Effect of Conditions of Mannitol-Nitrate Synthesis on Photocatalytic Properties of φ-Bi8Pb5O17
- Authors: Ershov D.S.1, Besprozvannykh N.V.1, Sinelshchikova O.Y.1
-
Affiliations:
- Grebenshchikov Institute of Silicate Chemistry, Russian Academy of Sciences, 199034, St. Petersburg, Russia
- Issue: Vol 49, No 6 (2023)
- Pages: 672-680
- Section: Articles
- URL: https://journals.rcsi.science/0132-6651/article/view/231988
- DOI: https://doi.org/10.31857/S0132665123600437
- EDN: https://elibrary.ru/ESTJOM
- ID: 231988
Cite item
Full Text
Abstract
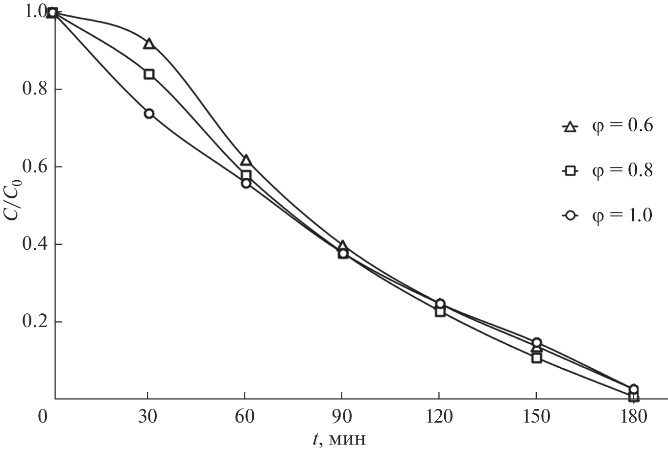
The article presents the results of a study of new ceramic materials φ-Bi8Pb5O17 obtained by pyrolysis using mannitol C6H14O6 as a reducing fuel. The values of the band gap of the obtained compositions are determined by analyzing the diffuse reflectance spectra using the Tauc construction. They are in the range from 2.57 to 2.67 eV, which corresponds to visible light photocatalysts. The degree of degradation of methylene orange when using synthesized samples ranged from 95 to 99% when irradiated for 3 h with a fluorescent mercury lamp.
About the authors
D. S. Ershov
Grebenshchikov Institute of Silicate Chemistry, Russian Academy of Sciences, 199034, St. Petersburg, Russia
Email: ershov.d.s@yandex.ru
Россия, 199034, Санкт-Петербург, наб. Макарова, д. 2
N. V. Besprozvannykh
Grebenshchikov Institute of Silicate Chemistry, Russian Academy of Sciences, 199034, St. Petersburg, Russia
Email: ershov.d.s@yandex.ru
Россия, 199034, Санкт-Петербург, наб. Макарова, д. 2
O. Yu. Sinelshchikova
Grebenshchikov Institute of Silicate Chemistry, Russian Academy of Sciences, 199034, St. Petersburg, Russia
Author for correspondence.
Email: ershov.d.s@yandex.ru
Россия, 199034, Санкт-Петербург, наб. Макарова, д. 2
References
- Radaev S.F., Simonov V.I., Kargin Yu.F. Structural features of γ-phase Bi2O3 and its place in the sillenite family // Acta Crystallogr. 1992. V. 48. P. 604–609.
- Harwig H.A. On the Structure of Bismuthsesquioxide: The α, β, γ, and δ-phase // Z. Anorg. Allg. Chem. 1978. V. 444. P. 151–166.
- Harwig H.A., Gerards A.G. The polymorphism of bismuth sesquioxide // Thermochim. Acta. 1979. V. 28. P. 121–131.
- Sammes N.M., Tompsett G.A., Näfe H., Aldinger F. Bismuth Based Oxide Electrolytes ̶ Structure and Ionic Conductivity // J. Eur. Ceram. 1999. V. 19. P. 1801–1826.
- Cornei N., Tancret N., Abraham F., Mentre O. New ε-Bi2O3 Metastable Polymorph // Inorg. Chem. 2006. V. 45. P. 4886–4888.
- Gualtieri A.F., Imovilli S., Prudenziati M. Powder X-ray diffraction data for the new polymorphic compound ω-Bi2O3 // Powder Diffr. 1997. V. 12. Iss. 2. P. 90–92.
- Ghedia S., Locherer T., Dinnebier R., Prasad D.L.V.K., Wedig U., Jansen M., Senyshyn A. High-pressure and high-temperature multianvil synthesis of metastable polymorphs of Bi2O3: crystal structure and electronic properties // Phys. Rev. 2010. V. 82. P. 1–12.
- Atou T., Faqir H., Kikuchi M., Chiba H., Syono Y. A New High-Pressure Phase of Bismuth Oxide // Mater. Res. Bull. 1998. V. 33. P. 289-292.
- Drache M., Roussel P., Wignacourt J.-P. Structures and oxide mobility in Bi-Ln-O materials: heritage of Bi2O3 // Chem. Rev. 2007. V. 107. P. 80–96.
- Biefeld R.M., White S.S. Temperature/Composition Phase Diagram of the System Bi2O3–PbO // J. Am. Ceram. Soc. 1981. V. 64. № 3. P. 182–184.
- Dapčević A., Poleti D., Karanović L., Miladinović J. Investigation of Bi2O3-rich part of Bi2O3-PbO phase diagram // J. Serb. Chem. Soc. 2017. V. 82. Iss. 12. P. 1433–1444.
- Diop I., David N., Fiorani J.M., Podor R., Vilasi M. Experimental investigations and thermodynamic description of the PbO−Bi2O3 system // J. Chem. Thermodyn. 2009. V. 41. P. 420–432.
- Rangavittal N., Gururow T.N., Rao C.N.R. A study of cubic bismuth oxides of the type Bi26 − xMxO40 − δ (M = Ti, Mn, Fe, Co, Ni or Pb) related to γ-Bi2O3 // Eur. J. Solid State Inorg. Chem. 1994. V. 31. P. 409–422.
- Righi L., Calestani G., Gemmi M., Migliori A., Bettinelli M. Neutron diffraction study of φ-Bi8Pb5O17: structure refinement and analysis of cationic ordering // Acta Cryst. 2001. V. 57. P. 237–243.
- Valant M., Suvorov D., A Stoichiometric Model for Sillenites // Chem. Mater. 2002. V. 14. P. 3471–3476.
- Borowiec M.T., Kozankiewicz B., Szymczak H., Zmija J., Majchrowski A., Zaleski M., Zayarnyuk T. Photoconductivity of Bi12Ti1−xPbxO20 single crystal // Acta. Phys. Pol. 1999. V. 96. P. 785–792
- Sammes N.M., Tompsett G., Cartner A.M. Characterization of bismuth lead oxide by vibrational spectroscopy // J. Mater. Sci. 1995. V. 30. P. 4299–4308
- Fee M.G., Long N.J. Mixed conductivity in metal-doped bismuth-lead oxide // Solid State Ionics. 1996. V. 86–88. P. 733–737.
- Fee M.G., Sammes N.M., Tomsett G., Soto T., Cartner A.M. The effect of heat treatment on the physical and electrical properties of the fast ion conductor Bi8Pb5O17 // Solid State Ionics. 1997. V. 95. P. 183–189.
- Chawla H., Chandra A., Ingole P.P., Garg S. Recent advancements in enhancement of photocatalytic activity using bismuth-based metal oxides Bi2MO6 (M = W, Mo, Cr) for environmental remediation and clean energy production // J. Ind. Eng. Chem. 2021. V. 95. P. 1–15.
- Li Z., Zhang Z., Wang L., Meng X. Bismuth chromate (Bi2CrO6): A promising semiconductor in photocatalysis // Journal of Catalysis. 2020. V. 382. P. 40–48.
- Ершов Д.С., Беспрозванных Н.В., Синельщикова О.Ю. Синтез, фотокаталитические и электрофизические свойства керамических материалов в системе PbO–Bi2O3–Fe2O3 // Журн. неорг. химии. 2022. № 67. С. 105–113 [Ershov D.S., Besprozvannykh N.V., Sinelshchikova O.Yu. Synthesis and Photocatalytic and Electrophysical Properties of Ceramic Materials in the PbO–Bi2O3–Fe2O3 // System. Russ. J. Inorg. Chem. 2022. V. 67. P. 105–113.]
- Watanabe A., Kitami Y., Takenouchi S., Bovin J.O., Sammes N. Polymorphism in Bi5Pb3O10.5 // J. Solid State Chem. 1999. V. 144. P. 195–204.
- Santarosa M., Righi L., Gemmi M., Speghini A., Migliori A., Calestani G., Bettinelli M. Structural Properties and Thermal Stability of Bi8Pb5O17 Fast Ion Conducting Phases // Solid State Chem. 1999. V. 144. P. 255– 262.
- Zhang Y., Sammes N., Du Y., The use of X-ray analysis in determining the crystal structure in φ-Bi8Pb5O17 // Solid State Ionics. 1999. V. 124. P. 179–184.
- Gemmi M., Righi L., Calestani G., Migliori A., Speghini A., San tarosa M., Bettinelli M., Structure determination of φ-Bi8Pb5O17 by electron and powder X-ray diffraction // Ultramicroscopy. 2000. V. 84. P. 133–142.
- Ganesan R., Gnanasekaran T., Srinivasa R.S., Standard molar Gibbs energy of formation of Pb5Bi8O17 and PbBi12O19 and phase diagram of the Pb–Bi–O system // J. Nucl. Mater. 2008. V. 375. P. 229–242.
- Штарев Д.С., Штарева А.В., Макаревич К.С., Перегиняк М.В. Пат. РФ № 2595343. Бюл. 2016. № 24.
- Besprozvannykh N.V., Ershov D.S., Sinel’shchikova O.Yu., Ugolkov V.L. Ceramic materials based on bismuth chromates, their synthesis by combustion with mannitol, photocatalytic and conductive properties // Ceram. Int. 2023. V. 49. Iss. 10. P. 16182–16190.
- Wang B., Wang S., Gong L., Zhou Z. Structural, magnetic and photocatalytic properties of Sr2+-doped BiFeO3 nanoparticles based on an ultrasonic irradiation assisted self-combustion method // Ceram. Int. 2012. V. 38. P. 6643–6649.
- Tauc J., Grigorovici R., Vancu A. Optical Properties and Electronic Structure of Amorphous Germanium // Phys. Status Solidi B. 1966. V. 15. P. 627–637.
- Shyamkumar S., Reshmi P.R., Muthuambika T., Parida S.K., Ganesan R. The standard molar enthalpies of formation of PbBi12O19(s) and ϕ-Pb5Bi8O17(s) by solution calorimetry // J. Chem. Thermodynamics. 2021. V. 155. P. 106 351.
- Mukasyan A.S., Costello C., Sherlock K.P., Lafarga D., Varma A. Perovskite membranes by aqueous combustion synthesis: synthesis and properties // Sep. Purif. Technol. 2001. V. 25. P. 117–126.
- Денисова Л.Т., Иртюго Л.А., Белецкий В.В., Белоусова Н.В. Теплоемкость и термодинамическиесвойства оксидных соединений системы Bi2O3–PbO // Журн. Сибирского федерального университета. Серия: Химия. 2015. Т. 8. № 4. С. 514–520.
Supplementary files






