Фотолюминофоры на основе пористых стекол, соактивированных cu2+ и y3+: синтез и спектральные свойства
- Авторы: Гирсова М.А.1, Головина Г.Ф.1, Анфимова И.Н.1, Куриленко Л.Н.1, Антропова Т.В.1
-
Учреждения:
- Институт химии силикатов имени И. В. Гребенщикова РАН
- Выпуск: Том 50, № 5 (2024)
- Страницы: 374-395
- Раздел: Статьи
- URL: https://journals.rcsi.science/0132-6651/article/view/289202
- DOI: https://doi.org/10.31857/S0132665124050038
- EDN: https://elibrary.ru/NSSHUZ
- ID: 289202
Цитировать
Полный текст
Аннотация
Синтезированы композиционные материалы на основе матриц из высококремнеземных пористых стекол, активированных ионами Cu2+ и Y3+. Изучено влияние состава композитов (концентрация и соотношение введенной меди и иттрия) и температуры их тепловой обработки (в диапазоне 50–870 °С) на их спектральные свойства. При исследовании образцов методами оптической и ИК спектроскопии обнаружены полосы поглощения, связанные с Cu2+ ионами и обусловленные колебаниями Y–O связей в Y2O3. Установлено, что в зависимости от условий синтеза полученные материалы обладают УФ, сине-зеленой и ИК люминесценцией, обусловленной присутствием различных активных центров (дефекты и кислородные вакансии в CuO, Cu2+ ионы, радикалы и F центры в Y2O3, =Si0 центры, E’ центры (O3≡Si·), нейтральные вакансии кислорода (O3≡Si–Si≡O3), немостиковые кислородные дефектные центры в кремнеземной матрице стекла).
Полный текст
Введение.
В настоящее время повышен интерес к получению новых композиционных материалов, пленок, цеолитов, керамик и стекол, содержащих в своем составе одновременно оксиды меди и иттрия [1–9], а также к синтезу оксидов CuO–Y2O3 (без примесей), в том числе CuYO2 [10–16]. Это обусловлено актуальностью использования таких материалов и оксидов в фотокатализе, в диодах с полупроводниковым p-n переходом (p-YCuO/n-Si), в солнечных элементах, тонкопленочных транзисторах, оптоэлектронных устройствах, а также в качестве антибактериальных покрытий и катализаторов, в производстве водорода [2, 4–6, 10, 12, 14, 17].
Известно, что в композиционных материалах, пленках, нанопорошках и нанолистах (nanosheets) возможны два варианта соактивирования оксидов: Y2O3 : CuO и CuO : Y2O3, где основным оксидом может быть как редкоземельный оксид, так и полупроводниковый оксид p-типа соответственно [2, 4, 6, 11, 16]. Соотношение и концентрация вводимых оксидов (Y2O3, CuO, Cu2O) при синтезе чистых нанопорошков и нанолистов, а также при получении многокомпонентных материалов влияют на структуру, спектральные, фотокаталитические, механические и электрические свойства получаемых материалов [1, 2, 4, 6, 8, 11, 16, 18]. Кроме того, на структуру и свойства смешанных оксидов CuO–Y2O3 и материалов, которые их содержат, существенное влияние оказывает режим тепловой обработки [1, 5, 9, 15, 16, 18].
В настоящей работе методами UV-VIS-NIR оптической и люминесцентной спектроскопии проведено исследование композиционных материалов, синтезированных на основе матриц из высококремнеземного пористого стекла, которые были активированы ионами Cu2+ и Y3+, в зависимости от условий их получения (влияние состава материала и режима его тепловой обработки).
Объекты и методы исследования. Объектами исследования являются композиционные материалы (КМ) на основе матриц из высококремнеземного пористого стекла (ПС) 8В-НТ-120, активированные ионами Cu2+ и Y3+. Образцы ПС в форме плоскопараллельных полированных пластин размером (15 × 15 × 1.5) мм3, обладающие средним диаметром пор 3–5 нм, пористостью ~ 30% и составом по анализу, мас. %: 0.30 Na2O, 3.14 B2O3, 0.11 Al2O3, 96.45 SiO2, были изготовлены по методике [19]. Образцы КМ были получены путем пропитки образцов ПС при комнатной температуре в смешанных водно-солевых растворах 0.5–1.00 М Cu(NO3)2·3H2O и 0.3–0.6 М Y(NO3)3·6H2O с последующей сушкой при 50 °С. Массовое соотношение солей в пропитывающих растворах варьировалось следующим образом: 1 : 1, 1 : 2, 2 : 1, в соответствии с чем принято обозначение синтезированных образцов КМ: Cu/Y, Cu/2Y, 2Cu/Y. При приготовлении растворов для синтеза КМ использовали реактивы: 3-водный нитрат меди Cu(NO3)2·3H2O («ч», 98.2%), 6-водный нитрат иттрия Y(NO3)3·6H2O («х.ч.», 99.3%).
Образцы КМ были подвергнуты тепловой обработке в воздушной атмосфере при температуре 650, 800 или 870 °С в течение 15–120 мин. Следует отметить, что при 870–900 °С происходит схлопывание пор в матрицах ПС 8В-НТ-120 и в КМ на их основе в результате вязкого течения в каркасе ПС [20], благодаря чему получаются высокремнеземные (так называемые кварцоидные) стекла (КС-8В-НТ) и монолитные КМ.
Известно, что разложение обводненных азотнокислых солей (термолиз) до образования оксидов происходит по следующим реакциям (1–7) [21–25]:
(1)
(2)
(3)
(4)
(5)
(6)
(7)
Полное разложение Y(NO3)3·6H2O до оксида Y2O3 происходит при 450–600 °С, а Cu(NO3)2·3H2O до CuO – при 400–600 °С [15, 22, 25, 26]. Для формирования чистых фаз смешанных оксидов типа Cu2Y2O5 необходимы более высокие температуры (800–1200 °С) [15].
Содержание меди в образцах КМ было определено методом пламенной фотометрии на атомно-абсорбционном спектрометре iCE 3000 (Thermo Fisher Scientific) (среднее квадратическое отклонение 0.1–0.5%) и составляло 0.61–1.21 мас. % (в пересчете на CuO).
Элементный состав композитов изучен методом энергодисперсионной рентгеновской спектроскопии (ЭДС). Измерены линейные профили концентрации элементов с шагом 20–50 мкм. Измерения проводились на сканирующем электронном микроскопе CamScan MX2500, оборудованном энергодисперсионным спектрометром Link Pentafet (Oxford Instruments, Si(Li) детектор с площадью 10 мм2 и разрешающей способностью 138 eV (для MnKα)). Образцы КМ запрессовывали в полимерные шайбы, полировали и напыляли углеродом. Измерения проводили на плоскопараллельных пластинах толщиной 1.50 ± 0.15 мм.
Исследования пропускания КМ методом ИК спектроскопии были проведены с помощью ИК спектрометра SPECORD M-80 (Carl Zeiss JENA) в области частот 4000–400 см–1 со спектральным разрешением 4 см–1. Измерения проводили при комнатной температуре на образцах в виде таблеток диаметром 13 мм, спрессованных из смеси порошков КМ с KBr. Для изготовления таблеток была использована пресс-форма ПФ-13 в условиях вакуумной откачки (давление в вакуумной системе не более 20 мм рт. ст.). ИК спектры пропускания были измерены несколько раз для каждого образца.
Исследования пропускания КМ методом ближней ИК спектроскопии выполнены с помощью ИК Фурье-спектрометра ФСМ-2211 («ИНФРАСПЕК», Россия) в области частот 11000–4000 см–1 со спектральным разрешением 2 см–1.
Исследования оптической плотности КМ в области длин волн (270–1000) нм проведены на УВИ-спектрофотометре СФ-2000 (ОКБ «Спектр», Россия) (наименьший спектральный разрешаемый интервал 1 нм).
Для исследования синтезированных композитов методом люминесцентной спектроскопии был использован спектрофлуориметр RF 6000 (SHIMADZU Corp., Япония) (источник возбуждения – ксеноновая лампа 150 Вт).
Исследования КМ методами оптической, ближней инфракрасной и люминесцентной спектроскопии проводили на образцах толщиной 1.50 ± 0.15 мм при комнатной температуре.
Результаты и обсуждение
Рисунок 1 демонстрирует результаты исследования синтезированных образцов КМ методом ЭДС в зависимости от их состава (Cu/Y, Cu/2Y, 2Cu/Y) при 870 °С. На рис. 1а, в, д показано распределение компонентов по толщине образцов, на рис. 1б, г, е представлены ЭДС спектры.
Рис. 1. Распределение элементов по толщине образцов (а, в, д) и ЭДС спектры (б, г, е) центральной части образцов КМ, термообработанных при 870 °С, в зависимости от состава КМ: (а, б) Cu/Y, (в, г) 2Cu/Y, (д, е) Cu/2Y.
Следует отметить, что концентрация натрия, алюминия была нулевой, а легкие элементы бор и азот, как известно, методом ЭДС не определяются. Во всех образцах КМ распределение кислорода и кремния являлось почти равномерным по всей толщине образцов. Медь распределена довольно равномерно по толщине образцов КМ (вне зависимости от состава), за исключением поверхностного слоя (~ 90 мкм) из-за краевого эффекта, характерного для пластин ПС. Распределение иттрия является неравномерным по толщине всех КМ, причем периодически отмечаются значения его концентрации, близкие к нулю (табл. 1), что на пределе чувствительности прибора (0.1–0.2 мас. %).
Таблица 1. Элементный анализ образцов КМ (при 870 °С) по данным энергодисперсионной рентгеновской спектроскопии
Образцы КМ | Пределы обнаружения, мас. % (среднее значение, мас. %) | |||
Si | O | Cu | Y | |
Cu/Y | 44.47–46.40 (45.04 ± 0.30) | 51.27–52.86 (51.79 ± 0.38) | 0.00–1.21 (0.95 ± 0.14) | 0.00–1.38 (0.86 ± 0.37) |
2Cu/Y | 44.28–45.78 (44.88 ± 0.29) | 50.94–52.16 (51.47 ± 0.37) | 0.00–1.27 (0.94 ± 0.14) | 0.00–1.23 (0.38 ± 0.36) |
Cu/2Y | 43.18–45.06 (43.91 ± 0.28) | 49.88–51.32 (50.52 ± 0.37) | 0.00–0.87 (0.60 ± 0.12) | 0.00–1.87 (1.24 ± 0.38) |
На ЭДС спектрах центральной части образцов КМ обнаружены пики, соответствующие основным компонентам (сильные пики – Si, O), слабые и сильные пики меди в интервале энергий ~ 0.5–1.0 и 8.0–9.0 кэВ, слабые и сильные пики иттрия – ~ 1.5–2.0 и ~ 15.0–17.0 кэВ, что согласуется с данными [2, 11, 27].
В табл. 1 представлены сводные данные элементного анализа образцов КМ по данным ЭДС. Указаны пределы обнаружения и средние значения концентраций элементов с указанием погрешности определения концентрации каждого элемента (в мас. %).
Ранее в работе [28] было установлено, что в образцах КМ Cu/Y (при 650 °С) распределение меди по толщине образцов было достаточно равномерным (среднее значение: 1.00 ± 0.12 мас. %), за исключением поверхностного слоя (~ 50 мкм), а распределение иттрия – неравномерным (среднее значение: 0.69 ± 0.37 мас. %). Установлено, что с повышением температуры тепловой обработки распределение иттрия и меди по толщине образцов не изменяется, а концентрация изменяется в пределах погрешности.
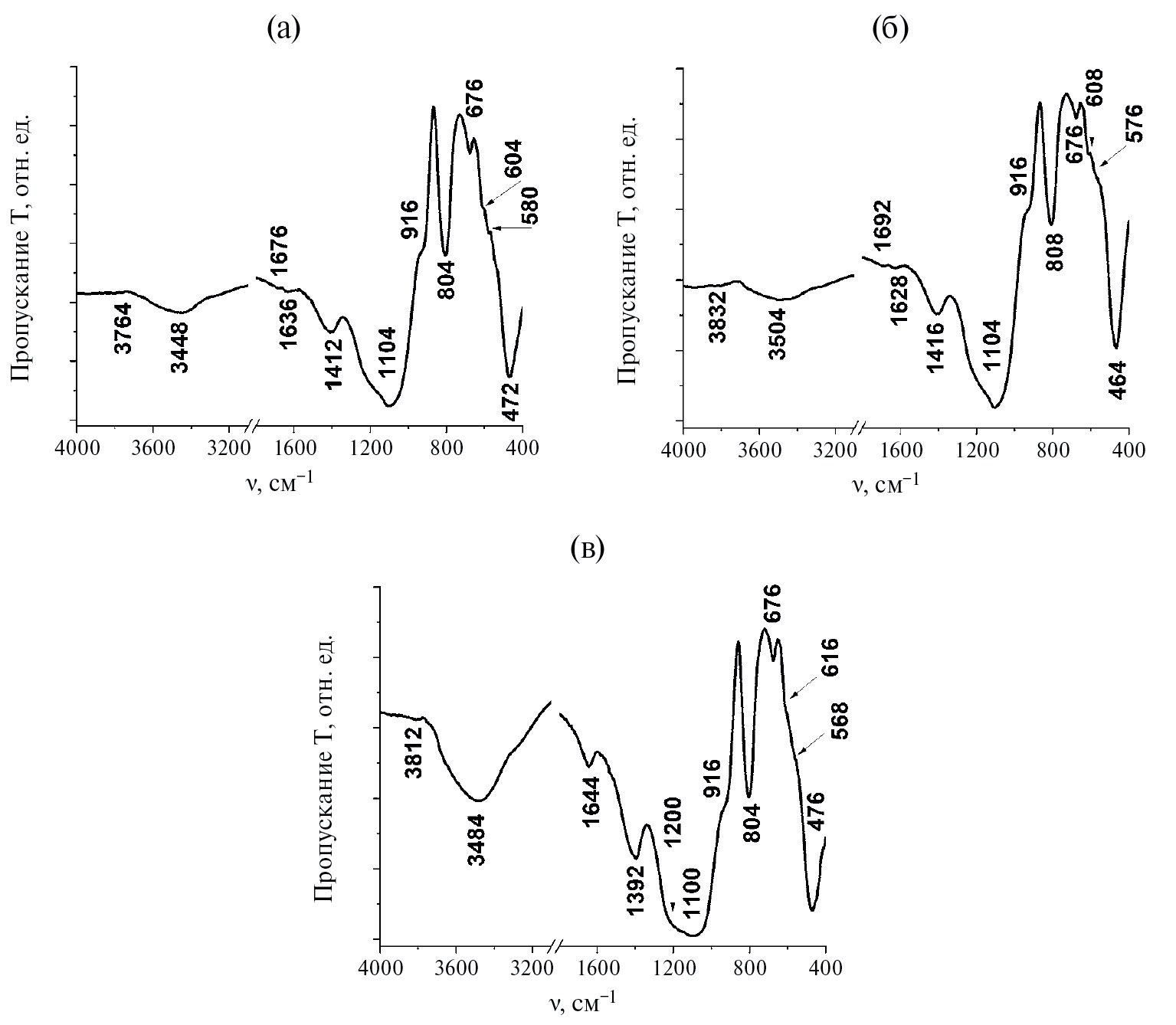
На рис. 2 и 3 представлены ИК-спектры пропускания КМ в области частот 4000–400 см–1 в зависимости от их состава и температуры тепловой обработки Тт.о., равной 650 °С или 870 °С. Предварительные данные для КМ Cu/Y (Тт.о. = 650 °С), полученные методом ИК-спектроскопии в области частот 1000–400 см–1, опубликованы в [28]. На рис. 2а представлены уточненные данные в более широком диапазоне частот.
Рис. 2. ИК-спектры пропускания (4000–400 см–1) КМ, термообработанных при 650 °С, в зависимости от состава КМ: (а) Cu/Y, (б) 2Cu/Y, (в) Cu/2Y.
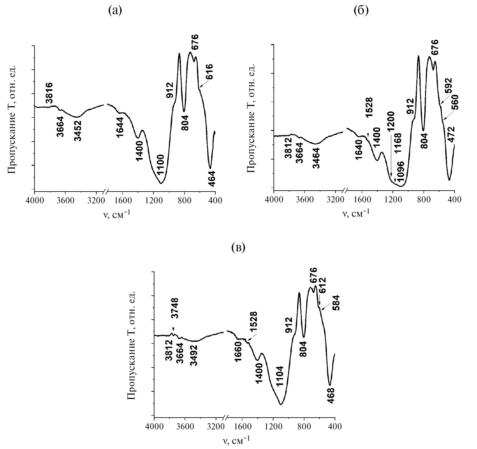
Рис. 3. ИК-спектры пропускания (4000–400 см–1) КМ, термообработанных при 870 °С, в зависимости от состава КМ: (а) Cu/Y, (б) 2Cu/Y, (в) Cu/2Y.
На ИК-спектрах КМ, подвергнутых тепловой обработке при 650 °С, вне зависимости от их состава обнаружены полосы поглощения в областях частот: 1644–1628, 1416–1392, 1104–1100, 916, 808–804, 676, 616–604, 580–568, 476–464 см–1. Выявлены дополнительные полосы при 3832, 3812, 3764, 3504, 3484, 3448 см–1, которые наблюдаются у всех КМ при 650 °С, но с большим смещением полос относительно более низких частот: 1644–1628, 1416–1392, 616–604, 580–568, 476–464 см–1. Дополнительные полосы слабой интенсивности при 1692 и 1676 см–1 идентифицированы у КМ 2Cu/Y и КМ Cu/Y соответственно, то есть у образцов с одинаковым содержанием меди, но вариацией концентрации иттрия (в 2 раза). Дополнительная сильная полоса при 1200 см–1 наблюдается у КМ Cu/2Y с более высоким содержанием иттрия и меньшей концентрацией меди. Следует отметить, что с увеличением концентрации иттрия в КМ (при одинаковом содержании меди) в большинстве случаев смещение полос поглощения происходит в сторону более низкой области частот (кроме 1636–1628, 580–576, 472–464 см–1). Аналогичный характер смещения поглощения наблюдается у КМ с повышением содержания меди (кроме 1412–1392, 580–568 см–1).
С повышением температуры тепловой обработки КМ (870 °С, вне зависимости от состава КМ) на ИК-спектрах видны полосы поглощения при: 3816–3812, 3664, 1400, 1104–1096, 912, 804, 676, 472–464 см–1. Выявлены дополнительные полосы при 3492, 3464, 3452, 1660, 1644–1640 см–1, которые наблюдаются у всех КМ при 870 °С, но с большим смещением полос. Дополнительные полосы слабой интенсивности при 3748 и 1528 см–1 идентифицированы у КМ Cu/2Y и у КМ 2Cu/Y, КМ Cu/2Y соответственно. Дополнительные сильные полосы при 1200, 1168 см–1 видны у КМ 2Cu/Y. Снижение концентрации меди в образцах КМ приводит к расщеплению одной полосы при 616 см–1, которая обнаружена у КМ Cu/Y, на две полосы: 612 и 584 см–1 у КМ Cu/2Y. С понижением концентрации иттрия в указанной выше области частот появляются две новые полосы поглощения при 592 и 560 см–1 у КМ 2Cu/Y.
Перейдем к описанию обнаруженных полос поглощения в области частот 4000–400 см–1. Отметим, что в области частот 3100–1800 см–1 полосы, характерные для структурных единиц кремнекислородного каркаса ПС-матриц и введенных оксидов меди и иттрия, не наблюдаются.
Полосы слабой интенсивности в области частот 3832–3812 см–1 могут быть обусловлены сочетанием симметричных валентных колебаний OH групп νs(OH) и деформации кручения (torsion) OH в SiOH группах γ(SiOH), а также могут быть связаны с поглощением молекулярной воды [29]. Полосы при 3764, 3748 и 3664 см–1 следует отнести к колебанию SiOH групп [30]. Полосы в области частот 3504–3448 см–1, скорее всего, следует связать с валентными колебаниями молекулярной воды ν(H2O) [29–31]. Полосы в области частот 1692–1628 см–1, возможно, обусловлены деформационными колебаниями молекулярной воды δ(H2O) и деформационными колебаниями SiOH групп δ(Si–O–H) [29, 31, 32]. Перегибы на кривых при 1528 см–1 могут быть связаны с колебанием SiOH и Si–O– групп [32, 33]. Сильные полосы в области частот 1416–1392 см–1 можно отнести к Si–O– группам, к валентным колебаниям бороксольных колец, к валентным колебаниям B–O связей ν(B–O) [30, 31, 33, 34]. Широкие полосы поглощения в области частот 1200–1096 см–1 и узкие полосы при 1104–1100 см–1, скорее всего, вызваны асимметричными валентными колебаниями Si–O–Si связей νas(Si–O–Si) [33]. Перегибы на кривых при 916 и 912 см–1 могут соответствовать валентным колебаниям B–O–Si связей ν(B–O–Si) и валентным колебаниям Y–O–Y связей ν(Y–O–Y) [30, 35]. Узкие сильные полосы при 808–804 см–1, возможно, связаны с валентными колебаниями Si–O–Si связей ν(Si–O–Si) между тетраэдрами, с колебаниями Y–O [30, 36]. Полоса при 676 см–1, скорее всего, относиться к валентным колебаниям B–O–Si связей ν(B–O–Si), к немостиковым колебаниям кислорода Si–O и к колебаниям, связанным с дефектами в виде нейтральных вакансий кислорода, ≡Si–Si≡ [30, 31, 37]. Перегибы на кривых в области частот 616–604 см–1 могут быть связаны с присутствием CuO, с валентными колебаниями Cu–O связей ν(Cu–O), с валентными колебаниями Y–O связей ν(Y–O) в Y2O3 и с симметричными валентными колебаниями Si–O–Si связей νs (Si–O–Si) [38–42]. Перегибы на кривых при 592, 584–576, 568, 560 см–1, скорее всего, соответствуют валентным колебаниям Y–O связей ν(Y–O) в Y2O3 и валентным колебаниям Cu–O связей ν(Cu–O), а также являются характерными для наночастиц CuO [35, 36, 43–47]. Сильные полосы в области частот 476–464 см–1 могут быть вызваны наличием наночастиц CuO, а также, возможно, связаны с валентными колебаниями Cu–O связей ν(Cu–O), с деформационными колебаниями Y–O δ(Y–O) связей в Y2O3, с деформационными колебаниями Si–O–Si связей δ(Si–O–Si), O–Si–O связей δ(O–Si–O) и Si–O связей δ(Si–O) [30, 31, 35, 36, 41, 42, 44, 46–48].
Все обнаруженные у композитов ИК спектральные полосы с их отнесением сведены в табл. 2.
Таблица 2. Положение полос поглощения (в диапазоне 4000–400 см–1), обнаруженных у композиционных материалов, и их отнесение
Полосы, см–1 | Отнесение |
3832–3812 (сл) | Колебания νs(OH), γ(SiOH), поглощение молекулярной воды |
3764–3664 (сл) | Колебания SiOH групп |
3504–3448 (С) | Колебания ν(H2O) |
1692–1628 (С, сл) | Колебания δ(H2O) и δ(Si–O–H) |
1528 (сл) | Колебания SiOH и Si–O– групп |
1416–1392 (С) | Колебания Si–O– групп, ν(B–O) связей, валентные колебания бороксольных колец |
1200–1096 (С) | Колебания νas(Si–O–Si) связей |
916–912 (сл) | Колебания ν(B–O–Si), ν(Y–O–Y) связей |
808–804 (С) | Колебания Y–O, ν(Si–O–Si) между тетраэдрами |
676 (С) | Колебания ν(B–O–Si) связей, Si–O, ≡Si-Si≡ |
616–604 (сл) | Колебания ν(Cu–O), ν(Y–O) в Y2O3, νs(Si–O–Si), наличие CuO |
592–560 (сл) | Колебания ν(Cu–O), ν(Y–O) в Y2O3, наличие наночастиц CuO |
476–464 (С) | Колебания ν(Cu–O), δ(Y–O) в Y2O3, наличие наночастиц CuO, δ(Si–O–Si), δ(O–Si–O), δ(Si–O) |
Примечание. Условные обозначения качественных характеристик полос: С – сильная, сл – слабая.
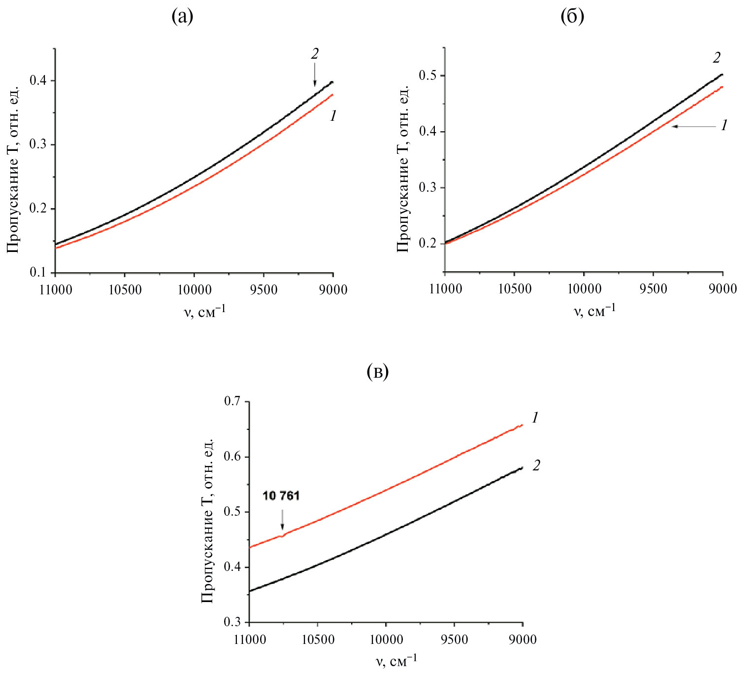
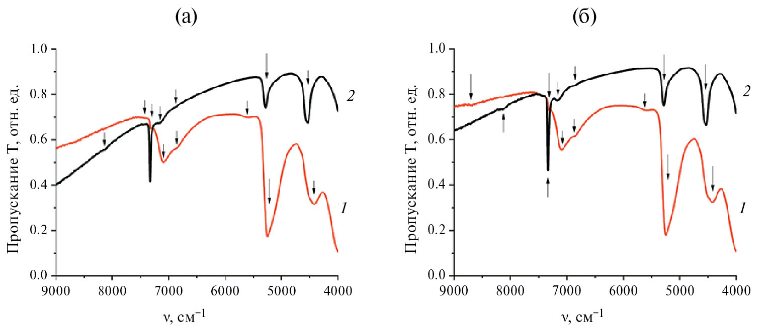
На рис. 4–7 представлены ИК спектры пропускания КМ в зависимости от состава (Cu/Y, 2Cu/Y, Cu/2Y) и режима тепловой обработки (50, 650, 800, 870 °С) в двух спектральных областях частот: 11000–9000 и 9000–4000 см–1. Ранее данные для КМ Cu/Y (при 50 и 650 °С) в области частот 11000–4000 см–1, были опубликованы в [28]. Сводные данные (положение полос поглощения) представлены в табл. 3.
Рис. 4. ИК спектры пропускания (9000–4000 см–1) КМ, термообработанных при 50 °С (1) и 650 °С (2), в зависимости от состава КМ: (а) 2Cu/Y, (б) Cu/2Y.
Рис. 5. ИК-спектры пропускания (9000–4000 см–1) КМ, термообработанных при 800 °С (1) и 870 °С (2), в зависимости от состава КМ: (а) Cu/Y, (б) 2Cu/Y, (в) Cu/2Y.
Рис. 6. ИК-спектры пропускания (11000–4000 см–1) КМ, термообработанных при 50 °С (1) и 650 °С (2), в зависимости от состава КМ: (а) 2Cu/Y, (б) Cu/2Y.
Рис. 7. ИК-спектры пропускания (11000–4000 см–1) КМ, термообработанных при 800 °С (1) и 870 °С (2), в зависимости от состава КМ: (а) Cu/Y, (б) 2Cu/Y, (в) Cu/2Y.
Таблица 3. Положение полос поглощения (в диапазоне 11000–9000 см–1), обнаруженных у композиционных материалов
Состав КМ (температура тепловой обработки, °С) | |||||||||||
Cu/Y (50) по данным [28] | Cu/Y (650) по данным [28] | Cu/Y (800) | Cu/Y (870) | 2Cu/Y (50) | 2Cu/Y (650) | 2Cu/Y (800) | 2Cu/Y (870) | Cu/2Y (50) | Cu/2Y (650) | Cu/2Y (800) | Cu/2Y (870) |
Положение полос поглощения, см–1 (интенсивность полос, отн. ед.) | |||||||||||
10757 (0.20) | 10759 (0.19) | 10756 (0.44) | 10761 (0.46) | ||||||||
8679 (0.75) | |||||||||||
8131 (0.54) | 8136 (0.56) | 8137 (0.73) | |||||||||
7447 (0.70) | 7443 (0.65) | 7419 (0.70) | 7456 (0.67) | ||||||||
7320 (0.65) | 7332 (0.38) | 7334 (0.62) | 7335 (0.69) | 7319 (0.65) | 7333 (0.42) | 7333 (0.70) | 7336 (0.76) | 7318 (0.73) | 7332 (0.47) | 7334 (0.65) | 7333 (0.76) |
7239 (0.68) | 7214 (0.69) | 7236 (0.74) | 7227 (0.75) | 7244 (0.80) | |||||||
7087 (0.51) | 7155 (0.67) | 7178 (0.68) | 7170 (0.69) | 7094 (0.50) | 7152 (0.67) | 7187 (0.74) | 7143 (0.75) | 7093 (0.56) | 7167 (0.77) | 7153 (0.80) | 7161 (0.76) |
6850 (0.58) | 6837 (0.57) | 6850 (0.75) | 6845 (0.62) | 6855 (0.84) | |||||||
5583 (0.71) | 5608 (0.70) | 5593 (0.73) | |||||||||
5243 (0.19) | 5281 (0.78) | 5282 (0.79) | 5276 (0.79) | 5248 (0.17) | 5283 (0.74) | 5282 (0.81) | 5273 (0.79) | 5249 (0.18) | 5284 (0.75) | 5285 (0.80) | 5277 (0.81) |
5070 (0.88) | 5034 (0.87) | 5062 (0.90) | 5055 (0.87) | 5080 (0.90) | 5055 (0.87) | ||||||
4665 (0.87) | 4663 (0.87) | 4670 (0.86) | |||||||||
4537 (0.65) | 4533 (0.81) | 4527 (0.84) | 4535 (0.68) | 4533 (0.84) | 4525 (0.85) | 4533 (0.67) | 4534 (0.78) | 4530 (0.82) | |||
4423 (0.32) | 4445 (0.85) | 4421 (0.32) | 4425 (0.32) | ||||||||
4182 (0.85) | 4187 (0.85) | 4184 (0.84) | |||||||||
Перейдем к описанию обнаруженных полос поглощения в области частот 11000–4000 см–1.
Полосы поглощения в областях частот 7336–7318, 7187–7087, 5285–5243 см–1 обнаружены на ИК спектрах всех синтезированных КМ вне зависимости от их состава и температуры тепловой обработки. Полосы при 7336–7318 см–1 (~ 1363–1367 нм), скорее всего, связаны с валентными колебаниями Si–OH групп ν(Si–OH) и обертоном свободных OH групп 2ν(OH) [29, 49, 50]. Полосы при 7187–7087 см–1 (~ 1391–1411 нм) следует отнести к обертону валентных колебаний OH групп молекул адсорбированной воды 2ν(OH) и к валентным колебаниям Si–OH групп ν(Si–OH) [29, 49, 51]. Полосы при 5285–5243 см–1 (~ 1892–1907 нм) можно приписать сочетанию деформационных и валентных колебаний воды (δ + ν)H2O и гидроксильных групп (δ + ν)OH [29, 32, 49–51].
Полосы слабой интенсивности при 10761–10756 см–1 (~ 929–930 нм), которые были установлены только для КМ, подвергнутых тепловой обработке при 650 °С (вне зависимости от состава), и для КМ Cu/2Y (Тт.о. = 800 °С) могут быть вызваны вторым обертоном валентных колебаний свободных групп OH 3ν(OHСВ) и октаэдрической координацией Cu2+ ионов с сильным тетрагональным искажением (электронный переход 2B2g → 2B1g) [52, 53]. Слабая дополнительная полоса поглощения при 8679 см–1 (~ 1152 нм), обнаруженная у КМ Cu/2Y при 50 °С, возможно, относится к сочетанию обертонов валентных колебаний OH групп и SiO4 тетраэров (2ν3 OH + 2ν1 SiO4) [52]. Слабые полосы при 8137–8131 см–1 (~ 1229–1230 нм), выявленные у КМ при 650 °С (вне зависимости от состава), скорее всего, связаны с сочетанием обертонов валентных колебаний OH групп и SiO4 тетраэров (2ν3 OH + ν1 SiO4), а также с Cu2+ ионами (электронный переход 2A1g → 2B1g) [52, 53]. Дополнительные полосы слабой интенсивности в области частот 7456–7419 см–1 (~ 1341–1348 нм), наблюдаемые у КМ Cu/Y и 2Cu/Y (при 50 и 650 °С), возможно, соответствуют обертонам валентного колебания OH групп (2ν3 OH) [52]. Помимо этого, слабые полосы при 7244–7214 см–1 (~ 1380–1386 нм), обнаруженные у всех КМ при 800 °С, а также у КМ Cu/Y и КМ 2Cu/Y при 870 °С, могут быть обусловлены обертонами валентного колебания OH групп (2ν3 OH) и валентными колебаниями B–OH групп (ν(BIII–OH)), где бор находится в тройной координации [29, 52, 54]. Полосы при 6855–6837 см–1 (~ 1459–1463 нм), наблюдаемые у всех КМ при 50 °С, а также у КМ 2Cu/Y и КМ Cu/2Y (Тт.о. = 650 °С), следует отнести к поглощению гидроксильных групп 2ν(OH) и сочетанию деформационных и валентных колебаний воды (δ + ν) H2O [29, 49]. У высушенных образцов КМ при 50 °С (вне зависимости от состава) обнаружены слабые полосы при 5608– 5583 см–1 (~ 1783–1791 нм), которые, скорее всего, соответствуют сочетанию деформационных и валентных колебаний воды (δ + ν) H2O [29]. Появление дополнительных полос при 5080–5034 см–1 (~ 1969–1987 нм), которые в виде перегибов на кривых обнаружены у всех КМ при Тт.о. = 800 и 870 °С (вне зависимости от состава), может быть приписано молекулам воды, координационно связанным с примесными атомами бора, и сочетанию валентных и деформационных колебаний воды (δ + ν) H2O [29, 54]. Для КМ при 870 °С (вне зависимости от состава) характерно наличие полос при 4670–4663 см–1 (~ 2141–2145 нм), которые, возможно, обусловлены сочетанием валентных колебаний гидроксильных групп и Si–O–Si связей (ν(OH) + ν3(Si–O–Si)), а также колебаниями B–OH групп, где бор находится в тройной координации ν(BIII–OH) [49, 55, 56]. В результате тепловой обработки КМ при 650–870 °С (вне зависимости от состава) появляются дополнительные узкие полосы поглощения в низкочастотной области при 4537–4525 см–1 (~ 2204–2210 нм), которые можно связать с сочетанием валентных колебаний OH групп и деформационных колебаний Si–OH групп (ν(OH) + δ(Si–OH)), а также с валентными колебаниями Na–OH групп ν(Na–OH) [29, 49, 50, 57]. Полосы поглощения при 4425–4421 см–1 (~ 2260–2262 нм), которые видны у высушенных КМ при 50 °С (вне зависимости от состава), а также слабый перегиб на кривой при 4445 см–1 (~ 2250 нм) у КМ Cu/Y (при 870 °С) следует отнести к сочетанию валентных колебаний OH групп и деформационных колебаний Si–OH групп (ν(OH) + δ(Si–OH)) [49]. Перегибы на кривых при 4187–4182 см–1 (~ 2388–2391 нм), которые появляются только у КМ, подвергнутых тепловой обработке при 870°С, возможно, обусловлены валентными колебаниями OH групп (ν(OH)) [55].
Следует отметить, что на появление дополнительных полос поглощения и изменения их положения в области частот 11000–4000 см–1 больше влияет режим тепловой обработки КМ, чем их состав.
Все обнаруженные у композитов ИК полосы с их отнесением сведены в табл. 4.
Таблица 4. Положение полос поглощения (в диапазоне 11000–9000 см–1), обнаруженных у композиционных материалов, и их отнесение
Полосы, см–1 | Отнесение |
10761–10756 (сл) | Колебания 3ν(OHСВ) и Cu2+ ионов (электронный переход 2B2g → 2B1g) |
8679 (сл) | Колебания 2ν3 OH групп + 2ν1 SiO4 тетраэров |
8137–8131 (сл) | Колебания 2ν3 OH групп + ν1 SiO4 тетраэров, Cu2+ ионов (электронный переход 2A1g → 2B1g) |
7456–7419 (сл) | Колебания 2ν3 OH групп |
7336–7318 (С, сл) | Колебания ν(Si–OH) и 2ν(OH) |
7244–7214 (сл) | Колебания 2ν3 OH групп и ν(BIII–OH) групп |
7187–7087 (С, сл) | Колебания ν(Si–OH) и 2ν(OH) |
6855–6837 (сл) | Колебания 2ν(OH) групп и (δ + ν) H2O |
5608–5583 (сл) | Колебания (δ + ν) H2O |
5285–5243 (С) | Колебания (δ + ν) H2O и (δ + ν) OH |
5080–5034 (сл) | Колебания (δ + ν) H2O и молекул воды, координационно связанных с примесными атомами бора |
4670–4663 (сл) | Колебания ν(OH) + ν3(Si–O–Si), ν(BIII–OH) групп |
4537–4525 (С) | Колебания ν(OH) + δ(Si–OH)) групп, ν(Na–OH) групп |
4445, 4425–4421 (С) | Колебания ν(OH) + δ(Si–OH) групп |
4187–4182 (сл) | Колебания ν(OH) |
Примечание. Условные обозначения качественных характеристик полос: С – сильная, сл – слабая.
На рис. 8 представлены спектры оптической плотности КМ в зависимости от их состава и режима тепловой обработки в спектральном диапазоне 270–1000 нм. Данные для КМ Cu/Y (Тт.о. = 650 °С) в диапазоне 380–900 нм опубликованы в [28].
Рис. 8. Спектры оптической плотности КМ в зависимости от их состава: (а) Cu/Y, (б) 2Cu/Y, (в) Cu/2Y и режима тепловой обработки: 1 – 50, 2 – 650, 3 – 800, 4 – 870 °С.
Для всех синтезированных КМ вне зависимости от их состава и режима тепловой обработки видны широкие полосы поглощения с максимумами при 745–799 нм. Следует отметить, что с повышением температуры тепловой обработки КМ возрастает интенсивность указанных полос поглощения. Этого не наблюдается у КМ Cu/Y и 2Cu/Y при Тт.о. = 870 °С по сравнению с тепловой обработкой при 800 °С, что может быть связано с большей концентрацией меди в образцах. Помимо этого, температура тепловой обработки КМ в ряду (50 → 650 → 800 → 870 °С) оказывает влияние на смещение максимума полосы поглощения: для КМ Cu/Y с повышением температуры в указанном ряду максимум смещается следующим образом: 790 → 767 → 776 → 769 нм, для КМ 2Cu/Y: 792 → 769 → 745 → 774 нм, для КМ Cu/2Y: 799 → 785 → 755 → 783 нм.
Для КМ Cu/Y (вне зависимости от режима тепловой обработки) обнаружен край широкой полосы поглощения в УФ диапазоне спектра при 270–320 нм, интенсивность которой снижается с повышением Тт.о., за исключением 800 °С. У КМ Cu/Y при Тт.о. = 650 °С виден слабый максимум при 282 нм, а при 800 °С – при 307 нм. Помимо этого, для КМ Cu/Y при Тт.о. = 650 °С обнаружены дополнительные УФ полосы поглощения при 342 и 354 нм, а при дальнейшем повышении Тт.о. = 800 °С и 870 °С видны полосы с максимумами при 341, 363, 376 нм и 343, 357, 367 нм соответственно.
На спектрах КМ 2Cu/Y (вне зависимости от режима тепловой обработки) также обнаружен край широкой полосы поглощения в УФ диапазоне спектра при 270–320 нм, интенсивность которой изменяется с ростом температуры тепловой обработки. Видны слабо выраженные максимумы при 289 и 308 нм (при Тт.о. = 800 °С), а также при 283 и 308 нм (при Тт.о. = 870 °С). Помимо этого, для КМ 2Cu/Y установлены дополнительные УФ полосы поглощения при 341, 355 нм (при 650 °С); при 341, 363, 376 нм (при 800 °С) и при 340, 356, 363 нм (при 870 °С).
На спектрах КМ Cu/2Y (вне зависимости от режима тепловой обработки) также обнаружен край широкой полосы поглощения в УФ диапазоне спектра при 270–320 нм, интенсивность которой изменяется с ростом температуры тепловой обработки. Видны слабые максимумы при 284 нм (при Тт.о. = 650 °С), при 313 нм (при Тт.о. = 800 °С), при 283 и 313 нм (при Тт.о. = 870 °С). При Тт.о. = 870 °С обнаружены дополнительные УФ полосы поглощения при 340 и 355 нм. В видимом диапазоне спектра видна слабая полоса при 398 нм у высушенных КМ Cu/2Y.
Перейдем к описанию обнаруженных полос поглощения.
Полосы с максимумами при 745–799 нм (~ 13 423–12 516 см–1) следует связывать с Cu2+ ионами (электронный переход 2Eg → 2B1g) [53, 58]. Полосы в УФ диапазоне спектра (широкая полоса при 270–320 нм, включая слабые максимумы при 282, 283, 284, 289, 307, 308, 313 нм) могут быть обусловлены переносом заряда , а также присутствием Y2O3 [59, 60]. Дополнительные УФ полосы поглощения при 340–376 нм и слабая полоса при 398 нм, скорее всего, связаны с присутствием наночастиц CuO и переносом заряда «лиганд – металл» (LMCT) между изолированным ионом Cu2+ и поверхностным кислородом ( ) [43].
На рис. 9 представлены спектры люминесценции в диапазоне 210–900 нм (при λвозб = 200 нм) образцов КМ Cu/Y, 2Cu/Y, Cu/2Y (на примере тепловой обработки при 870 °С).
Рис. 9. Спектры люминесценции КМ (при λвозб = 200 нм), термообработанных при 870 °С, в зависимости от их состава: (а) Cu/Y, (б) 2Cu/Y, (в) Cu/2Y.
Обнаружена серия узких полос УФ-люминесценции в области 210–300 нм с основными максимумами при λлюм = 227–250 нм, которая, возможно, связана с кремниевыми кислородно-дефицитными центрами SiODC (электронный переход ) [61, 62]. Сине-зеленая люминесценция в области 410–560 нм с серией узких линий с главными максимумами при λлюм = 493–516 нм, скорее всего, относится к F центрам и к радикалам в Y2O3, к дефектам и кислородным вакансиям в CuO, к Cu2+ ионам, к =Si0 центрами (электронный переход ), к нейтральными вакансиями кислорода O3≡Si–Si≡O3 (the neutral oxygen vacancy, NOV), к E’ центрам (O3≡Si·) [18, 27, 61, 63–68]. Полосы ИК-люминесценции в области 830–900 нм с главными максимумами при λлюм = 847–885 нм, следует приписать радикалам в оксиде иттрия, а также с немостиковыми кислородными дефектами в кремнеземной марице (nonbridging oxygen defects, NBO) [65, 69].
Следует отметить, что восстановления Cu2+ до Cu+ ионов (CuO → Cu2O) в КМ, скорее всего, не происходит, поскольку для этого необходимы более высокие температуры тепловой обработки КМ (выше 1000 °С) [70, 71].
Видно, что с повышением концентрации иттрия в КМ наблюдается увеличение интенсивности УФ-люминесценции (210–300 нм) и ИК-люминесценции (830–900 нм), а интенсивность сине-зеленой люминесценции (410–560 нм) остается неизменной.
Заключение
В работе синтезированы композиционные материалы на основе матриц из пористых стекол, активированных ионами меди и иттрия.
Проведено исследование спектральных свойств синтезированных стекломатериалов в зависимости от их состава (Cu/Y, 2Cu/Y, Cu/2Y) и температуры тепловой обработки Тт.о. в интервале 50–870 °С.
Обнаружено, что синтезированные композиты, соактивированные Cu2+ и Y3+, обладают фотолюминесценцией в широком спектральном диапазоне (210–900 нм), благодаря чему представляют собой новые перспективные стеклообразные фотолюминофоры.
Установлено, что с увеличением концентрации иттрия в синтезированных композитах при Тт.о. = 870 °C интенсивность ультрафиолетовой (210–300 нм) и инфракрасной люминесценции (830–900 нм) увеличивается.
Благодарность
Авторы признательны А. В. Антонову (Всероссийский научно-исследовательский геологический институт им. А.П. Карпинского, Санкт-Петербург) за исследования композиционных материалов методом энергодисперсионной рентгеновской спектроскопии.
Финансирование работы
Работа выполнена в рамках государственного задания ИХС РАН (Государственная регистрация № 1021050501068-5-1.4.3 (проект FFEM-2022-0004) и № 1023032900385-8-1.4.3 (Тематика 3: «Физико-химия и технология ликвирующих щелочноборосиликатных стекол, легированных переходными металлами, и новых полифункциональнальных пористых и нанокомпозитных стекломатериалов на их основе»)).
Конфликт интересов
Авторы заявляют, что у них нет конфликта интересов.
Об авторах
М. А. Гирсова
Институт химии силикатов имени И. В. Гребенщикова РАН
Автор, ответственный за переписку.
Email: girsovama@yandex.ru
Россия, Санкт-Петербург
Г. Ф. Головина
Институт химии силикатов имени И. В. Гребенщикова РАН
Email: girsovama@yandex.ru
Россия, Санкт-Петербург
И. Н. Анфимова
Институт химии силикатов имени И. В. Гребенщикова РАН
Email: girsovama@yandex.ru
Россия, Санкт-Петербург
Л. Н. Куриленко
Институт химии силикатов имени И. В. Гребенщикова РАН
Email: girsovama@yandex.ru
Россия, Санкт-Петербург
Т. В. Антропова
Институт химии силикатов имени И. В. Гребенщикова РАН
Email: girsovama@yandex.ru
Россия, Санкт-Петербург
Список литературы
- Xiao Z., Geng H., Sun C., Jia P., Luo H. Effect of yttrium on properties of copper prepared by powder metallurgy // Advanced Powder Technology. 2015. V. 26. N 4. P. 1079–1086.
- El-Sayed F., Ganesh V., Hussien M.S.A., AlAbdulaal T.H., Zahran H.Y., Yahia I.S., Abdel-wahab M.Sh., Shakir M., Bitla Y. Facile synthesis of Y2O3/CuO nanocomposites for photodegradation of dyes/mixed dyes under UV- and visible light irradiation // Journal of Materials Research and Technology. 2022. V. 19. P. 4867–4880.
- Ma B., Ding H., Jiang F., Hishinuma Y., Luo L., Zhang Y., Wang J., Sheng X., Noto H., Liu J., Shi J., Muroga T., Wu Y. Effect of process control agent on the synthesis of Cu-Y2O3 by mechanical alloying // Nuclear Materials and Energy. 2024. V. 38, article 101599, pp. 1–6.
- Jhansi N., Balasubramanian D., Raman R., Jayavel R. Impact of yttrium on structural, optical and electrical behavior of CuO thin film prepared by JN spray pyrolysis technique for diode application // J. Mater. Sci.: Mater. Electron. 2022. V. 33. P. 22785–22797
- Wang Y.-P., Chiu T.-W., Chang C.-H., Xuan C., Cheng G.J. Transparent and antibacterial Cu2Y2O5 thin films by chemical solution deposition // Thin Solid Films. 2014. V. 570. P. 547–551.
- Baig S., Kumar P., Ngai J., Li Y., Ahmed S. Yttrium Doped Copper (II) Oxide Hole Transport Material as Efficient Thin Film Transistor // ChemPhysChem. 2020. V. 21. N 9. P. 895–907.
- Kang N., Wang Y., Chen Z.W., Tang X., Wang Y., Ding Z., Zhang C., Dai S., Singh C.V., Xie P., Yan M. Understanding enhancement of strong Copper-Yttrium interactions on catalytic properties of Cu/Y-SSZ-13 for NH3-SCR // Chemical Engineering Journal. 2023. V. 475, article 146114, pp. 1–9.
- Wang Y., Cheng L., Zhu M., Zhao J., Hou Y. Investigation on microstructure and electrical properties of CuAl1–xYxO2 ceramics by electrical impedance spectroscopy // Journal of Alloys and Compounds. 2016. V. 654. P. 455–459.
- Kai W., Ho T.H., Jen I.F., Lee P.Y., Yang Y.M., Chin T.S. Oxidation behavior of the (Cu78Y22)98Al2 bulk metallic glass containing Cu5Y-particle composite at 400–600 °C // Intermetallics. 2008. V. 16. N 5. P. 629–635.
- Shen Q, Cai Z, Shao Z, Yang G, Li S. Improved performance of bimetallic oxides CuO–Y2O3 synthesized by sol–gel for methanol steam reforming // J. Am. Ceram. Soc. 2022. V. 105. P. 6839–6850.
- Marappa B., Pattar V., Rudresha M.S. Investigations of structural, optical and electrical properties of Cu2+ doped Y2O3 nanosheets // Chemical Physics Letters. 2019. Vol. 728. P. 67–61.
- Hadjab M., Guskova O., Bennacer H., Ziane M.I., Larbi A.H., Saeed M.A. Ground-state properties of p-type delafossite transparent conducting oxides 2H-CuMO2 (M=Al, Sc and Y): DFT calculations // Materials Today Communications. 2022. V. 32, article 103995, pp. 1–10.
- Carro G., Muñoz A., Monge M.A., Savoini B., Pareja R., Ballesteros C., Adeva P. Fabrication and characterization of Y2O3 dispersion strengthened copper alloys // Journal of Nuclear Materials. 2014. V. 455. N 1-3. P. 655–659.
- Younsi M., Saadi S., Bouguelia A., Aider A., Trari M. Synthesis and characterization of oxygen-rich delafossite CuYO2+x —Application to H2-photo production // Solar Energy Materials and Solar Cells. 2007. V. 91. N 12. P. 1102–1109.
- Racu A.V., Baies R., Popuri S.R., Pascariu M.-C., Niculescu M., Banica R. Rapid combustion synthesis of Cu2Y2O5 as a precursor for CuYO2 delafossite // Materials Today Communications. 2018. V. 14. P. 233–239.
- Sellaiyan S., Devi L.V., Sako K., Uedono A., Sivaji K. Effect of dopant concentration and annealing of Yttrium doped CuO nanocrystallites studied by positron annihilation spectroscopy // Journal of Alloys and Compounds. 2019. V. 788. P. 549–558.
- Długosz O., Lis K., Matyjasik W., Radomski P., Pulit-Prociak J., Banach M. Cu2O Nanoparticles Deposited on Y2O3 and CuO: Synthesis and Antimicrobial Properties // Journal of Cluster Science. 2023. V. 34. P. 2153–2165.
- Korsunska N., Baran M., Poslishchuk Y., Kolomys, O., Stara T., Kharchenko M., Gorban O., Strelchuk V., Venger Ye., Kladko V., Khomenkova L. Structural and Luminescent Properties of (Y,Cu)-Codoped Zirconia Nanopowders // ECS Journal of Solid State Science and Technology. 2015. Vol. 4. N 9. P. N103–N110.
- Antropova T., Girsova M., Anfimova I., Drozdova I., Polyakova I., Vedishcheva N. Structure and spectral properties of the photochromic quartz-like glasses activated by silver halides // J. Non-Cryst. Solids. 2014. V. 401. P. 139–141.
- Antropova T.V., Drozdova I.A. Sintering of the optical porous glasses // Optica Applicata. 2003. V. 33. N 1. P. 13–22.
- Sumathirathne L., Euler W.B. Catalysis of the Thermal Decomposition of Transition Metal Nitrate Hydrates by Poly(vinylidene difluoride) // Polymers. 2021. V. 13, article 3112, pp. 1–12.
- Melnikov P., Nascimento V.A., Consolo L.Z.Z., Silva A.F. Mechanism of thermal decomposition of yttrium nitrate hexahydrate, Y(NO3)3·6H2O and modeling of intermediate oxynitrates // J. Therm. Anal. Calorim. 2013. V. 111. P. 115–119.
- Shiota K., Matsunaga H., Miyake A. Thermal analysis of ammonium nitrate and basic copper(II) nitrate mixtures // J. Therm. Anal. Calorim. 2015. V. 121. P. 281–286.
- Izato Y., Shiota K., Satoh K., Satoh T., Yahata Y., Miyake A. Analyses of the thermal characteristics and gaseous products of guanidine nitrate/basic copper nitrate mixtures using calorimetry with high resolution mass spectrometry // Journal of Analytical and Applied Pyrolysis. 2020. V. 151, article 104918, pp. 1–7.
- Mansour S.A.A. Thermoanalytical investigations of the decomposition course of copper oxysalts. II. Copper (II) nitrate trihydrate // Journal of Thermal Analysis. 1995. V. 45. N 6. P. 1381–1392.
- Oh B.-H., Lee S.-J. Control of particle morphology and size of yttria powder prepared by hydro(solvo)thermal synthesis // Journal of the Korean Ceramic Society. 2022. V. 59. P. 436–443.
- Devi L.V., Selvalakshmi T., Sellaiyan S., Kumar P.S.M., Sankar S. Combustion derived Y doped CuO nanoparticle: its structural, morphological and optical properties // Journal of Materials Science: Materials in Electronics. 2018. V. 29. P. 9387–9396.
- Гирсова М.А., Головина Г.Ф., Куриленко Л.Н., Анфимова И.Н. Спектральные свойства наноструктурированных композиционных стекломатериалов, активированных иттрием в присутствии меди либо висмута // Физика и химия стекла. 2023. Т. 49. № 6. С. 619–631. [Girsova M.A., Golovina G.F., Kurilenko L.N., Anfimova I.N. Spectral properties of nanostructured composite glass materials activated by yttrium in the presence of copper or bismuth // Glass Physics and Chemistry. 2023. V. 49. N 6. P. 625–634].
- Davis K.M., Tomozawa M. An infrared spectroscopic study of water-related species in silica glasses // Journal of Non-Crystalline Solids. 1996. V. 201. P. 177–198.
- Husung R.D., Doremus R.H. The infrared transmission spectra of four silicate glasses before and after exposure to water // Journal of Materials Research. 1990. V. 5. N 10. P. 2209–2217.
- Saad E.A., ElBatal F.H., Fayad A.M., Moustafa F.A. Infrared Absorption Spectra of Some Na-Borosilicate Glasses Containing AgBr and Cu2O (Photochromic Glasses) in Addition to One of Transition Metal Oxide // Silicon. 2011. V. 3. P. 85–95.
- Efimov A.M., Pogareva V.G., Shashkin A.V. Water-related bands in the IR absorption spectra of silicate glasses // Journal of Non-Crystalline Solids. 2003. V. 332. P. 93–114.
- Ellerbrock R., Stein M., Schalle J. Comparing amorphous silica, short-range-ordered silicates and silicic acid species by FTIR // Scientifc Reports. 2022. V. 12, article 11708. pp. 1–8.
- Hubert M., Faber A.J. On the structural role of boron in borosilicate glasses // Phys. Chem. Glasses: Eur. J. Glass Sci. Technol. B. 2014. V. 55. N 3. P. 136–158.
- Haritha A.H., Rao R.R. Sol-Gel synthesis and phase evolution studies of yttrium silicates // Ceramics International. 2019. V. 45. N 18. P. 24957–24964.
- Prnová A., Domanická A., Klement R., Kraxner J., Polovka M., Pentrák M., Galusek D., Šimurka P., Kozánková J. Er- and Nd-doped yttrium aluminosilicate glasses: Preparation and characterization // Optical Materials. 2011. V. 33. N 12. P. 1872–1878.
- Luna-López J.A., Carrillo-López J., Aceves-Mijares M., Morales-Sánchez A., Falcony C. FTIR and photoluminescence of annealed silicon rich oxide films // Superficies y Vacío. 2009. V. 22. N 1. P. 11–14.
- Karthik A.D., Geetha K. Synthesis of Copper Precursor, Copper and its oxide Nanoparticles by Green Chemical Reduction Method and its Antimicrobial Activity // Journal of Applied Pharmaceutical Science. 2013. V. 3. N 5. P. 016–021.
- Arzeian J.M., Hogarth C.A. Some structural, electrical and optical properties of copper phosphate glasses containing the rare-earth europium // Journal of Materials Science. 1991. V. 26. N 19. P. 5353–5366.
- Shanmugapriya T., Balavijayalakshmi J. Role of graphene oxide/yttrium oxide nanocomposites as a cathode material for natural dye‐sensitized solar cell applications // Asia-Pacific Journal of Chemical Engineering. 2021. V. 16. N 2, article e2598. pp. 1–12.
- Rao M.P., Sathishkumar P., Mangalaraja R.V., Asiri A.M., Sivashanmugam P., Anandan S. Simple and low-cost synthesis of CuO nanosheets for visible-light-driven photocatalytic degradation of textile dyes // Journal of Environmental Chemical Engineering. 2018. V. 6. N 2. P. 2003–2010.
- Fuss T., Moguš-Milanković A., Ray C.S., Lesher C.E., Youngman R., Day D.E. Ex situ XRD, TEM, IR, Raman and NMR spectroscopy of crystallization of lithium disilicate glass at high pressure // Journal of Non-Crystalline Solids. 2006. V. 352. P. 4101–4111.
- Anusuya M., Nagaveni A., Jayanthi E., Leelavathi H., Yogeswari B., Poonkodi K., Vimaladevi K., Prabhu V., Pillai M.V. Green-synthesized flattened rice-shaped CuO and metal doped CuO nanoparticles using Bauhinia racemosa Lam. leaves extract and their photocatalytic and biological applications // Inorganic Chemistry Communications. 2024. V. 162, article 112289, pp. 1–14.
- Liu T., Xu W., Bai X., Song H. Tunable silica shell and its modification on photoluminescent properties of Y2O3:Eu3+@SiO2 nanocomposites // J. Appl. Phys. 2012. V. 111, article 064312. pp. 1–8.
- Rachna, Aghamkar P. Morphological and optical investigation of Y2O3:SiO2 powder by wet chemical process // Optical Materials. 2013. V. 36. N 2. P. 337–341.
- Borgohain K., Singh J.B., Rao M.V.R., Shripathi T., Mahamuni S. Quantum size effects in CuO nanoparticles. Physical Review B. 2000. V. 61. N 16. P. 11093–11096.
- Jamila G.S., Sajjad S., Leghari S.A.K., Mahmood T. Role of nitrogen doped carbon quantum dots on CuO nano-leaves as solar induced photo catalyst // Journal of Physics and Chemistry of Solids. 2020. V. 138, article 109233.
- Yu M., Lin J., Fang J. Silica Spheres Coated with YVO4:Eu3+ Layers via Sol-Gel Process: A Simple Method To Obtain Spherical Core-Shell Phosphors // Chem. Mater. 2005. V. 17. P. 1783–1791.
- Gavrilko T., Gnatyuk I., Puchkovska G., Baran J., Marchewka M., Morawska-Kowal T. Application of NIR spectroscopic method to the study of porous glasses filled with liquid crystals // Optica Applicata. 2003. V. 33. N 1. P. 23–32.
- Yu P., Kirkpatrick R.J., Poe B., McMillan P.F., Cong X. Structure of Calcium Silicate Hydrate (C-S-H): Near-, Mid-, and Far-Infrared Spectroscopy // J. Am. Ceram. Soc. 1999. V. 82. N 3. P. 742–748.
- Bartholomew R.F., Butler B.L., Hoover H.L., Wu C.K. Infrared Spectra of a Water-Containing Glass // J. Am. Ceram. Soc. 1980. V. 63. P. 481–485.
- Humbach O., Fabian H., Grzesik U., Haken U., Heitmann W. Analysis of OH absorption bands in synthetic silica // Journal of Non-Crystalline Solids. 1996. V. 203. P. 19–26.
- Bae B.-S., Weinberg M.C. Optical absorption of copper phosphate glasses in the visible spectrum // Journal of Non-Crystalline Solids. 1994. V. 168. N 3. P. 223–231.
- Кирютенко В.М., Киселев А.В., Лыгин В.И., Щепалин К.Л. Исследование свойств поверхности пористого стекла методом инфракрасной спектроскопии // Кинетика и катализ. 1974. Т. 15. № 6. С. 1584–1588.
- Bauer U., Behrens H., Fechtelkord M., Reinsch S., Deubener J. Water- and boron speciation in hydrous soda-lime-borate glasses // Journal of Non-Crystalline Solids. 2015. V. 423–424. P. 58–67.
- Schmidt B.C. Effect of boron on the water speciation in (alumino)silicate melts and glasses // Geochimica et Cosmochimica Acta. 2004. V. 68. N 24. P. 5013–5025.
- Zotov N., Keppler H. The influence of water on the structure of hydrous sodium tetrasilicate glasses // American Mineralogist. 1998. V. 83. N 7-8. P. 823–834.
- Stefan R., Culea E., Pascuta P. The effect of copper ions addition on structural and optical properties of zinc borate glasses // Journal of Non-Crystalline Solids. 2012. Vol. 358. N 4. P. 839–846.
- Möncke D., Ehrt D. Charge transfer transitions in glasses - Attempt of a systematic review // Optical Materials: X. 2021. V. 12, article 100092, pp. 1–18.
- Rachna, Aghamkar P. Morphological and optical investigation of Y2O3:SiO2 powder by wet chemical process // Optical Materials. 2013. V. 36. P. 337–341.
- Sokolov V.O., Sulimov V.B. Theory of Twofold Coordinated Silicon and Germanium Atoms in Solid Silicon Dioxide // Phys. Stat. Sol. B. 1994. V. 186. N 3. P. 185–198.
- Зацепин А.Ф. Статика и динамика возбужденных состояний кислородно-дефицитных центров в SiO2 // Физика твердого тела. 2010. Т. 52. Вып. 6. С. 1104–1114. (Engl.Transl.: Zatsepin A.F. Statics and dynamics of excited states of oxygen-deficient centers in SiO2 // Physics of the Solid State. 2010.Vol. 52. N 6. P. 1176–1187.)
- Соломонов В.И., Осипов В.В., Шитов В.А., Лукьяшин К.Е., Бубнова А.С. Собственные центры люминесценции керамических иттрий-алюминиевого граната и оксида иттрия // Оптика и спектроскопия. 2020. Т. 128. Вып. 1. С. 5–9. (Engl.Transl.: Solomonov V.I., Osipov V.V., Shitov V.A., Luk’yashin K.E., Bubnova A.S. Intrinsic Luminescence Centers in Yttrium–Aluminum Garnet and Yttrium Oxide Ceramics // Optics and Spectroscopy. 2020. V. 128. N 1. P. 1–5.)
- Chand P., Gaur A., Kumar A. Structural, optical and ferroelectric behavior of CuO nanostructures synthesized at different pH values // Superlattices and Microstructures. 2013. V. 60. P. 129–138.
- Осипов В.В., Расулева А.В., Соломонов В.И. Люминесценция оксида иттрия // Оптика и спектроскопия. 2008. Т. 105. № 4. С. 578–584. (Engl.Transl.: Osipov V.V., Rasuleva A.V., Solomonov V.I. Luminescence of Pure Yttria // Optics and Spectroscopy. 2008. V. 105. N 4. P. 524–530.)
- Toboonsung B., Singjai P. Formation of CuO nanorods and their bundles by an electrochemical dissolution and deposition process // Journal of Alloys and Compounds. 2011. V. 509. N 10. P. 4132–4137.
- López J.A., López J.C., Valerdi D.E.V., Salgado G.G., Díaz-Becerril T., Pedraza A.P., Gracia F.J.F. Morphological, compositional, structural, and optical properties of Si-nc embedded in SiOx films // Nanoscale Research Letters. 2012. V. 7. N 1, article 604, pp. 1–10.
- Gong-Ru L., Chung-Jung L., Chi-Kuan L., Li-Jen C., Yu-Lun C. Oxygen defect and Si nanocrystal dependent white-light and near-infrared electroluminescence of Si-implanted and plasma-enhanced chemical-vapor deposition-grown Si-rich SiO2 // Journal of Applied Physics. 2005. V. 97, article 094306, pp. 1–8.
- Zyubin A.S., Glinka Y.D., Mebel A.M., Lin S.H., Hwang L.P., Chen Y.T. Red and near-infrared photoluminescence from silica-based nanoscale materials: Experimental investigation and quantum-chemical modeling // The Journal of Chemical Physics. 2002. V. 116. N 1. P. 281–294.
- Hallstedt B., Risold D., Gauckler L.J. Thermodynamic assessment of the copper-oxygen system // Journal of Phase Equilibria. 1994. V. 15. N 5. P. 483–499.
- Scarlat O., Zaharescu M. Thermal studies in CuO–Cu2O–SnO2 system at two oxygen pressures, as observed by DTA/TG experiments // Journal of Thermal Analysis and Calorimetry. 2002. V. 68. P. 851–860.
Дополнительные файлы











