Synthesis and Characterization of Ceramics BaxMg(2 – x)F4 Activated by Tungsten
- Authors: Lisitsyn V.M.1, Musakhanov D.A.2, Korzhneva T.G.1, Strelkova A.V.2, Lisitsyna L.A.3, Golkovsky M.G.2, Zhunusbekov A.M.2, Karipbaev Z.T.2, Kozlovsky A.L.2
-
Affiliations:
- National Research Tomsk Polytechnic University
- Gumilev Eurasian National University
- Tomsk State University of Architecture and Building
- Issue: Vol 49, No 3 (2023)
- Pages: 323-329
- Section: Articles
- URL: https://journals.rcsi.science/0132-6651/article/view/139367
- DOI: https://doi.org/10.31857/S0132665122600169
- EDN: https://elibrary.ru/QDIMEM
- ID: 139367
Cite item
Full Text
Abstract
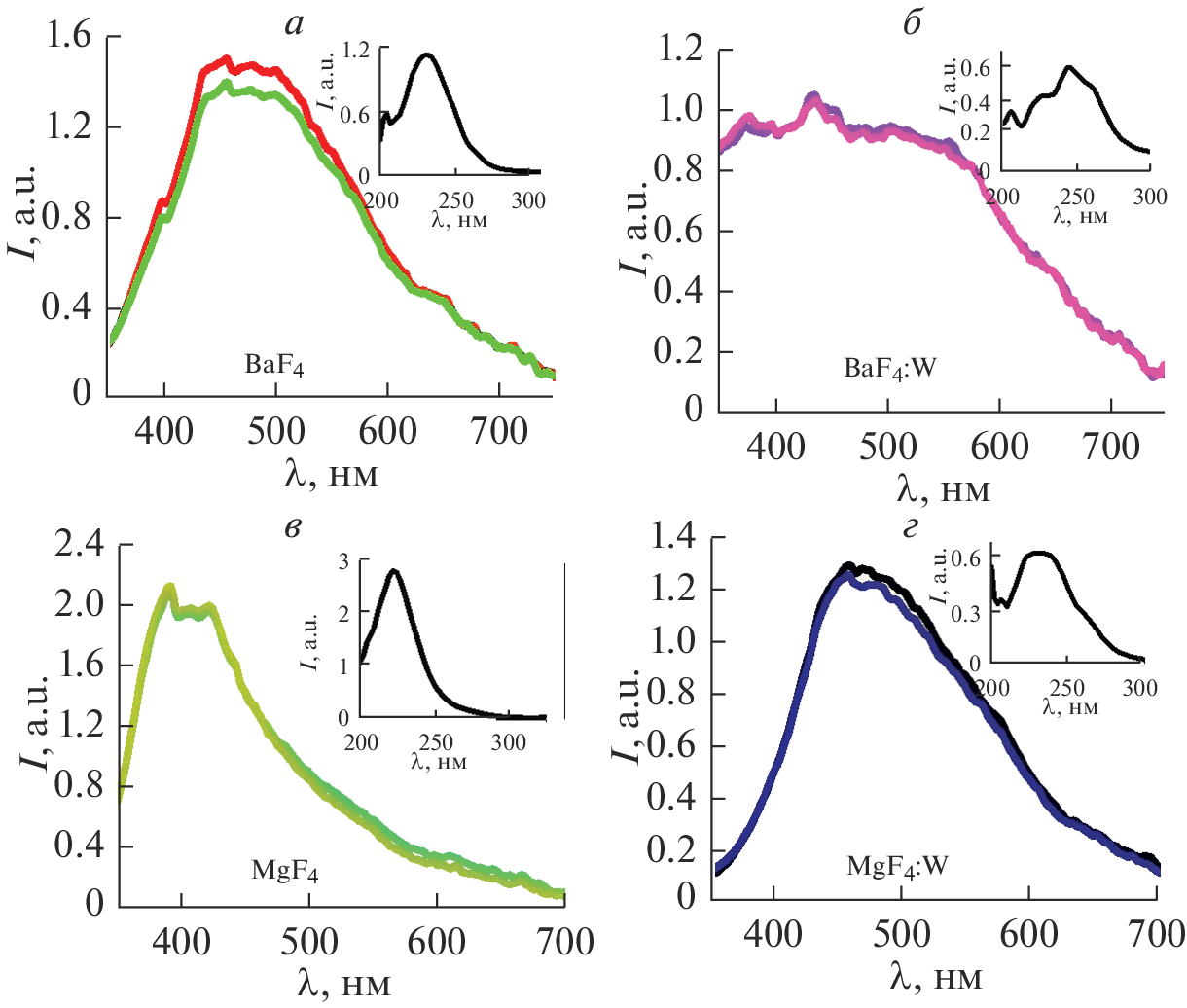
The possibility of radiation synthesis of luminescent ceramics from a mixture of Ba and Mg fluorides and WO3 oxide is shown for the first time. Synthesis is implemented in a powerful electron beam with an energy of 1.4 MeV by direct exposure of the charge to radiation. It is shown that the characteristic band is observed in the photoluminescence spectrum of the synthesized materials due to the introduction of tungsten, which indicates the incorporation of tungsten into the lattice during radiation synthesis without the use of additional substances in the charge.
About the authors
V. M. Lisitsyn
National Research Tomsk Polytechnic University
Email: lisitsyn@tpu.ru
Tomsk, Russia
D. A. Musakhanov
Gumilev Eurasian National University
Email: lisitsyn@tpu.ru
010008, Nur-Sultan, Republic of Kazakhstan
T. G. Korzhneva
National Research Tomsk Polytechnic University
Email: lisitsyn@tpu.ru
Tomsk, Russia
A. V. Strelkova
Gumilev Eurasian National University
Email: lisitsyn@tpu.ru
010008, Nur-Sultan, Republic of Kazakhstan
L. A. Lisitsyna
Tomsk State University of Architecture and Building
Email: lisitsyn@tpu.ru
634003, Tomsk, Russia
M. G. Golkovsky
Gumilev Eurasian National University
Email: lisitsyn@tpu.ru
010008, Nur-Sultan, Republic of Kazakhstan
A. M. Zhunusbekov
Gumilev Eurasian National University
Email: lisitsyn@tpu.ru
010008, Nur-Sultan, Republic of Kazakhstan
Zh. T. Karipbaev
Gumilev Eurasian National University
Email: lisitsyn@tpu.ru
010008, Nur-Sultan, Republic of Kazakhstan
A. L. Kozlovsky
Gumilev Eurasian National University
Author for correspondence.
Email: lisitsyn@tpu.ru
010008, Nur-Sultan, Republic of Kazakhstan
References
- Атрощенко Л.В., Бурачас С.Ф., Гальчинецкий Л.П., Гринев Б.В., Рыжиков В.Д., Старжинский Н.Г. Кристаллы, сцинтилляторы и детекторы ионизирующих излучений на их основе. Киев: Наук. думка, 1998. 310 с.
- Kore B.P., Kumar A., Erasmus L., Kroon R.E., Terblans J.J., Dhoble S.J., Swart H.C. Energy Transfer Mechanisms and Optical Thermometry of BaMgF4: Yb3+, Er3+ Phosphor // Inorg. Chem. 2018. V. 57. № 1. P. 288−299.
- Lisitsyna L.A., Lisitsyn V.M. Composition nanodefects in doped lithium fluoride crystals // Phys. Solid State. 2013. V. 55. № 11. P. 2297–2303.
- Lisitsyn V.M., Golkovskii M.G., Lisitsyna L.A., Dauletbekova A.K., Musakhanov D.A., Vaganov V.A., Tulegenova A.T., Karipbayev Zh.T. MgF2 – Based Luminescing Ceramics // Russian Physics J. 2019. V. 61. № 10. P. 1908–1913.
- Renfro G.M., Halliburton L.E., Sibley W.A., Belt R.F. Radiation effects in LiYF4 // J. Phys. C: Solid St. Phys. 1980. V. 13. № 10. P. 1941–1950.
- Morato S.P., Masedo T.C.A. Fand photochromic centers in LiYF4:Nd crystals // Rad.eff. 1983. V. 72 № 2. P. 229–235.
- Wang M., Mi C.C., Wang W.X., Liu C.H., Wu Y.F., Xu Z.R., Mao C.B., Xu S.K. Immunolabeling and NIR-excited fluorescent imaging of HeLa cells by using NaYF(4) : Yb,Er upconversion nanoparticles // ACS Nano. 2009. V. 3(6). P. 1580–1586.
- Li Z.Q., Zhang Y., Jiang S. Synthesis of colour tunable lanthanide-ion doped NaYF4 upconversion nanoparticles by controlling temperature // Adv. Mater. 2008. V. 20. P. 4765.
- Yagi K., Mori K., Odawara O., Wada H. Preparation of spherical upconversion nanoparticles NaYF4:Yb, Er by laser ablation in liquid and optical properties // J. Laser Appl. 2020. V. 32. 022062. https://doi.org/10.2351/7.0000089
- Lisitsyn V.M., Golkovskii M.G., Lisitsyna L.A., Dauletbekova A.K., Musakhanov D.A., Vaganov V.A., Tulegenova A.T., Karipbayev Zh.T. MgF2–Based Luminescing Ceramics // Russian Physics J. 2019. V. 61. № 10. P. 1908–1913.
- Gingl F. BaMgF4 and Ba2Mg3F10: new examples for structural relationships between hydrides and fluorides // Z. Anorg. Allg. Chem. 1997. V. 623. P. 705–709.
Supplementary files





