геометрическая. Истинная площадь S, отнесенная к геометрической площади Sg поверхности, называется фактором шероховатости fr = S/Sg [18, 19]. Геометрическая площадь является проекцией истинной площади на плоскость и рассчитывается из известных геометрических параметров площади сканирования образца мембраны.
Небольшие отклонения истинной площади от геометрической, установленной для поверхности образца в Ni-форме – 1,34, в то время как для образца в Н-форме это значение равно 1,08.
Заключение
Исследования зависимости влагосодержания мембран в различных солевых формах от природы и концентрации катионов показали, что в основе полученных зависимостей лежат координационные и гидратационные различия исследуемых катионов. Однако с точки зрения микрогетерогенной модели, набухшие гетерогенные мембраны – это фазово-разделенные системы, мезо- и макропоры которых заполнены раствором, по составу аналогичным равновесному. Вышеуказанные различия оказывают влияние на свойства межгелевого раствора и гелевой фазы. Таким образом, ионы никеля приводят к структурным изменениям в фазе мембраны – перераспределению воды, изменению объемных долей пор различного радиуса вследствие снижения набухания и координационной деформации матрицы.
Результаты, полученные с помощь АСМ и СЭМ, позволяют предположить, что на микрорельеф поверхности может влиять технология изготовления гетерогенной мембраны и природа противоиона. Заряд противоиона влияет на набухание ионита и размах высот микропрофиля.
About the authors
E. S. Pechenkina
St. Petersburg State Institute of Technology (Technical University)
Email: pechenkina_ks@mail.ru
Candidate of Chemical Sciences, Associate Professor of the Department of Electrochemical Production Technologies
Russian Federation, St. PetersburgM. N. Bobrov
St. Petersburg State Institute of Technology (Technical University)
Email: pechenkina_ks@mail.ru
Candidate of Technical Sciences, Associate Professor of the Department of Electrochemical Production Technologies
Russian Federation, St. PetersburgA. R. Kuznetsova
St. Petersburg State Institute of Technology (Technical University)
Author for correspondence.
Email: pechenkina_ks@mail.ru
Postgraduate student of the Department of Electrochemical Production Technologies
Russian Federation, St. PetersburgReferences
- O sostoyanii i obohrane okruzhayushchej sredy Rossijskoj Federacii v 2022 godu. Gosudarstvennyj doklad [On the state and environmental protection of the Russian Federation in 2022. State report.], Moscow: Minprirody Rossii; MGU im. M.V. Lomonosova, 2023, 686 p. (In Russ.)
- Turaev D.Yu., Kolesnikov V.A., Popov A.N. [Technology of purification of galvanic production wash water from cadmium ions by membrane and membrane-free electrolysis], Teoreticheskiye osnovy khimicheskoy tekhnologii [Theoretical foundations of chemical technology], 2020, vol. 54. no 1, pp. 75-82, doi: 10.31857/S0040357120010224 (In Russ., abstract in Eng.)
- Niftaliev S.I., Kozaderova O.A., Kim K.B. [Application of bipolar electrodialysis with modified membranes in the purification of chromium-containing wastewater from galvanic production], Ecology and industry of Russia [Ecology and industry of Russia], 2021, no. 25(10), pp. 4-9, doi: 10.18412/18160395-2021-10-4-9 (In Russ., abstract in Eng.)
- Kruglikov S.S., Arkhipov E.A., Zhirukhin D.A., Smirnov K.N., Vagramyan T.A., Kolesnikov V.A., Filatova E.A. [Increasing the efficiency of electromembrane processes at the electrochemical cadmium plating site], Teoreticheskiye osnovy khimicheskoy tekhnologii [Theoretical foundations of chemical technology], 2021, vol. 55, no. 3, pp. 286-290 (In Russ., abstract in Eng.)
- Shishkina S.V., Zhelonkina E.A., Gurina E.A., Stepanov K.I. Obshchestvo. nauka. innovatsii (NPK-2015): Vserossiyskaya ezhegodnaya nauchno-prakticheskaya konferentsiya: sbornik materialov [Society, science, innovation (NPK-2015). All-Russian annual scientific and practical conference: Collection of materials], Kirov, 2015, pp. 259-262. (In Russ.)
- Shestakov K.V., Lazarev S.I., Krylov A.V. [et al.] [Influence of the initial concentration of metal ions in multicomponent solutions on the process of electrodialysis purification], Vestnik Tekhnologicheskogo universiteta [Bulletin of the Technological University], 2023, vol. 26, no. 3, pp. 21-25, doi: 10.55421/1998-7072_2023_26_3_21 (In Russ., abstract in Eng.)
- Melnikova G.B. Metodologicheskiye aspekty skaniruyushchey zondovoy mikroskopii: sbornik dokladov XI Mezhdunarodnoy konferentsii (Minsk, 21-24 okt. 2014)) [Methodological aspects of scanning probe microscopy: Collection of reports of the XI International Conference (Minsk, Oct. 21-24, 2014), Minsk, 2014, pp. 112-117. (In Russ.)
- Gatapova N.Ts., Dzhubari M.K., Alekseeva N.V. [Study of the diffusion permeability of the MK-40 membrane when operating under thermodynamic conditions], Transactions of the Tambov State Technical University, 2020, vol. 26, no. 4, pp. 619-628, doi: 10.17277/vestnik.2020.04.pp.619-628 (In Russ., abstract in Eng.)
- Chernyaeva M.A., Kononenko N.A., Berezina N.P. [Influence of the nature of the polymer matrix on the structure of membranes], Ekologicheskiy vestnik nauchnykh tsentrov Chernomorskogo ekonomicheskogo sotrudnichestva [Ecological bulletin of scientific centers of the Black Sea Economic Cooperation], 2013, vol. 10, no. 2, pp. 101-108 (In Russ., abstract in Eng.)
- Shishkina S.V., Zhelonkina E.A., Stepanov K.I. [et al.] Obshchestvo. Nauka. Innovatsii (NPK-2017): Vserossiyskaya ezhegodnaya nauchno-prakticheskaya konferentsiya: sbornik statey (Kirovm 01-29 apr. 2017) [Society. The science. Innovations (NPK-2017): collection of articles. All-Russian annual scientific and practical conference (Kirov, April 01-29, 2017), Kirov, 2017, pp. 415-423 (In Russ.)
- Vasilyeva V.I., Akberova E.M., Shaposhnik V.A., Malykhin M.D. [Electrochemical properties and structure of ion-exchange membranes under thermochemical influence], Elektrokhimiya [Electrochemistry], 2014, vol. 50, no. 8, pp. 875-883, doi: 10.7868/S0424857014080167 (In Russ., abstract in Eng.)
- Berezina N.P., Karpenko L.V. [Percolation effects in ion-exchange materials] Kolloidnyy zhurnal [Colloid Journal], 2000, vol. 62, no. 6, pp. 749-757(In Russ., abstract in Eng.)
- Zabolotsky V.I., Nikonenko V.V. Perenos ionov v membranakh [Transfer of ions in membranes], Moscow: Nauka, 1996, 392 p. (In Russ.)
- Yaroslavtsev A.B. (Ed.). Membrany i membrannyye tekhnologii [Membranes and membrane technologies], Moscow: Nauchnyy mir, 2013, 612 p. (In Russ.)
- Goleva E.A., Vasilyeva V.I., Abramova E.O. [AFM analysis of the surface of a profiled sulfonic cation exchange membrane after contact with phenylalanine], Kondensirovannyye sredy i mezhfaznyye granitsy [Condensed media and interphase boundaries], 2018, vol. 20, no. 3, pp. 384-393, doi: 10.17308/kcmf.2018.20/578 (In Russ., abstract in Eng.)
- GOST 2789-73. Sherokhovatost poverkhnosti. Parametry i kharakteristiki. [Surface roughness. Parameters and characteristics], Moscow: Izdatel’stvo standartov, 1973, 6 p. (In Russ.)
- Vasilyeva V.I., Kranina N.A., Malykhin M.D. [et al.] [Heterogeneity of the surface of ion-exchange membranes according to SEM and AFM methods], Poverkhnost. Rentgenovskiye sinkhrotronnyye i neytronnyye issledovaniya [Surface. X-ray, synchrotron and neutron studies], 2013, no. 2, pp. 51-61, doi: 10.7868/S0207352813020108 (In Russ., abstract in Eng.)
- Kozaderov O.A. [The effect of surface roughness in the kinetics of heterogeneous processes. Review], Kondensirovannyye sredy i mezhfaznyye granitsy [Condensed matter and interphase boundaries], 2017, vol. 19, no. 1, pp. 6-21 (In Russ., abstract in Eng.)
- Zaichenko N.A., Vasilyeva V.I., Grigorchuk O.V. [et al.] [Analysis of microrelief and surface roughness of ion-exchange membranes by atomic force microscopy], Vestnik Voronezhskogo gosudarstvennogo universiteta. Seriya: Khimiya. Biologiya. Farmatsiya [Bulletin of Voronezh State University. Series: Chemistry. Biology. Pharmacy], 2009, no. 1, pp. 5-14 (In Russ., abstract in Eng.)
Supplementary files











