Исследование электрофизических свойств твердых растворов со структурой перовскита в системах La2O3–SrO–Ni(Co,Fe)2O3 – δ для катодных электродов топливных элементов
- Авторы: Калинина М.В.1, Дюскина Д.А.1, Полякова И.Г.1, Арсентьев М.Ю.1, Шилова О.А.1,2,3
-
Учреждения:
- Институт химии силикатов им. И.В. Гребенщикова РАН
- Санкт-Петербургский государственный технологический институт (Технический университет)
- Санкт-Петербургский государственный электротехнический университет “ЛЭТИ” им. В.И. Ульянова (Ленина)
- Выпуск: Том 49, № 2 (2023)
- Страницы: 158-170
- Раздел: Статьи
- URL: https://journals.rcsi.science/0132-6651/article/view/139310
- DOI: https://doi.org/10.31857/S013266512260087X
- EDN: https://elibrary.ru/NWCLRR
- ID: 139310
Цитировать
Полный текст
Аннотация
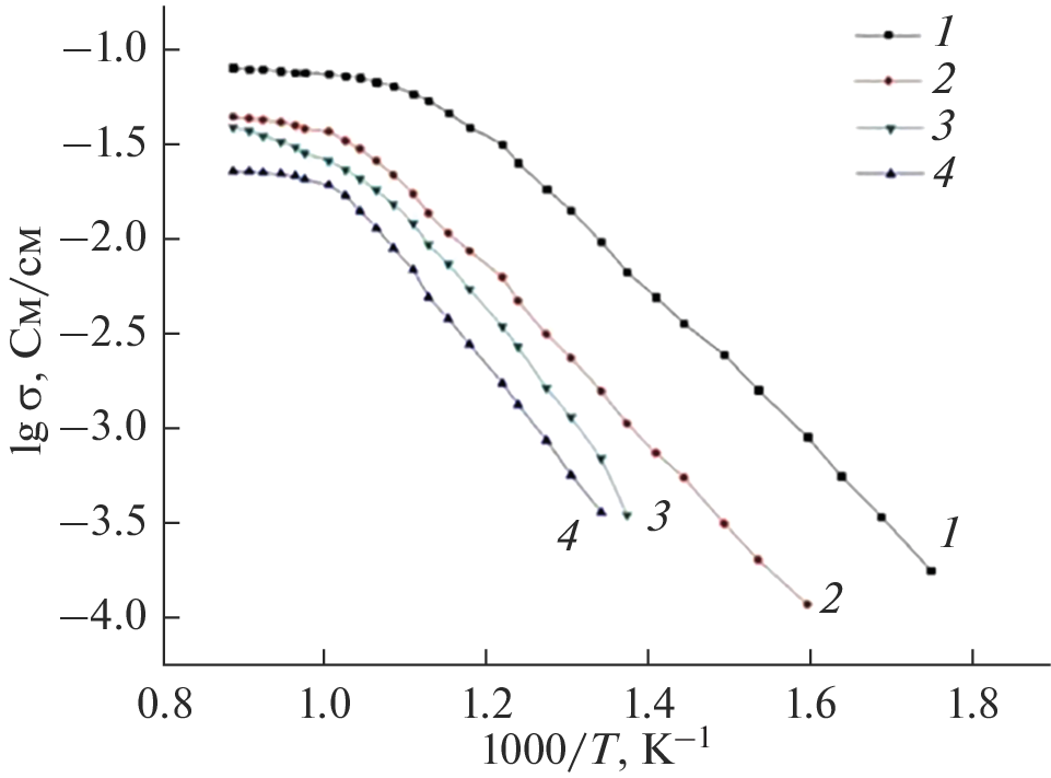
Методом совместной кристаллизации азотнокислых солей с ультразвуковой обработкой синтезированы высокодисперсные мезопористые порошки состава: La1 – xSrxNiO3 – δ, La1 – xSrxCoO3 – δ и La1 – xSrxFe0.7Ni0.3O3 – δ (x = 0.30; 0.40). На их основе получены керамические наноматериалы заданного состава с ОКР ~ 65–69 нм (1300°С). Керамика, обожженная при 1300°С являяется однофазной и обладает тетрагональной и орторомбической структурой типа перовскита в системе La2O3‒SrO‒Ni(Co,Fe)2O3 – δ. Твердые растворы имеют смешанную электронно-ионную проводимость с числами переноса te = 0.98–0.90; ti = 0.02–0.10. Керамика с тетрагональной кристаллической структурой типа перовскита обнаруживает более высокую электропроводность по сравнению с материалами, обладающими орторомбической кристаллической структурой типа перовскита. По своим электрофизическим свойствам, связанным со структурными особенностями твердых растворов, полученные на их основе керамические материалы перспективны в качестве твердооксидных катодов среднетемпературных топливных элементов.
Об авторах
М. В. Калинина
Институт химии силикатов им. И.В. Гребенщикова РАН
Email: tikhonov_p-a@mail.ru
Россия, 199034, Санкт-Петербург, наб. Макарова, 2
Д. А. Дюскина
Институт химии силикатов им. И.В. Гребенщикова РАН
Email: tikhonov_p-a@mail.ru
Россия, 199034, Санкт-Петербург, наб. Макарова, 2
И. Г. Полякова
Институт химии силикатов им. И.В. Гребенщикова РАН
Email: tikhonov_p-a@mail.ru
Россия, 199034, Санкт-Петербург, наб. Макарова, 2
М. Ю. Арсентьев
Институт химии силикатов им. И.В. Гребенщикова РАН
Email: tikhonov_p-a@mail.ru
Россия, 199034, Санкт-Петербург, наб. Макарова, 2
О. А. Шилова
Институт химии силикатов им. И.В. Гребенщикова РАН; Санкт-Петербургский государственный технологический институт (Технический университет); Санкт-Петербургский государственный электротехнический университет “ЛЭТИ”им. В.И. Ульянова (Ленина)
Автор, ответственный за переписку.
Email: tikhonov_p-a@mail.ru
Россия, 199034, Санкт-Петербург, наб. Макарова, 2; Россия, 190013, Санкт-Петербург, Московский пр., 26; Россия, 197376, Санкт-Петербург, улица Профессора Попова, 5
Список литературы
- Miranda P.E. Science and Engineering of Hydrogen-Based Energy Technologies: Hydrogen Production and Practical Applications in Energy Generation. Elsevier Science & Technology. 2018. 326 p. ISBN: 9780128142516.
- Pachauri R.P., Chauhan Y.K. A study, analysis and power management schemes for fuel cells // Renewable and Sustainable Energy Reviews. 2015. V. 43. P. 1301–1319.
- Tarancón A. Strategies for Lowering Solid Oxide Fuel Cells Operating Temperature // Energies. 2009. V. 2. P. 1130–1150.
- Wincewicz K., Cooper J. Taxonomies of SOFC Material and Manufacturing Alternatives // J. Power Sources. 2005. V. 140. № 2. P. 280–296.
- Steele B.C.H. Materials for IT-SOFC Stacks 35 years R&D: the Inevitability of Gradualness // Solid State Ionics. 2000. V. 134. P. 3–20.
- Ma B., Balachandran U. Phase stability of SrFeCo0.5 in reducing environment // Mat. Res. Bull. 1998. V. 33. P. 223–236.
- Hendriksen P.V., Larsen P.H., Mogensen M., Poulsen F.W., Wiik K. Prospects and problems of dense oxygen permeable membranes // Catal. Today. 2000. V. 56. P. 283–295.
- McIntosh S., Vente J.F., Haije W.G., Blank D.H.A., Bouwmeester H.J.M. Phase stability and oxygen nonstoichiometry of SrCo0.8Fe0.2O3 – measured by in situ neutron diffraction // Solid State Ionics. 2006. V. 177. P. 833–842.
- Sadykov V., Usoltsev V., Yeremeev N., Mezentseva N., Pelipenko V., Krieger T., Belyaev V., Sadovskaya E., Muzykantov V., Fedorova Yu., Lukashevich A., Ishchenko A., Salanov A., Okhlupin Yu., Uvarov N., Smorygo O., Arzhannikov A., Korobeynikov M., Thumm Ma K.A. Functional nanoceramics for intermediate temperature solid oxide fuel cells and oxygen separation membranes // J. European Ceramic Society. 2013. V. 33. № 12. P. 2241–2250.
- Брэгг У., Кларингбул Г. Кристаллическая структура минералов. М.: Мир, 1967. 341 с.
- Jun A., Kim. J., Shin J., Kim. G. Perovskite as a cathode material: a review of its role in solid-oxide fuel cell technology // ChemElectroChem. 2016. V. 3. P. 511–530.
- Sadykov V.A., Pavlova S.N., Kharlamova T.S., Muzykantov V.S., Ishchenko A.V., Bobin A.S., Mezentseva N.V., Alikina G.M., Lukashevich A.I., Krieger T.A., Larina T.V., Bulgakov N.N., Tapilin V.M., Belyaev V.D., Sadovskaya E.M., Boronin A.I., Uvarov N.F., Sobyanin V.A., Okhlupin Y.S., Bobrenok O.F., Smirnova A.L., Smorygo O.L., Kilner J.A. Perovskites and their nanocomposites with fluorite-like oxides as materials for solid oxide fuel cells cathodes and oxygen-conducting membranes: mobility and reactivity of the surface/bulk oxygen as a key factor of their performance // Perovskites: structure, properties and uses, Nova Science Publishers, Inc. 2010. P. 67–178.
- Egorova T.L., Kalinina M.V., Simonenko E.P., Simonenko N.P., Shilova O.A., Sevastyanov V.G., Kuznetsov N.T. Liquid-Phase Synthesis and Physicochemical Properties of Xerogels, Nanopowders and Thin Films of the CeO2–Y2O3 System // Russian J. Inorganic Chemistry. 2016. V. 61. № 9. P. 1061–1069.
- Kalinina M.V., Morozova L.V., Egorova T.L., Arsent’ev M.Yu., Drozdova I.A., Shilova O.A. Synthesis and Physicochemical Properties of a Solid Oxide Nanocomposite Based on a ZrO2–Y2O3–Gd2O3–MgO System // Glass Physics and Chemistry. 2016. V. 42. № 5. P. 505–511.
- Callow R.C.A. Computer Modelling in Inorganic Crystallography. London: Academic Press. 1997. 340 p.
- Bernholc J. Computational Materials Science: The Era of Applied Quantum Mechanics // Phys. Today. 1999. V. 52. № 9. P. 30–35.
- Duran P., Villegas M., Capel F., Recio P., Moure C. Low temperature sintering and microstructural development of nano scale Y-TZP ceramics // J. Eur. Ceram. Soc. 1996. № 16. 945 p.
- Тихонов П.А., Кузнецов А.К., Кравчинская М.В. Прибор для измерения электронной и ионной проводимости окисных материалов // Заводская лаборатория. 1978. № 7. С. 837–838.
- Soler J.M., Artacho E., Gale J.D., Garcia A., Junquera J., Ordejon P., Sanchez-Portal D. The SIESTA method for ab initio order-N materials simulation // J. Phys. Condens. Matter. 2002. V. 14. № 11. P. 2745–2779.
- Калинина М.В., Дюскина Д.А., Хамова Т.В., Ефимова Л.Н., Шилова О.А.Синтез и исследование нанопорошков и керамики системы La2O3–SrO–Ni(Co,Fe)2O3 // Перспективные материалы. 2022. № 5. С. 49–57.
- Пальгуев С.Ф., Гильдерман В.К., Земцов В.И. Высокотемпературные оксидные электронные проводники для электрохимических устройств. М.: Наука, 1990. 197 с. ISBN 5-02-001490-7.
- Hammer B., Hansen L.B., Norskov J.K. Improved adsorption energetics theory perdew-Burke-Ernzerhof functional // Phys. Rev. B. 1999. V. 59. № 11. P. 7413–7421.
- Bull C.L., Gleeson D., Knight K.S. Determination of B-site ordering of metal perovskites La2CoMnO6 and La2NiMnO6 // J. Phys. Condens. Matter. 2003. V. 15. № 29. P. 4927–4936.
- Ярославцев И.Ю., Богданович Н.М., Вдовин Г.К., Демьяненко Т.А., Бронин Д.И., Исупова Л.А. Катоды на основе никелато-ферритов редкоземельных металлов, изготовленные с применением промышленного сырья для твердооксидных топливных элементов // Электрохимия. 2014. Т. 50. № 6. С. 611–617.
Дополнительные файлы









