Антиоксидантный комплекс черноморского двустворчатого моллюска Flexopecten glaber ponticus (Bucquoy, Dautzenberg et Dollfus, 1889) в естественных условиях обитания
- Авторы: Гостюхина О.Л.1, Андреенко Т.И.1
-
Учреждения:
- Институт биологии южных морей им. А.О. Ковалевского (ИнБЮМ) РАН
- Выпуск: Том 50, № 3 (2024)
- Страницы: 191-202
- Раздел: ОРИГИНАЛЬНЫЕ СТАТЬИ
- Статья одобрена: 30.10.2024
- Статья опубликована: 15.06.2024
- URL: https://journals.rcsi.science/0134-3475/article/view/267952
- DOI: https://doi.org/10.31857/S0134347524030029
- ID: 267952
Цитировать
Полный текст
Аннотация
Впервые исследован антиоксидантный (АО) комплекс тканей гребешка Flexopecten glaber ponticus (Bucquoy, Dautzenberg et Dollfus, 1889) из естественного местообитания в Черном море. Показано, что состояние АО комплекса моллюска отличается выраженной тканевой спецификой на фоне близкого уровня ТБК-активных продуктов во всех исследованных органах. Для жабр гребешка была характерна более высокая активность глутатионредуктазы (ГР), супероксиддисмутазы (СОД) и каталазы по сравнению с гепатопанкреасом и более высокая активность глутатионпероксидзы (ГП), ГР и каталазы по сравнению с мускулом, а ресурс глутатиона (GSH) в жабрах был ниже, чем в гепатопанкреасе. Это отражает существенный вклад в антиоксидантную защиту жабр гребешка как глутатионовой системы, так и ключевых антиоксидантных ферментов – СОД и каталазы. В гепатопанкреасе моллюска выявлен наибольший уровень глутатиона и высокая активность ГП, сходная с жабрами. Это отражает их весомую роль в АО защите этого органа. На этом фоне активность ГР, СОД и каталазы в гепатопанкреасе была существенно ниже, чем в жабрах. Мускул гребешка отличался наименьшей активностью ГП и низким уровнем GSH, близким к жабрам. Активность СОД в мускуле была сопоставима со значением в жабрах, а активность каталазы и ГР – со значениями в гепатопанкреасе моллюска.
Полный текст
Двустворчатые моллюски-фильтраторы – неотъемлемый компонент морских экосистем. Эти организмы ведут, как правило, прикрепленный или малоподвижный образ жизни и имеют фильтрационный способ питания, вследствие чего испытывают влияние ряда естественных и антропогенных факторов среды – концентрации кислорода, температуры, солености, рН, обеспеченности пищей, хищничества, а также подвергаются воздействию загрязняющих веществ (Истомина и др., 2021; Manduzio et al., 2005; Stevens, Gobler, 2018). Результатом этого воздействия может быть состояние окислительного стресса (ОС) вследствие образования избыточного количества активных форм кислорода (АФК) и изменения прооксидантно-антиоксидантного равновесия в организме моллюсков (Livingstone, 2001; Manduzio et al., 2005; Lushchak, 2011).
Двустворчатые моллюски имеют ряд адаптаций, обеспечивающих поддержание гомеостаза организма и позволяющих им сохранять полноценный метаболизм в постоянно меняющихся условиях среды. Для них велика защитная роль антиоксидантного (АО) комплекса, обеспечивающего необходимый баланс между про- и антиоксидантными процессами и защиту клеток от окислительного повреждения. Эффективность АО системы (АОС) во многом определяет способность моллюсков к адаптации и их устойчивость к стресс-факторам водной среды (Солдатов и др., 2014; Истомина и др., 2021; Livingstone, 2001; Regoli, Giuliani, 2014).
У разных видов двустворчатых моллюсков устойчивость к ОС может отличаться, так как она связана со специфическими для каждого вида особенностями – физиологическим состоянием, тканевой спецификой, соотношением уровня низкомолекулярного и ферментного звена АОС, систем высокого и низкого сродства к субстрату (Солдатов и др., 2014; Regoli, Giuliani, 2014), экологическими особенностями вида (Климова, Чуйко, 2015; Livingstone, 2001; Lushchak, 2011; Istomina et al., 2021).
Показаны различия в особенностях АО комплекса и уровня перекисного окисления липидов (ПОЛ) у ряда черноморских, дальневосточных, средиземноморских, патагонских моллюсков, включая гребешков, в естественной среде их обитания. Выявлена их взаимосвязь с экофизиологическими особенностями этих видов (Бельчева и др., 2016; Гостюхина, Андреенко, 2020; Gostiukhina, Golovina, 2013; Stevens, Gobler, 2018; Rahman et al., 2019; Lompre et al., 2019; Istomina et al., 2021). Различия в работе АО системы обнаруживают между моллюсками не только разных, но и близких видов, – например, между двумя видами дрейссен Dreissena polymorpha и D. bugensis (Климова, Чуйко, 2015) или у разных цветовых морф одного вида Mytilus galloprovincialis (Александрова и др., 2001). Поэтому изучение различий в функционировании АО комплекса и в его адаптациях у моллюсков, занимающих разные экологические ниши, представляет большой интерес как в нормальных, так и в стрессовых условиях (Stevens, Gobler, 2018). Изучение показателей АО комплекса позволяет более полно подойти к оценке состояния здоровья моллюсков, в том числе гребешков (Lompré et al., 2020).
Черноморский гребешок Flexopecten glaber ponticus - один из важных объектов марикультуры средиземноморского региона благодаря его вкусовым качествам и большому содержанию питательных веществ (Marčeta et al., 2016; Berik et al., 2017; Nardi et al., 2018), а также это возможный объект марикультуры у берегов Крыма (Бондарев, 2019; Revkov et al., 2021). Однако в последние десятилетия численность вида в Черном море резко сократилась (Бондарев, 2019). В настоящее время F. glaber и F. glaber ponticus, как вид и подвид, подвергающиеся сокращению численности, занесены в Красную книгу Крыма и Севастополя (Ревков, 2015). Морские гребешки чувствительны к изменениям окружающей среды – флуктуации pH, температуры или уровня кислорода в воде могут оказывать пагубное воздействие на численность популяции (Christophersen, 2005; Cameron et al., 2019).
Ряд исследований содержит сведения об эмбриональном и личиночном развитии F. glaber ponticus (Pirkova, Ladygina, 2017), структуре популяции моллюска (Todorova et al., 2022), а также о состоянии АО комплекса других гребешков, в том числе из семейства Pectinidae, из разных районов Мирового океана (Бельчева и др., 2016; Viarengo et al., 1995; Qian et al., 2015; Lompré et al., 2020; Tan et al., 2020; Istomina et al., 2021). Однако в целом экология и биология этого вида изучена недостаточно (Бондарев, 2019), а о состоянии АО комплекса F. glaber ponticus из Черного моря информация отсутствует.
Это определило цель настоящего исследования – выявить тканевые особенности АО комплекса у черноморского гребешка Flexopecten glaber ponticus в естественной среде его обитания.
МАТЕРИАЛ И МЕТОДИКА
Половозрелых особей гребешка Flexopecten glaber ponticus собирали в сентябре 2020 г. в районе б. Казачья (Севастополь, Крым) Черного моря на глубине 2.0–2.5 м при температуре воды 18–19°С и солености 16–17‰. Длина раковины моллюсков составляла 26–33 мм. Гребешки в момент сбора находились в посленерестовом состоянии, что важно, так как АО комплекс моллюска весьма чувствителен к изменениям, происходящим в организме во время репродуктивного цикла (Солдатов и др., 2014; Истомина и др., 2021). Внешний вид раковин и мягких тканей моллюсков представлен на рис. 1.
Рис. 1. Внешний вид раковин и мягких тканей гребешка Flexopecten glaber ponticus
После транспортировки моллюсков выдерживали трое сут в проточных аквариумах (150 л) с аэрацией для акклимации. Параметры морской воды в аквариумах были такими же, как и в море (температура воды 18–19°С, соленость 16–17‰, концентрация О2 – 7.4–7.7 мг/л). Ежедневно воду в аквариуме заменяли для удаления продуктов распада. Моллюсков ежедневно кормили микроводорослями (Tetraselmis viridis, штамм IBSS-25, 5–10 мл/50 л морской воды).
У моллюсков извлекали гепатопанкреас, жабры и мускул, органы немедленно замораживали и хранили при -80°С. Замороженные образцы тканей оттаивали на льду и гомогенизировали в 2 мл ледяного 20 мМ Tris/HCl буфера (рН = 7.5), содержащего 0.5 мМ ЭДТА (Cossi et al., 2020) в соотношении ткань : буфер 1 : 10. Гомогенаты центрифугировали (3200g, 15 минут, при 4°C) на центрифуге Centrifuge 5424 R, Eppendorf. Полученные супернатанты сразу использовали для определения активности ферментов.
Активность ГП определяли по накоплению окисленного глутатиона (Paglia, Valentine, 1967), активность ГР – по уменьшению уровня НАДФН (Marques et al., 2016). Активность СОД оценивали по степени ингибирования восстановления нитросинего тетразолия (Nishikimi et al., 1972), а каталазы – по реакции остаточных количеств пероксида водорода с молибдатом аммония (Góth, 1991). Активность ферментов определяли при температуре 25.0 ± 0.5°С. Количество белка в пробах измеряли по методу Лоури при 750 нм (Lowry et al., 1951). Содержание восстановленного глутатиона (GSH) оценивали по реакции с аллоксановым реактивом (Путилина, 1982). Интенсивность ПОЛ измеряли по уровню продуктов, реагирующих с 2-тиобарбитуровой кислотой (ТБК-активных продуктов) (Ohkawa et al., 1979).
Для статистической обработки цифрового материала использовали стандартные программы Past 3, Grapher-7. Было исследовано 22 особи. Рассчитывали среднее арифметическое и ошибку среднего. Для оценки достоверности различий применяли U-критерий Манна-Уитни. Различия считали статистически достоверными при значении р ≤ 0.05. На рисунках результаты представлены как среднее ± ошибка среднего (n = 22).
РЕЗУЛЬТАТЫ
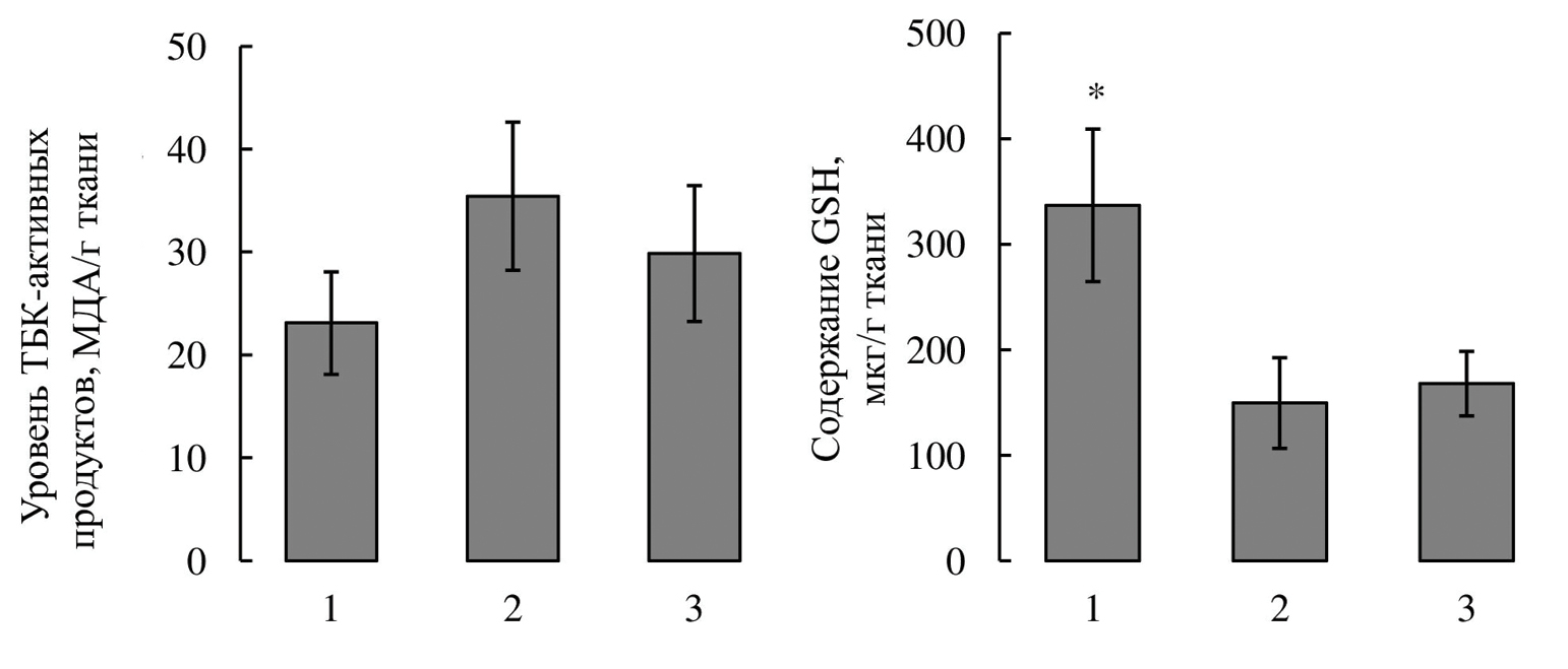
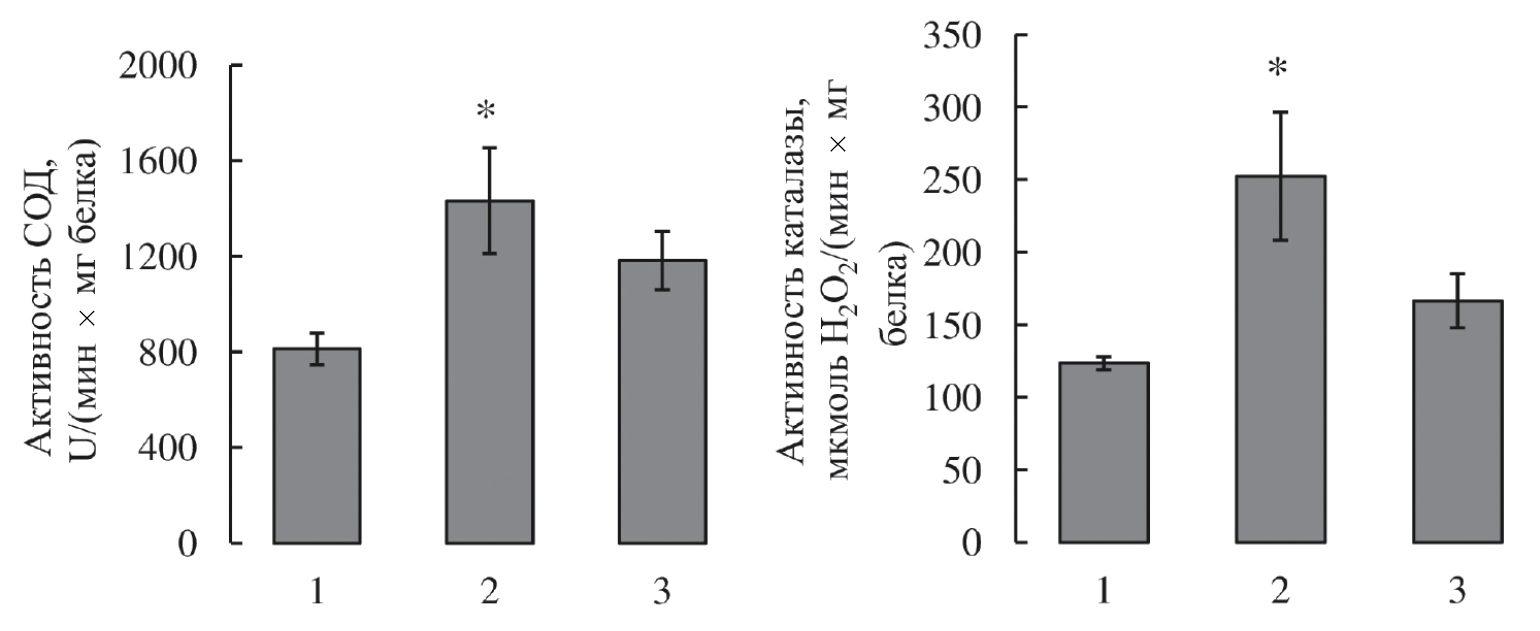
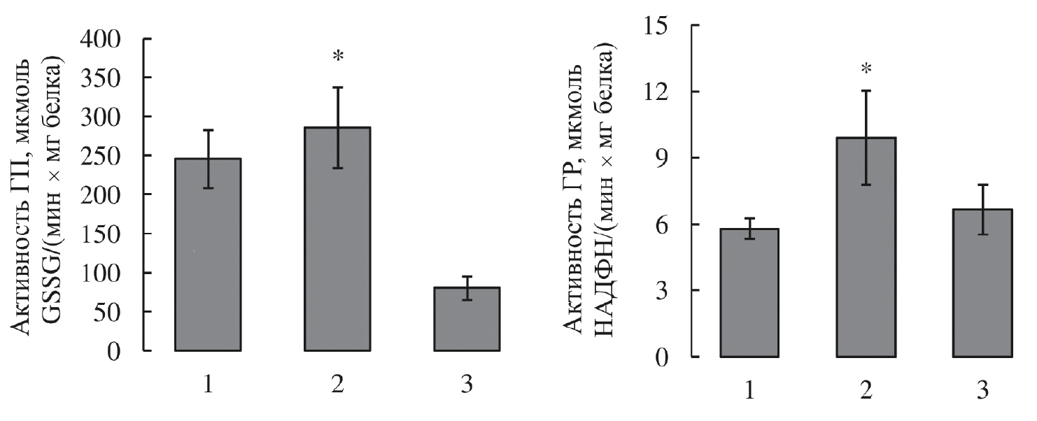
Содержание ТБК-активных продуктов во всех исследованных тканях гребешка было близким (рис. 2). Показатели АО комплекса, напротив, проявили выраженную тканевую специфику. Уровень GSH в гепатопанкреасе был больше по сравнению с жабрами и мускулом гребешка в 2.0–2.25 раза (p ≤ 0.01) (рис. 2). Активность ГП, напротив, в жабрах и гепатопанкреасе совпадала, что было выше, чем в мускуле в 3.1–3.5 раза (p ≤ 0.01) (рис. 3). Жабры гребешка отличались и наибольшей активностью ГР, что превосходило активность фермента в гепатопанкреасе в 1.7 раза (p ≤ 0.05), но совпадало со значением в мускуле (рис. 3). Наибольшие величины активности СОД и каталазы также выявлены в жабрах гребешка (рис. 4). СОД в этой ткани была в 1.5 раза активнее, чем в гепатопанкреасе (p ≤ 0.05). Активность каталазы была в 2.0 раза выше, чем в гепатопанкреасе (p ≤ 0.05) и в 1.5 раза больше, чем в мускуле моллюска (p ≤ 0.05). В остальных случаях различия не были достоверными.
Рис. 2. Уровень ТБК-активных продуктов и глутатиона (GSH) в тканях гребешка Flexopecten glaber ponticus (1 – гепатопанкреас, 2 – жабры, 3 – мускул; *достоверные отличия от значений в других тканях (p ≤ 0.05–0.01))
Рис. 3. Активность ГП и ГР в тканях гребешка Flexopecten glaber ponticus (1 – гепатопанкреас, 2 – жабры, 3 – мускул; *достоверные отличия от значений в других тканях (p ≤ 0.05–0.01))
Рис. 4. Активность СОД и каталазы в тканях гребешка Flexopecten glaber ponticus (1 – гепатопанкреас, 2 – жабры, 3 – мускул; *достоверные отличия от значений в других тканях (p ≤ 0.05–0.01))
ОБСУЖДЕНИЕ
Состояние АО комплекса варьировало в зависимости от ткани моллюска. АО статус тканей гребешка Flexopecten glaber ponticus можно оценить по соотношению уровня глутатиона c активностью исследованных ферментов и интенсивностью ПОЛ в тканях.
Жабры
В жабрах гребешка ресурс GSH был низким по сравнению с гепатопанкреасом, что сочеталось с наибольшей активностью ГП и ГР. Высокая активность обоих ферментов свидетельствовала об активном обезвреживании Н2О2 и гидроперекисей с помощью ГП и одновременном наращивании резерва GSH с участием ГР. Считают, что достаточный ресурс GSH в тканях обеспечивает функционирование ГП по инактивации Н2О2 и гидропероксидов (Ng et al., 2007; Qiu et al., 2013).
Показано, что поддержание активности ГР, и, как следствие, ресурса GSH, имеет важнейшее значение для детоксикации АФК у животных (Halliwell, 1999), и в том числе у ряда видов гребешков (Бельчева и др., 2016; Istomina et al., 2021), мидий, анадары (Гостюхина, Андреенко, 2018; Гостюхина, Солдатов, 2023; Regoli, Principato, 1995), устриц (Trevisan et al., 2016; Elia et al., 2020), а антиоксидантная глутатионовая система (АГС) в целом играет роль важного защитного барьера в жабрах двустворчатых моллюсков (Trevisan et al., 2016). Однако в нашем исследовании, несмотря на сравнительно высокую активность ГП и ГР, уровень GSH в жабрах гребешка был меньше, чем в гепатопанкреасе. Это указывает на более напряженное состояние АО комплекса жабр F. glaber ponticus по сравнению с гепатопанкреасом и мускулом, а также на его наиболее высокую чувствительность к потенциальному окислительному стрессу. Это связано с рядом причин.
В естественных условиях жабры моллюсков испытывают повышенную окислительную нагрузку в связи с их структурно-функциональными особенностями. Жабры гребешков – крупные листовидные органы, имеют большую площадь поверхности и постоянно контактируют с водной средой в процессе газообмена и фильтрационного питания (Marsden, Cranford, 2016). Это способствует поступлению в жабры растворенного в воде кислорода и различных токсических веществ, стимулирующих дополнительное образование АФК и усиление ПОЛ. В свою очередь это может приводить к частичной потере GSH при его активном участии в АО процессах в случае недостатка активности ферментов его биосинтеза и/или энергии АТФ (Борисенок и др., 2019). В исследованиях АО реакций в тканях мидий и гребешков показано, что скорость реакции, катализируемой ГП, ограничена концентрацией GSH в клетке, а между активностью ГП и ГР существует баланс для модуляции реакций с участием H2O2 и GSH в качестве субстратов (Qiu et al., 2013).
При этом активность ключевых АО ферментов, СОД и каталазы, в жабрах гребешка наибольшая, что, очевидно, связано с существенным вкладом ферментов этой группы в АО защиту жабр F. glaber ponticus. Вероятно, высокая активность каталазы в этом органе обусловлена повышенной концентрацией Н2О2, которая образуется не только при дисмутации супероксидного радикала. Источником пероксида водорода могут быть пероксисомы и другие компартменты клетки. Это соединение легко диффундирует через биологические мембраны и может вступать во множество других свободно-радикальных реакций (Lesser, 2006). Это ведет к риску развития ОС у моллюсков, особенно у чувствительных к уровню кислорода гребешков (Viarengo et al., 1995). Это также свидетельствует о более интенсивной АО защите жабр, чем гепатопанкреаса и мускула, и подтверждается близким уровнем ТБК-активных продуктов во всех исследованных тканях.
Соотношение величин АО комплекса в жабрах, подобное выявленному нами, находим и в ряде других исследований. У гребешка F. glaber (контрольная группа) активность ГП в гепатопанкреасе и жабрах близкая, а активность каталазы существенно выше в жабрах (Nardi et al., 2018). Активность каталазы и ГР – наибольшие в жабрах по сравнению с мускулом и гепатопанкреасом у гребешка Mizuhopecten yessoensis (Бельчева и др., 2016). Активность СОД в жабрах превышала таковую в гепатопанкреасе гребешка Aequipecten tehuelchus (Аргентина) (Lompré et al., 2020). Как и в нашем исследовании в жабрах ряда видов гребешков активность АО ферментов была выше, чем в гепатопанкреасе. В жабрах Chlamys farreri, Swiftopecten swiftii и M. yessoensis выше активность ГР, у M. yessoensis – активность каталазы, а у C. farreri и S. swiftii – активность СОД (Istomina et al., 2021).
Более высокую чувствительность жабр гребешков, чем гепатопанкреаса, к ОС разной природы отмечают и при изучении реакций АО комплекса на различные стресс-факторы. Так, сделан вывод о большей уязвимости АО системы жабр гребешка F. flexuosus, чем его гепатопанкреаса, при действии кадмия и закисления, так как в жабрах отмечали снижение активности ГП, глутатионтрансферазы (ГТ) и других ферментов, а в гепатопанкреасе – напротив, их повышение (Allodi, 2013). Отмечают, что в естественных условиях обитания гребешки способны к высокому накоплению в тканях тяжелых металлов – кадмия, мышьяка, при этом предполагают адсорбцию этих металлов слизистой оболочкой жабр. Жабры являются одним из основных путей, по которому ионы металлов попадают в организм моллюсков, и служат первыми органами-мишенями при их действии (Lompré et al., 2020). Вероятно, это может оказывать прямое повреждающее действие на жаберные клетки и вызывать в них развитие ОС. В частности, среди негативных эффектов кадмия на АО комплекс гребешка A. tehuelchus отмечают стимуляцию выработки АФК в клетках и истощение ресурса GSH (Lompré et al., 2020), необходимого при функционировании ГП, ГТ и имеющего важную самостоятельную АО роль.
Вероятно, соотношение компонентов АО защиты между собой и с уровнем ТБК-активных продуктов отражает специфику защиты жабр гребешка как органа, наиболее подверженного окислительной нагрузке и несущего в связи с этим высокие риски развития ОС. Полученные нами результаты показывают, что в АО защите жабр велика роль всех изученных АО компонентов, что, вероятно, позволяет поддерживать уровень ТБК-активных продуктов в этом органе гребешка на одном уровне с остальными. Это особенно важно для F. glaber как стенобионтного вида, чувствительного к действию многих факторов водной среды (Telahigue et al., 2022).
Гепатопанкреас
Высокая активность ГП в пищеварительной железе, как и в жабрах гребешка, указывает на интенсивное вовлечение GSH в работу фермента. При этом на фоне более низкой активности ГР, чем в жабрах, ресурс GSH в гепатопанкреасе – наибольший среди исследованных тканей. Поддержание ресурса GSH в пищеварительной железе моллюсков, возможно, связано не только с работой ГР, но и с его синтезом de novo за счет наличия большого количества пластических ресурсов в этом органе, в том числе аминокислот (Nguyen et al., 2019).
Эти особенности свидетельствуют об активной работе АГС в гепатопанкреасе F. glaber ponticus и поддержании резерва GSH на высоком уровне. Подобный АО профиль отмечают и в гепатопанкреасе ряда видов гребешков – высокую активность ГП у S. swiftii, M. yessoensis и C. farreri по сравнению с жабрами (Istomina et al., 2021), у Pecten maximus – по сравнению с жабрами и мускулом (Gamble et al., 1995), у M. yessoensis активность ГП выше, чем в мускуле (Qui et al., 2013), а у S. swiftii, как и в нашей работе, отмечен наибольший уровень GSH (Istomina et al., 2021).
Вероятно, такое состояние АГС типично для гепатопанкреаса, где в целом высок уровень обмена веществ и интенсивность генерации АФК как в норме, так и при действии ОС. Ткань пищеварительной железы, как известно, является основным местом накопления различных ксенобиотиков, способствующих генерации АФК (Livingstone, 1991). Это обусловливает повышенный базальный уровень АФК и ПОЛ в этом органе моллюсков (Regoli, Principato, 1995; Livingstone, 2001), что, вероятно, способствует активной работе АГС в гепатопанкреасе исследованного нами гребешка.
Активность СОД и каталазы в гепатопанкреасе гребешка была наименьшей по сравнению с жабрами и мускулом моллюска. Возможно, эти особенности связаны со следующими причинами.
Показано, что пищеварительная железа гребешков наряду с жабрами способна накапливать тяжелые металлы, особенно кадмий и мышьяк (Marsden, Cranford, 2016; Lompré et al., 2020). У двустворчатых моллюсков перенос ионов металлов в органы пищеварения происходит из жабр, а содержание тяжелых металлов в гепатопанкреасе значительно выше, чем в других тканях (Lompré et al., 2020; Telahigue et al., 2022). В пищеварительной железе морского гребешка A. tehuelchus выявлены наибольшие повреждения клеток в естественных условиях вследствие накопления тяжелых металлов, а также сделан вывод о низкой или недостаточной способности этого органа реагировать на повреждение на фоне роста уровня АФК и липидных радикалов (Lompré et al., 2020). Учитывая способность гребешков к высокому накоплению тяжелых металлов, возможно, в гепатопанкреасе исследованного нами вида активность СОД и каталазы недостаточна для купирования потенциального окислительного стресса, а основной вклад в АО защиту пищеварительной железы F. glaber ponticus вносит АГС.
С другой стороны, нельзя исключить, что более низкая активность СОД и каталазы в гепатопанкреасе, чем в жабрах F. glaber, может быть связана с дополнительной защитой от окислительного стресса за счет действия металлотионеинов, активно обезвреживающих опасные гидроксильные радикалы (Telahigue et al., 2022). В частности, эти соединения обнаружены в гепатопанкреасе ряда видов гребешков – F. glaber (Nardi et al., 2018), Argopecten irradians (Yang et al., 2013), Adamussium colbecki (Viarengo et al., 1993), A. tehuelchus (Giarratano et al., 2023), M. yessoensis (Zhukovskaya et al., 2020).
В нашем исследовании это может косвенно подтверждаться близким уровнем ТБК-активных продуктов во всех исследованных тканях F. glaber ponticus. В сравнительных исследованиях показано, что активность СОД существенно ниже в гепатопанкреасе ряда видов гребешков, чем в этом же органе митилид (Бельчева и др., 2016; Gamble et al., 1995; Regoli et al., 1997). Это дает основание предположить, что более низкий в целом базовый уровень АФК в тканях гребешков, и в том числе у исследованного нами F. glaber ponticus, может способствовать другому распределению величин активности АО ферментов по тканям, чем у моллюсков с более высоким уровнем АФК. Это могло способствовать и более низкой активности СОД в гепатопанкреасе по сравнению с жабрами гребешка в нашем исследовании. Более низкая, чем в жабрах, активность СОД в гепатопанкреасе, могла оказать влияние и на каталазу – активность этого фермента в гепатопанкреасе моллюска также существенно ниже, чем в жабрах. Это подчеркивает согласованное функционирование СОД и каталазы, последовательно инактивирующих супероксидный радикал и Н2О2 в тканях гребешка. Кроме того, эта особенность дополнительно подтверждает вывод о ведущей роли АГС в АО защите гепатопанкреаса исследованного нами гребешка.
Мускул
Активность ГП в мускуле существенно более низкая, чем в гепатопанкреасе и жабрах гребешка, и активность ГР, близкая к значениям в остальных тканях, вероятно, обусловливают меньшую степень инактивации Н2О2 и гидроперекисей в этом органе. При этом содержание GSH в мускуле такое же, как и в жабрах. В отличие от мускула, в жабрах и гепатопанкреасе гребешка оборот GSH, очевидно, происходит интенсивнее, что, возможно, и способствует поддержанию количества ТБК-активных продуктов в этих двух органах на таком же уровне, как и в мускульной ткани F. glaber ponticus.
Сравнительно невысокая активность ГП и АГС в целом в мускуле гребешка связана, вероятно, с более низкой интенсивностью обмена веществ в этом органе моллюска, чем в гепатопанкреасе и жабрах. Как известно, скорость метаболизма может влиять на скорость образования АФК и, как следствие, на АО активность (Buttemer et al., 2010). Более низкую активность глутатионзависимых ферментов и низкий уровень GSH в мускульной ткани по сравнению с другими органами отмечают и у ряда других видов гребешков – Pecten maximus, M. yessoensis (Бельчева и др., 2016; Gamble et al., 1995; Qiu et al., 2013).
Кроме того, более низкую активность АО ферментов связывают с меньшим содержанием железа в мускульной ткани по сравнению с гепатопанкреасом и жабрами гребешка. Так, в мускуле M. yessoensis установлено наименьшее содержание этого микроэлемента (Бельчева и др., 2016). Известно, что металлы с переменной валентностью, а именно ионы Fe2+/Fe3+, способны инициировать реакцию Габера-Вейса с образованием высокоактивного гидроксильного радикала (Halliwell, Gutteridge, 1984). Образование этих радикалов с участием ионов железа показано в субклеточных фракциях пищеварительной железы и жабр гребешка A. colbecki (Regoli et al., 1998). Это может существенно стимулировать развитие ПОЛ и окислительное повреждение этих тканей. Кроме того, способность к накоплению тяжелых металлов в мускуле существенно ниже, чем в других тканях этого моллюска (Marsden, Cranford, 2016). Возможно, низкое содержание ионов железа и тяжелых металлов в мускуле исследованного нами F. glaber ponticus, как и у других видов гребешков, могло определить пониженный уровень процессов свободно-радикального окисления и, как следствие, активности ГП и АГС в целом.
Одной из возможных причин более низкой активности АГС в мускуле может служить и особый состав жирных кислот биомембран этой ткани. Предполагают, что в мускульной ткани гребешка M. yessoensis более низкая активность ряда АО ферментов, в том числе ГП и ГР, связана с более низкой чувствительностью липидов мембран в этой ткани к действию ПОЛ (Бельчева и др., 2016).
Активность СОД в мускуле исследованного нами гребешка была близкой к значению в жабрах и выше, чем в гепатопанкреасе, а активность каталазы – близка к активности фермента в гепатопанкреасе, и уступала только жабрам. Вероятно, этим ферментам принадлежит ведущая роль в АО защите мускульной ткани на фоне сравнительно низкой активности АГС моллюска.
Относительно высокая активность каталазы и СОД в мускуле гребешка F. glaber ponticus может быть связана также с подвижностью и содержанием макроэргов у моллюска. Для высокоподвижных моллюсков, к числу которых относят гребешков, показано быстрое снижение уровня АТФ и энергетического заряда в мускульной ткани, например, при дефиците кислорода (Livingstone, 1991). Как известно, для поддержания уровня АТФ важен достаточный уровень GSH в тканях моллюсков (Martinez et al., 1995). Так как ресурс GSH и активность ГП в мускульной ткани подвижного гребешка существенно ниже, чем в гепатопанкреасе и/или в жабрах, то возможно, сравнительно высокая активность СОД и каталазы, выявленная нами, позволяет поддерживать необходимую АО защиту мускула в условиях недостатка других антиоксидантов.
Таким образом, состояние АО комплекса гребешка F. glaber ponticus из естественной среды обитания отличается выраженной тканевой спецификой на фоне близкого уровня ТБК-активных продуктов во всех исследованных тканях моллюска. Для жабр гребешка была характерна более высокая активность ГР, СОД и каталазы по сравнению с гепатопанкреасом и более высокая активность ГП, ГР и каталазы по сравнению с мускулом, а ресурс глутатиона в жабрах был ниже, чем в гепатопанкреасе. Это отражает существенный вклад в антиоксидантную защиту жабр гребешка как глутатионовой системы, так и ключевых АО ферментов – СОД и каталазы. В гепатопанкреасе моллюска выявлен наибольший среди его тканей уровень глутатиона и высокая активность ГП, сходная с жабрами, что отражает их весомую роль в АО защите этого органа. На этом фоне активность ГР, СОД и каталазы в гепатопанкреасе была существенно ниже, чем в жабрах. Мускул гребешка отличался наименьшей активностью ГП и низким уровнем GSH, близким к жабрам. Активность СОД в мускуле была сопоставима со значением в жабрах, а активность каталазы и ГР – со значениями в гепатопанкреасе моллюска.
ФИНАНСИРОВАНИЕ РАБОТЫ
Работа выполнена в рамках государственного задания ФИЦ ИнБЮМ по темам “Механизмы функционирования иммунной системы двустворчатых моллюсков и физиологические основы ее адаптации к абиотическим, биотическим и антропогенным факторам окружающей среды” (№ гос. регистрации 124030100090-4) и “Функциональные, метаболические и молекулярно-генетические механизмы адаптации морских организмов к условиям экстремальных экотопов Черного и Азовского морей и других акваторий Мирового океана” (124030100137-6).
СОБЛЮДЕНИЕ ЭТИЧЕСКИХ СТАНДАРТОВ
Эксперименты с животными проводились в соответствии с Руководством Национального института здравоохранения по уходу и использованию лабораторных животных (http://oacu.od.nih.gov/regs/index.htm). Проведение экспериментов одобрено Комиссией по биоэтике Института биологии южных морей им. А.О. Ковалевского РАН (Протокол 2/23 от 24 августа 2023 года).
КОНФЛИКТ ИНТЕРЕСОВ
Авторы данной работы заявляют, что у них нет конфликта интересов.
Об авторах
О. Л. Гостюхина
Институт биологии южных морей им. А.О. Ковалевского (ИнБЮМ) РАН
Автор, ответственный за переписку.
Email: gostolga@yandex.ru
ORCID iD: 0000-0002-0069-7990
Россия, Севастополь
Т. И. Андреенко
Институт биологии южных морей им. А.О. Ковалевского (ИнБЮМ) РАН
Email: gostolga@yandex.ru
ORCID iD: 0000-0002-1165-5358
Россия, Севастополь
Список литературы
- Александрова О.Л., Солдатов А.А., Головина И.В. Особенности глутатионпероксидной системы в тканях двух цветовых морф черноморской мидии Mytilus galloprovincialis Lam. // Экол. моря. 2001. T. 58. C. 22–26.
- Бельчева Н.Н., Довженко Н.В., Истомина А.А. и др. Антиоксидантная система мидии Грея Crenomytilus grayanus (Dunker, 1853) и приморского гребешка Mizuhopecten yessoensis (Jay, 1857) (Mollusca: Bivalvia) // Биол. моря. 2016. Т. 42. № 5. С. 375–380.
- Бондарев И.П. Новые данные о биологии и экологии Flexopecten glaber (Linnaeus, 1758) (Bivalvia, Pectinidae) в Черном море // Вод. биоресурсы и среда обитания. 2019. T. 2. № 2. C. 36–44.
- Борисенок О.А., Бушма М.И., Басалай О.Н., Радковец А.Ю. Биологическая роль глутатиона // Мед. новости. 2019. Т. 7. № 298. С. 3–8.
- Гостюхина О.Л., Андреенко Т.И. Ферментное и низкомолекулярное звенья антиоксидантного комплекса двух видов черноморских моллюсков с разной устойчивостью к окислительному стрессу: Mytilus galloprovincialis Lam. и Anadara kagoshimensis (Tokunaga, 1906) // Журн. общ. биол. 2018. Т. 79. № 6. С. 482–492.
- Гостюхина О.Л., Андреенко Т.И. Активность супероксиддисмутазы и каталазы в тканях трех видов черноморских двустворчатых моллюсков: Cerastoderma glaucum (Bruguiere, 1789), Anadara kagoshimensis (Tokunaga, 1906) и Mytilus galloprovincialis Lam. в связи с адаптацией к условиям их обитания //Журн. эвол. биохим. и физиол. 2020. Т. 56. № 2. С. 24–34.
- Гостюхина О.Л., Солдатов А.А. Влияние голодания на антиоксидантный комплекс двустворчатого моллюска Anadara kagoshimensis (Tokunaga, 1906) из Черного моря // Биол. моря. 2023. Т. 49. № 1. С. 17–26.
- Истомина А.А., Мазур А.А., Челомин В.П. и др. Интегрированный ответ биомаркëров при оценке качества морской среды на примере двустворчатого моллюска Mytilus trossulus (Gould, 1850) // Биол. моря. 2021. Т. 47. С. 176–183.
- Климова Я.С., Чуйко Г.М. Антиоксидантный статус пресноводных двустворчатых моллюсков Dreissena polymorpha и D. bugensis (Dreissenidae, Bivalvia) из Волжского плёса Рыбинского водохранилища // Поволжский экол. журн. 2015. № 1. С. 33–41.
- Путилина Ф.Е. Определение содержания восстановленного глутатиона в тканях // Методы биохим. исследований. Л.: Изд-во ЛГУ. 1982. С. 183–187.
- Ревков Н.К. Гребешок черноморский Flexopecten glaber ponticus Bucquoy, Dautzenberg et Dollfus, 1889 // Красная книга Республики Крым. Животные. Симферополь: АРИАЛ. 2015. С. 39.
- Солдатов А.А., Гостюхина О.Л., Головина И.В. Функциональные состояния антиоксидантного ферментного комплекса тканей Mytilus galloprovincialis Lam. в условиях окислительного стресса //Журн. эвол. биохим. и физиол. 2014. № 3. С. 183–189.
- Berik N., Çankiriligil C., Gül G. Mineral content of smooth scallop (Flexopecten glaber) caught Canakkale, Turkey and evaluation in terms of food safety // J. Trace Elem. Med. Biol. 2017. V. 42. P. 97–102.
- Buttemer W.A., Abele D., Costantini D. From bivalves to birds: oxidative stress and longevity // Funct. Ecol. 2010. V. 24. № 5. P. 971–983.
- Cameron L.P., Reymond C.E., Müller-Lundin F. et al. Effects of temperature and ocean acidification on the extrapallial fluid pH, calcification rate, and condition factor of the king scallop Pecten maximus // J. Shellfish Res. 2019. V. 38. № 3. P. 763–777.
- Christophersen G. Effects of environmental conditions on culturing scallop spat (Pecten maximus). Bergen, Norway: Univ. of Bergen. 2005.
- Cossi P.F., Herbert L.T., Yusseppone M.S. et al. Toxicity evaluation of the active ingredient acetamiprid and a commercial formulation (Assail® 70) on the non-target gastropod Biomphalaria straminea (Mollusca: Planorbidae) // Ecotoxicol. Environ. Saf. 2020. V. 192. Art. 110248. 10.1016/j.ecoenv.2020.110248
- Elia A.C., Burioli E., Magara G. et al. Oxidative stress ecology on Pacific oyster Crassostrea gigas from lagoon and offshore Italian sites // Sci. Total Environ. 2020. V. 739. Art. ID 139886.
- Exploring Themes on Aquatic Toxicology / Ed. S. Allodi. Kerala, India: Research Signpost. 2013.
- Gamble S.C., Goldfarb P.S., Porte C., Livingstone D.R. Glutathione peroxidase and other antioxidant enzyme function in marine invertebrates (Mytilus edulis, Pecten maximus, Carcinus maenas and Asterias rubens) // Mar. Environ. Res. 1995. V. 39. № 1-4. P. 191–195.
- Giarratano E., Lompré J.S., Malanga G. Evidences of metabolic alterations and cellular damage in different tissues of scallops Aequipecten tehuelchus exposed to cadmium // Mar. Environ. Res. 2023. V. 188. Art. ID 106011.
- Gostiukhina O.L., Golovina I.V. Сomparative analysis of antioxidant complex of the Black sea mollusks Mytilus galloprovincialis, Anadara inaequivalvis and Crassostrea gigas // Hydrobiol. J. 2013. V. 49. № 3. P. 77–84.
- Góth L.A. A simple method for determination of serum catalase activity and revision of reference range // Clin. Chim. Acta. 1991. V. 196. № 2–3. P. 143–151.
- Halliwell B. Antioxidant defence mechanisms: from the beginning to the end (of the beginning) // Free Radical Res. 1999. V. 31. № 4. P. 261–272.
- Halliwell B., Gutteridge J. Oxygen toxicity, oxygen radicals, transition metals and disease // Biochem. J. 1984. V. 219. № 1. P. 1–14.
- Istomina A., Yelovskaya O., Chelomin V. Antioxidant activity of Far Eastern bivalves in their natural habitat // Mar. Environ. Research. 2021. V. 169. P. 105383.
- Lesser M. Oxidative stress in the marine environment: biochemistry and physiological ecology // Annu. Rev. 2006. V. 68. P. 253–278.
- Livingstone D.R. Origins and evolution of pathways of anaerobic metabolism in the animal kingdom // Am. Zool. 1991. V. 31. P. 522–534.
- Livingstone D.R. Contaminant-stimulated reactive oxygen species production and oxidative damage in aquatic organisms // Mar. Pollut. Bull. 2001. V. 42. № 8. P. 656–666.
- Lompré J., Malanga G., Gil M.N. Multiple-biomarker approach in a commercial marine scallop from San Jose gulf (Patagonia, Argentina) for health status assessment // Arch. Environ. Contam. Toxicol. 2020. V. 78. P. 451–462.
- Lowry O., Rosebrough N., Farr A.L., Randall R. Protein measurement with the Folin phenol reagent // J. Biol. Chem. 1951. V. 193. № 1. P. 265–275.
- Lushchak V.I. Environmentally induced oxidative stress in aquatic animals // Aquat. Toxicol. 2011. V. 101. № 1. P. 13–30.
- Manduzio H., Rocher B., Durand F. et al. The point about oxidative stress in mollusks // Invertebr. Surviv. J. 2005. V. 91. № 2. P. 91–104.
- Marčeta T., Da Ros L., Marin M.G. et al. Overview of the biology of Flexopecten glaber in the North Western Adriatic Sea (Italy): a good candidate for future shellfish farming aims? // Aquaculture. 2016. V. 462. P. 80–91.
- Marques A., Piló D., Araújo O. Propensity to metal accumulation and oxidative stress responses of two benthic species (Cerastoderma edule and Nephtys hombergii): are tolerance processes limiting their responsiveness? // Ecotoxicology. 2016. V. 25. № 4. P. 664–676.
- Marsden I.D., Cranford P.J. Scallops and marine contaminants // Dev. Aquacult. Fish. Sci. 2016. V. 40. P. 567–584.
- Martínez M., Ferrándiz M.L., Díez A., Miquel H. Depletion of cytosolic GSH decreases the ATP levels and viability of synaptosomes from aged but not from young mice // Mech. Aging Dev. 1995. V. 84. № 1. P. 77–81.
- Nardi A., Benedetti M., Fattorini D., Regoli F. Oxidative and interactive challenge of cadmium and ocean acidification on the smooth scallop Flexopecten glaber // Aquat. Toxicol. 2018. V. 196. P. 53–60.
- Ng C.F., Schafer F.Q., Buettner G.R., Rodgers V.G.J. The rate of cellular hydrogen peroxide removal shows dependency on GSH: mathematical insight into in vivo H2O2 and GPx concentrations // Free Radical Res. 2007. V. 41. № 11. P. 1201–1211.
- Nguyen T.V., Alfaro A.C., Young T., Merien F. Tissue-specific immune responses to Vibrio sp. infection in mussels (Perna canaliculus): a metabolomics approach // Aquaculture. 2019. V. 500. P. 118-125.
- Nishikimi M., Rao N.A., Yagi K. The occurrence of superoxide anion in the reaction of reduced phenazine methosulfate and molecular oxygen // Biochem. Biophys. Res. Commun. 1972. V. 46. № 2. P. 849–854.
- Ohkawa H., Ohishi N., Yagi K. Assay for lipid peroxides in animal tissues by thiobarbituric acid reaction // Anal. Biochem. 1979. V. 95. № 2. P. 351–358.
- Paglia D., Valentine W. Studies on the quantitative and qualitative characterization of erythrocyte glutathione peroxidase // J. Lab. Clin. Med. 1967. V. 70. № 1. P. 158–169.
- Pirkova A.V., Ladygina L.V. Meiosis, embryonic, and larval development of the Black Sea scallop Flexopecten glaber ponticus (Bucquoy, Dautzenberg & Dollfus, 1889) (Bivalvia, Pectinidae) // Mar. Biol. J. 2017. V. 2. № 4. P. 50–57.
- Qian J., Li Z., Shen Y. et al. Synergistic effect of temperature and salinity on antioxidant enzymes activities of Chlamys nobilis // S. China Fish. Sci. 2015. V. 11. № 6. P. 49–57.
- Qiu J., Ma F., Fan H., Li A. Effects of feeding Alexandrium tamarense, a paralytic shellfish toxin producer, on antioxidant enzymes in scallops (Patinopecten yessoensis) and mussels (Mytilus galloprovincialis) // Aquaculture. 2013. V. 396-399. P. 76–81.
- Rahman M.A., Henderson S., Miller-Ezzy P. et al. Immune response to temperature stress in three bivalve species: Pacific oyster Crassostrea gigas, Mediterranean mussel Mytilus galloprovincialis and mud cockle Katelysia rhytiphora // Fish Shellfish Immunol. 2019. V. 86. P. 868–874.
- Regoli F., Giuliani M.E. Oxidative pathways of chemical toxicity and oxidative stress biomarkers in marine organisms // Mar. Environ. Res. 2014. V. 93. P. 106–117.
- Regoli F., Nigro M., Orlando E. Lysosomal and antioxidant responses to metals in the Antarctic scallop Adamussium colbecki // Aquat. Toxicol. 1998. V. 40. № 4. P. 375–392.
- Regoli F., Principato G. Glutathione, glutathione-dependent and antioxidant enzymes in mussels, Mytilus galloprovincialis, exposed to metals under field and laboratory conditions: implications for the use of biochemical biomarkers // Aquat. Toxicol. 1995. V. 31. № 2. P. 143–164.
- Regoli F., Principato G., Bertoli E. Biochemical characterization of the antioxidant system in the scallop Adamussium colbecki, a sentinel organism for monitoring the Antarctic environment // Polar. Biol. 1997. V. 17. P. 251–258.
- Revkov N.K., Pirkova A.V., Timofeev V.A. et al. Growth and morphometric characteristics of the scallop Flexopecten glaber (Bivalvia: Pectinidae) rared in cage off the coast of Crimea (Black Sea) // Ruthenica. 2021. V. 31. № 3. P. 127–138.
- Stevens A.M., Gobler C.J. Interactive effects of acidification, hypoxia, and thermal stress on growth, respiration, and survival of four North Atlantic bivalves // Mar. Ecol. Prog. Ser. 2018. V. 604. P. 143–161.
- Tan K., Zhang B., Zhang H. et al. Enzymes and non-enzymatic antioxidants responses to sequential cold stress in polymorphic noble scallop Chlamys nobilis with different total carotenoids content // Fish Shellfish Immunol. 2020. V. 97. P. 617–623.
- Telahigue K., Rabeh I., Chouba L. et al. Assessment of the heavy metal levels and biomarker responses in the smooth scallop Flexopecten glaber from a heavily urbanized Mediterranean lagoon (Bizerte lagoon) // Environ. Monit. Assess. 2022. V. 194. № 6. Art. no. 397.
- Todorova V.R., Panayotova M.D., Bekov R.I., Prodanov B.K. Recovery of Flexopecten glaber (Linnaeus, 1758) (Bivalvia: Pectinidae) in the Bulgarian Black Sea waters: recent distribution, population characteristics and future perspectives for protection and commercial utilisation // Acta Zool. Bulg. 2022. V. 74. № 3. P. 437–444.
- Trevisan R., Mello D.F., Delapedra G. et al. Gills as a glutathione-dependent metabolic barrier in Pacific oysters Crassostrea gigas: absorption, metabolism and excretion of a model electrophile // Aquat. Toxicol. 2016. V. 173. P. 105–119.
- Viarengo A., Canesi L., Mazzucotelli A., Ponzano E. Cu, Zn and Cd content in different tissues of the Antarctic scallop Adamussium colbecki: role of metallothionein in heavy metal homeostasis and detoxication // Mar. Ecol.: Prog. Ser. 1993. V. 95. P. 163–168.
- Viarengo A., Canesi L., Martinez P.G. et al. Pro-oxidant processes and antioxidant defence systems in the tissues of the Antarctic scallop (Adamussium colbecki) compared with the Mediterranean scallop (Pecten jacobaeus) // Comp. Biochem. Physiol. Part B: Biochem. Mol. Biol. 1995. V. 111. № 1. P. 119–126.
- Yang C., Wang L., Jiang Q. et al. The polymorphism in the promoter region of metallothionein 1 is associated with heat tolerance of scallop Argopecten irradians // Gene. 2013. V. 526. № 2. P. 429–436.
- Zhukovskaya A.F., Dovzhenko N.V., Slobodskova V.V., Chelomin V.P. Age-related changes in the anti-radical defense system in the tissues of Yesso scallop Mizuhopecten yessoensis (JAY1857) // IOP Conf. Ser.: Earth Environ. Sci. IOP Publ. 2020. V. 548. № 4. Art. ID 042058.
Дополнительные файлы






