Spatial Distribution, Size and Age Composition of Population of Mya japonica Jay, 1857 (Bivalvia: Myidae) in Peter the Great Bay, Sea of Japan
- Authors: Selin N.I.1
 - 
							Affiliations: 
							
- Zhirmunsky National Scientific Centre of Marine Biology, Far Eastern Branch, Russian Academy of Sciences
 
 - Issue: Vol 49, No 6 (2023)
 - Pages: 396-406
 - Section: ОРИГИНАЛЬНЫЕ СТАТЬИ
 - Published: 01.11.2023
 - URL: https://journals.rcsi.science/0134-3475/article/view/232305
 - DOI: https://doi.org/10.31857/S0134347523060062
 - EDN: https://elibrary.ru/HCWUHD
 - ID: 232305
 
Cite item
Full Text
Abstract
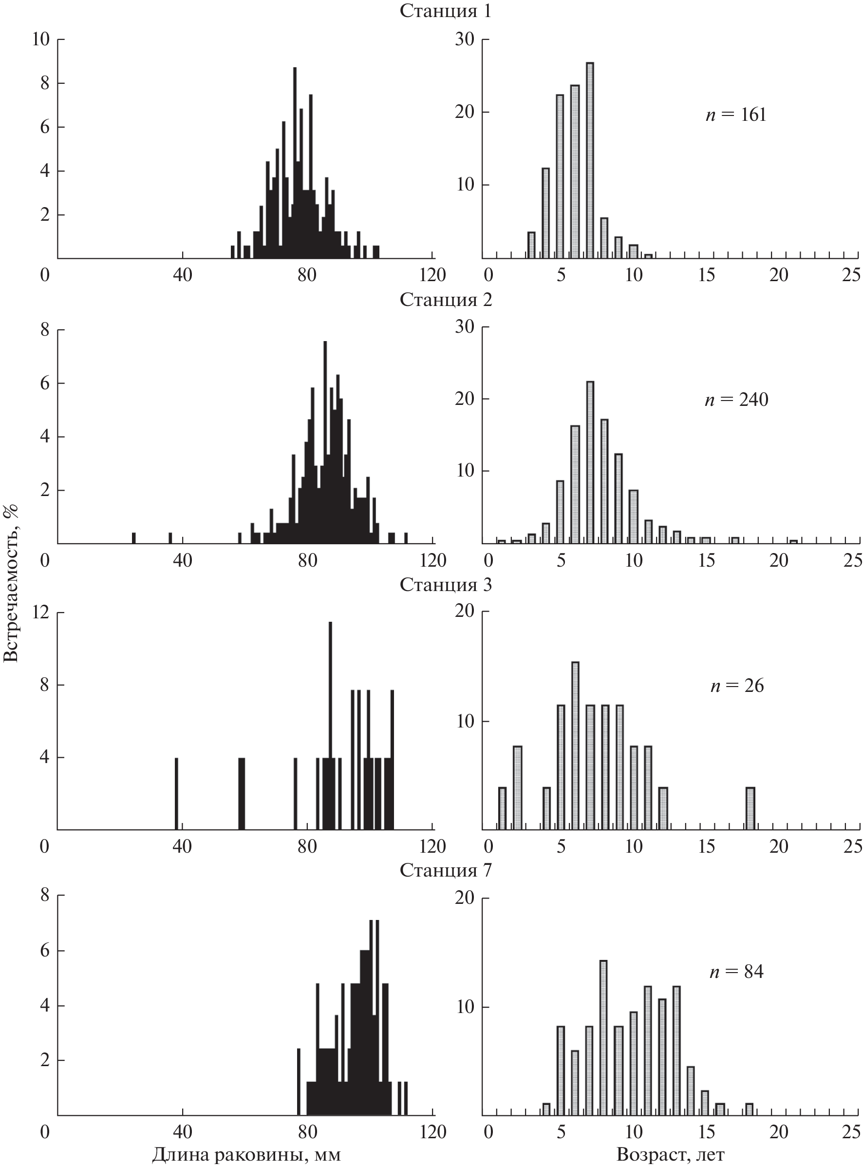
In July–August 2022, the spatial distribution and the composition of local aggregations of the bivalve mollusc Mya japonica Jay, 1857 in the Vostok Bay (Peter the Great Bay of the Sea of Japan) were studied. M. japonica occurred almost throughout the entire bay in a wide range of depths from 0 to 22 m at water temperatures from –1.9 to 25°С and salinity from 0 to 34‰. M. japonica was the most abundant in the shallow areas of the bays, closed from the direct wave impact, where, at a depth of up to 4–5 m, the density of the mollusc reached 27 ind./m2, and the biomass was almost 4 kg/m2, which averaged 56% of the total macrozoobenthos biomass. With increasing depth and moving from the dead-end of the bay to the open sea, the abundance of M. japo-nica decreased by one or two orders of magnitude. Local settlements differed significantly in size and age composition, size-frequency distribution of molluscs, indicating the nature of the replenishment of the benthic population with juveniles, as well as the proportion of commercial size individuals, which ranged from 37 to 98%. The reasons for the revealed features of the distribution and structure of the population of M. japonica are discussed.
About the authors
N. I. Selin
Zhirmunsky National Scientific Centre of Marine Biology, Far Eastern Branch, Russian Academy of Sciences
							Author for correspondence.
							Email: nikselin@yandex.ru
				                					                																			                												                								Russia, 690041, Vladivostok,						
References
- Атлас двустворчатых моллюсков дальневосточных морей России. Составитель С.В. Явнов. Владивосток: Дюма. 2000. 168 с.
 - Брыков В.А., Селин Н.И. Воздействие опреснения морской воды на популяцию приморского гребешка // Биол. моря 1990. № 4. С. 70–72.
 - Буяновский А.И. Пространственно-временная изменчивость размерного состава в популяциях двустворчатых моллюсков, морских ежей и десятиногих ракообразных. М.: Изд. ВНИРО. 2004. 306 с.
 - Дзюба С.М., Масленникова Л.А. Репродуктивный цикл двустворчатого моллюска Mya arenaria в заливе Петра Великого Японского моря // Биол. моря. 1987. № 2. С. 38–41.
 - Евсеев Г.А. Происхождение залива Восток Японского моря и история его фауны двустворчатых моллюсков // Биол. исслед. зал. Восток. Владивосток: ДВНЦ АН СССР. 1976. С. 23–62.
 - Золотарев В.Н. Строение раковин двустворчатых моллюсков залива Восток Японского моря // Биол. исслед. зал. Восток. Владивосток: ДВНЦ АН СССР. 1976. С. 99–121.
 - Золотарев В.Н. Продолжительность жизни двустворчатых моллюсков Японского и Охотского морей // Биол. моря.1980. № 6. С. 3–12.
 - Золотарев В.Н. Склерохронология морских двустворчатых моллюсков. Киев: Наукова думка. 1989. 112 с.
 - Куликова В.А., Колотухина Н.К. Личинки ряда промысловых видов двустворчатых моллюсков в заливе Восток (Японское море) и лагуне Буссе (Охотское море) // V Всесоюз. конф. по пром. беспозв. Минск (Нарочь), 9–13 октября 1990. Тез. докл. М.: ВНИРО. 1990. С. 119–121.
 - Лукин В.И., Фадеев В.И. Особенности планирования гидробиологических работ на акваториях большой протяженности // Подводные гидробиологические исследования. Владивосток: ДВНЦ АН СССР. 1982. С. 13–20.
 - Максимович Н.В. Динамика продукционных свойств литорального поселения Mya arenaria L. (губа Чупа, Белое море) // Вестник ЛГУ. 1989. Сер. 3. Вып. 1. С. 19–24.
 - Масленникова Л.А. Сезонные изменения семенников Mya japonica в заливе Петра Великого (Японское море) // Биол. ресурсы шельфа, их рациональное использование и охрана. Владивосток: ДВНЦ АН СССР. 1981. С. 101–102.
 - Парсонс Т.П., Такахаши М., Харгрейв Б. Биологическая океанография. М.: Легкая и пищевая промышленность. 1982. 432 с.
 - Правила рыболовства для Дальневосточного рыбохозяйственного бассейна. Приложение к Приказу Минсельхоза России от 6 мая 2022 г. № 285. М. https://sudact.ru/law/prikaz-minselkhoza-rossii-ot-06052022-n-285/prilozhenie/.
 - Селин Н.И. Использование фотометода в исследованиях состава и обилия гидробионтов, обитающих на мягких грунтах // Биол. моря. 2011. Т. 37. № 3. С. 222–228.
 - Селин Н.И. Состав и структура смешанных поселений Crenomytilus grayanus (Dunker, 1853) и Modiolus kurilensis (Bernard, 1983) (Bivalvia: Mytilidae) в заливе Петра Великого Японского моря // Биол. моря. 2018. Т. 44. № 5. С. 307–316.
 - Селин Н.И. Пространственное распределение и состав поселений двустворчатого моллюска Tetrarca boucardi (Jousseaume, 1894) (Arcidae) в заливе Восток Японского моря // Биол. моря. 2022. Т. 48. № 2. С. 90–100.
 - Скарлато О.А. Двустворчатые моллюски умеренных широт западной части Тихого океана. Л.: Наука. 1981. 479 с.
 - Скарлато О.А., Голиков А.Н., Василенко С.В. и др. Состав, структура и распределение донных биоценозов в прибрежных водах залива Посьет (Японское море) // Исслед. фауны морей. 1967. Т. 5(13). С. 5–61.
 - Степанов В.В. Характеристика температуры и солености вод залива Восток Японского моря // Биол. исслед. зал. Восток. Владивосток: ДВНЦ АН СССР. 1976. С. 12–22.
 - Тарасов В.Г. Распределение и трофическое районирование сообществ мягких грунтов залива Восток Японского моря // Биол. моря. 1978. № 6. С. 16–22.
 - Baker P.K., Mann R.L. Soft Shell Clam Mya arenaria // VIMS Books and Book Chapters. 1991. № 19. 18 p. https://scholarworks.wm.edu/vimsbooks/19
 - Beal B.F., Otto W. How acidic sediments and seawater affect interactive effects of predation on survival, growth, and recruitment of wild and cultured soft-shell clams, Mya arenaria L., along a tidal gradient at two intertidal sites in eastern Maine // Final rep. SEANET Sustainable Ecol. Aquacult. Network. Univ. of Maine, Machias. 2019. 17 p. + 11 tables; 14 Figs; 6 photos.
 - Brousseau D.J. Analysis of growth rate in Mya arenaria using the Von Bertalanffy equation // Mar. Biol. 1979. V. 51. P. 221–227. Marine Biology 51, 2
 - Coan E.V., Scott P.V., Bernard F.R. Bivalve seashells of wes-tern North America: Marine bivalve mollusks from Arctic Alaska to Baja California. Santa Barbara: Santa Barbara Museum of Natural History. 2000. 766 p.
 - Coan E.V., Valentich-Scott P. Bivalve seashells of tropical West America: Marine bivalve mollusks from Baja Ca-lifornia to Perú. Santa Barbara: Santa Barbara Museum of Natural History. 2012. Part 2. P. 599–1258.
 - Commito J.A. Effects of Lunatia heros predation on the population dynamics of Mya arenaria and Macoma balthica in Maine, USA // Mar. Biol. 1982. V. 69. P. 187–193.
 - Dann A.L., Ellard K., Simon J. et al. Genetic confirmation of Mya japonica Jay, 1857 (Bivalvia: Myidae) in Tasmania, Australia: first record of any species of Mya in the southern hemisphere // BioInvasions Rec. 2020. V. 9. № 1. P. 102–108.
 - Dworschak P.C., Felder D.L., Tudge C.C. Infraorders Axiidea de Saint Laurent, 1979 and Gebiidea de Saint Laurent, 1979 (formerly known collectively as Thalassinidea) // Treatise Zool. – Anat. Tayon. Biol. The Crustacea. Leiden; Boston: Brill. 2012. V. 9. Part B. P. 109–219.
 - Feder H.M., Paul A.J. Age, growth and size-weight relationships of the soft-shell clam, Mya arenaria, in Prince William Sound, Alaska // Proc. Natl. Shellfish Assoc. 1974. V. 64. P. 45–52.
 - Günther C.-P. Settlement of Macoma balthica on an intertidal sandflat in the Wadden Sea // Mar. Ecol.: Prog. Ser. 1991. V. 76. P. 73–79.
 - Günther C.P. Settlement and recruitment of Mya arenaria L in the Wadden Sea // J. Exp. Mar. Biol. Ecol. 1992. V. 159. P. 203–215.
 - Hanks R.W. The soft-shell clam. U.S. Fish Wildl. Serv. 1963. Circ.162. 16 p.
 - Hansen K., King G.M., Kristensen E. Impact of the soft-shell clam Mya arenaria on sulfate reduction in an intertidal sediment // Aquat. Microb. Ecol. 1996. V. 10. P. 181–194.
 - Higo S., Callomon P., Goto Y. Catalogue and bibliography of the marine shell-bearing Mollusca of Japan. Gastropoda, Bivalvia, Polyplacophora, Scaphopoda. Elle Sci. Publ. 1999. 748 p.
 - Kelso W.E. Predation of the soft-shell clams, Mya arenaria, by the common mummichog, Fundulus heteroclitus // Estuaries. 1979. V. 2. № 4. P. 249–254.
 - Lutaenko K.A., Noseworthy R.G. Catalogue of the living Bivalvia of the continental coast of the Sea of Japan (East Sea).Vladivostok: Dalnauka. 2012. 247 p.
 - MacDonald B.A., Thomas M.L.H. Age determination of the soft-shell clam Mya arenaria using shell internal growth lines // Mar. Biol. 1980. V. 58. P. 105–109.
 - MacDonald B.A., Thomas M.L.H. Growth reduction in the soft-shell clam Mya arenaria from a heavily oiled lagoon in Chedabucto Bay, Nova Scotia // Mar. Environ. Res. 1982. V. 6. P. 145–156.
 - Maximovich N.V., Guerassimova A.V. Life history characteristics of the clam Mya arenaria in the White Sea // Helgol. Mar. Res. 2003. V. 57. P. 91–99.
 - Möller P., Rosenberg R. Recruitment, abundance and production of Mya arenaria and Cardium edule in marine shallow waters, Western Sweden // Ophelia. 1983. V. 22. P. 33–35.
 - Möller P., Pihl L., Rosenberg R. Benthic faunal energy flow and biological interaction in some shallow marine soft bottom habitats // Mar. Ecol.: Prog. Ser. 1985. V. 27. P. 109–121.
 - Newcombe C.L. Validity of concentric rings of Mya arenaria, L. for determining age // Nature. 1936. V. 137. P. 191–192.
 - Okutani T. Marine mollusks in Japan. Tokyo: Tokai Univ. Press. 2000. 1174 p.
 - Strasser M., Walensky M., Reise K. Juvenile-adult distribution of the bivalve Mya arenaria in the Wadden Sea: why are there so few year classes? // Helgol. Mar. Res. 1999. V. 53. P. 45–55.
 - Young A.M. Effect of predator exclusion on softshell clam (Mya arenaria L.) recruitment // J. Shellfish Res. 2022. V. 41. № 1. P. 119–124.
 - Zhang J., Yurchenko O.V., Lutaenko K.A. et al. A tale of two soft-shell clams: an integrative taxonomic analysis confirms Mya japonica as a valid species distinct from Mya arenaria (Bivalvia: Myidae) // Zool. J. Linn. Soc. 2018. V. 184. P. 605–622.
 
Supplementary files
				
			
					
						
						
						
						
				





