Compounds of s-Metals with Spin-Labeled Nitrophenol
- Authors: Kuznetsova O.V.1, Romanenko G.V.1, Chernavin P.A.1, Letyagin G.A.1, Bogomyakov A.S.1
-
Affiliations:
- International Tomography Center of the Siberian Branch of the Russian Academy of Sciences
- Issue: Vol 50, No 10 (2024)
- Pages: 693-707
- Section: Articles
- URL: https://journals.rcsi.science/0132-344X/article/view/273478
- DOI: https://doi.org/10.31857/S0132344X24100067
- EDN: https://elibrary.ru/LPNIBF
- ID: 273478
Cite item
Full Text
Abstract
A series of paramagnetic salts of s-elements (Li, Na, K, Rb, Cs) with deprotonated nitroxide radical, 2-(2-hydroxy-5-nitrophenyl)-4,4,5,5-tetramethyl-4,5-dihydro-1H-imidazol-1-oxyl 3-oxide (L), were synthesized and isolated as crystals. According to X-ray diffraction data, these compounds are polymers of different dimensionality (CCDC nos. 2342497–2342506). As indicated by the results of quantum chemical calculations and magnetic measurements, weak antiferromagnetic exchange interactions predominate in the paramagnetic salts, with the interaction energy decreasing with increasing radius of the alkali metal ion.
Full Text
Нитроксильные радикалы 2-имидазолинового ряда (схема 1), как кинетически наиболее устойчивые из всех органических парамагнетиков, благодаря широким возможностям варьирования заместителей R в их молекуле и хорошей растворимости в различных органических растворителях, активно используются при решении различных фундаментальных и прикладных задач [1–5], связанных с дизайном молекулярных магнетиков на основе координационных соединений переходных (d-/f-) металлов [6–9].
Схема 1. Строение нитронилнитроксильных радикалов LR и HL
Нитроксильные радикалы, содержащие в качестве заместителя фенольный фрагмент, способны депротонироваться и выступать в качестве парамагнитных анионных лигандов, что обусловливает интерес к ним с целью получения гетероспиновых комплексов [10–12]. На примере нитронил- и имино-нитроксилов, содержащих 2-гидрокси-3R-5-нитрофенольный заместитель, показана склонность подобных радикалов к восстановительно-окислительным трансформациям, особенно в присутствии способных достаточно легко изменять степень окисления ионов переходных металлов, например Co(II), Mn(II), Fe(II) [13–16]. Такая особенность позволила разработать новый подход к синтезу многоспиновых координационных соединений. Наличие достаточно кислого протона фенольной группы также значительно осложняет получение комплексов при использовании данных нитроксилов в синтезе в недепротонированной форме. Стабилизации нитроксила в растворе и предотвращению его red-ox трансформаций может способствовать его введение в реакцию в анионной форме, например в виде солей щелочных металлов. Природа s-металла может оказывать значительное влияние не только на растворимость солей в органических растворителях, но и на особенности их строения и магнитных свойств [17, 18]. Так, было показано влияние природы s-металла на упаковку и, соответственно, энергию обменных взаимодействий между неспаренными электронами парамагнитных лигандов в соединениях с такими анион-радикалами, как 3,6-ди-трет-бутил-1,2-бензосемихинонат [19], п-(1-оксил-3-оксидо-4,4,5,5-тетраметил-2-имидазолин-2-ил)бензоат [20], производными 4H,8H-бис(1,2,5-оксадиазоло)[3,4-b:3′,4′-e]пиразина [21, 22], тетрацианоэтилен [23]. Следует отметить, что исследования, посвященные систематическому изучению структур и магнитных свойств соединений нитроксильных радикалов или же других парамагнитных лигандов c s-металлами по сравнению с комплексами d- и f-металлов, весьма немногочисленны — около 200 записей в Кембриджской базе структурных данных (ноябрь 2023 года) [24]. В настоящей работе мы описываем синтез серии солей Li, Na, K, Rb, Cs с депротонированным 2-(2-гидрокси-5-нитрофенил)-4,4,5,5-тетраметил-4,5-дигидро-1H-имидазол-3-оксид-1-оксилом HL (схема 1), особенности их строения и магнитные свойства.
ЭКСПЕРИМЕНТАЛЬНАЯ ЧАСТЬ
В работе использовали нитронилнитроксиль-ный радикал 2-(2-гидрокси-5-нитрофенил)-4,4,5,5-тетраметил-4,5-дигидро-1H-имидазол-3-оксид-1-оксил (HL), синтезированный по методике [25], LiOH (х.ч.), KOH (хч), NaHCO3 (ч.д.а.), RbOH (50% в H2O, Sigma-Aldrich), Cs2CO3 (х.ч.), ацетон (ос.ч.), гептан (ос.ч.), ацетонитрил (ос.ч.) и предварительно перегнанный метанол.
Синтез LiL. При комнатной температуре смесь HL (0.1 г, 0.34 ммоль) и LiOH (0.008 г, 0.34 ммоль) растворяли в 30 мл ацетона в течение 30 мин до полного растворения LiOH. Полученный раствор фильтровывали и на него наслаивали 5 мл гептана. Через 3 сут образовывались сине-зеленые кристаллы LiL призматической формы, которые отфильтровывали, промывали ацетоном и сушили током воздуха. Выход 0.07 г (70%).
Найдено, %: C 51.6; H 4.9; N 13.6. Для C13H15N3O5Li вычислено, %: C 51.9; H 5.0; N13.9.
Проведение данной реакции в воде с последующей перекристаллизацией образовавшегося продукта из смеси ацетон–гептан 1 : 1 приводило к образованию смеси, в которой были обнаружены кристаллы LiL и кристаллы двух модификаций гидрата – [Li(H2O)(L)]-I и [Li(H2O)L]-II.
Синтез NaL. При комнатной температуре смесь HL (0.1 г, 0.34 ммоль) и NaHCO3 (0.029 г, 0.34 ммоль) растворяли при перемешивании в 10 мл метанола в течение 2 ч до полного растворения NaHCO3. Полученный раствор упаривали, сухой остаток растворяли в 60 мл ацетона и раствор фильтровали. Через 3 сут образовывались темно-зеленые призматические кристаллы NaL, которые отфильтровывали, промывали ацетоном и сушили током воздуха. Выход 0.07 г (65 %).
Найдено, %: C 49.9;H 4.7; N 13.1. Для C13H15N3O5Na вычислено, %: C 49.4; H 4.8; N 13.2.
Синтез [KL(H2O)]. При комнатной температуре смесь HL (0.1 г, 0.34 ммоль) и KOH (0.02 г, 0.34 ммоль) растворяли в 15 мл метанола до полного растворения KOH. Полученный раствор упаривали досуха на ротационном испарителе, остаток растворяли в 30 мл ацетонитрила, фильтровали и оставляли при комнатной температуре в открытой колбе. Через ~2 суток кристаллизовался продукт [KL(H2O)] в виде сростков призматических темно-фиолетовых кристаллов, которые отфильтровывали, промывали ацетонитрилом и сушили током воздуха. Выход 0.1 г (84%).
Найдено, %: C 44.9; H 4.9; N 11.9. Для C13H17N3O6K вычислено, %: C 44.6; H 4.9; N 12.0.
При проведении данной реакции в MeOH без последующей перекристаллизации из CH3CN образовался [KL(MeOH)] в виде призматических монокристаллов темного цвета, но в чистом виде фазу выделить не удалось.
Если проводить реакцию между KOH и HL в смеси MeOH–CH2Cl2 (2 : 1) c последующей перекристаллизацией из смесей ацетон–гептан или ацетон–толуол (~1 : 1), кристаллизовалась неразделяемая смесь KL ∙ H2O и KL, а при перекристаллизации из CH3CN — смесь [KL(CH3CN)] и [KL(H2O)].
Синтез [RbL(H2O)]. При комнатной температуре смесь HL (0.05 г, 0.17 ммоль) и RbOH (0.035 г, 0.17 ммоль) растворяли при перемешивании в 10 мл воды в течение 30 мин до полного растворения HL, затем упаривали раствор досуха и экстрагировали 25 мл ацетона. Через ~3 сут кристаллизовался [RbL(H2O)] в виде призматических темных кристаллов, которые отфильтровывали, промывали ацетоном и сушили током воздуха. Выход 0.04 г (60%).
Найдено, %: C 39.6; H 4.3; N 10.5. Для C13H17N3O6Rb вычислено, %: C 39.4; H 4.3; N 10.6.
Синтез CsL. При комнатной температуре смесь HL (0.1 г, 0.34 ммоль) и Cs2CO3 (0.055 г, 0.17 ммоль) растворяли при перемешивании в 10 мл метанола в течение часа до полного растворения Cs2CO3, раствор фильтровали и оставляли для испарения растворителя в течение 2 сут в широкогорлой колбе. Затем добавляли 10 мл ацетонитрила и отфильтровывали раствор от порошкообразного белого вещества. В течение 5 сут кристаллизовался CsL в виде крупных призматических темных кристаллов, которые отфильтровывали, промывали ацетонитрилом от примесных продуктов разложения HL и сушили током воздуха. Выход 0.09 г (64%).
Найдено, %: C 36.8; H 3.5; N 9.8. Для C13H15N3O5Cs вычислено, %: C 36.6; H 3.5; N 9.9.
Использование в качестве стартового реагента CsOH приводило к образованию трудно разделимой смеси кристаллов, в которой в незначительном количестве присутствовали и кристаллы CsL.
РСА. Массивы отражений от монокристаллов получены на дифрактометрах фирмы Bruker AXS-Smart Apex II и Apex Duo (поглощение учтено по программе SADABS, версия 2.10 [26]). Структуры решены прямыми методами, уточнены полноматричным МНК в анизотропном приближении для всех неводородных атомов. Положения атомов Н рассчитаны геометрически и уточнены в модели “наездника”. Все расчеты по решению и уточнению структур проведены по комплексу программ SHELX [27, 28]. Кристаллографические характеристики соединений и детали экспериментов приведены в табл. 1 и 2.
Таблица 1. Кристаллографические характеристики, детали эксперимента и уточнения структур солей Li, Rb и Cs
Параметр | Значение | ||||
LiL | [Li(H2O)(L)]-I | [Li(H2O)(L)]-II | [RbL(H2O)] | CsL | |
Брутто-формула | C13H15N3O5Li | C26H34N6O12Li2 | C26H34N6O12Li2 | C13H17N3O6Rb | C13H15N3O5Cs |
М | 300.22 | 636.47 | 636.47 | 396.76 | 426.19 |
T, K | 296 | 296 | 296 | 296 | 296 |
Излучение | Cu | Cu | Cu | Cu | Mo |
Пр. группа; Z | P; 2 | P21/c; 2 | P, 1 | Rc, 36 | P21/n, 4 |
a, Å | 7.4454(13) | 10.6689(4) | 7.4543(2) | 18.3185(13) | 6.9846(2) |
b, Å | 9.4297(18) | 19.2120(7) | 10.1317(3) | 18.3185(13) | 11.4770(2) |
c, Å | 11.595(2) | 7.4246(3) | 10.7206(3) | 51.325(4) | 20.3849(5) |
α, град | 89.375(10) | 90 | 102.8791(11) | 90 | 90 |
β, град | 72.939(8) | 98.8302(18) | 100.1804(12) | 90 | 99.312(2) |
γ, град | 70.038(9) | 90 | 98.4217(11) | 120 | 90 |
V, Å3 | 727.9(2) | 1503.79(10) | 762.16(4) | 14916(2) | 1612.56(7) |
ρ(выч.), г см–3 | 1.370 | 1.406 | 1.387 | 1.590 | 1.755 |
θmax, град | 68.054 | 67.886 | 67.709 | 67.834 | 27.611 |
Число измеренных/независимых отражений | 8920/2585 | 11035/2709 | 9723/9723 | 55230/2997 | 13361/3710 |
Rint | 0.0172 | 0.0232 | 0.0312 | 0.0300 | 0.0439 |
Число отражений I >2σ(I) | 2382 | 2444 | 9128 | 2796 | 2535 |
Число уточняемых параметров | 244 | 260 | 278 | 278 | 199 |
R1/wR2 (I > 2σ(I)) | 0.0404/0.1118 | 0.0349/0.0958 | 0.0338/0.0909 | 0.0304/0.0881 | 0.0319/0.0502 |
GООF | 1.048 | 1.036 | 1.051 | 1.103 | 0.872 |
CCDC | 2342497 | 2342498 | 2342501 | 2342505 | 2342500 |
Таблица 2. Кристаллографические характеристики, детали эксперимента и уточнения структур солей Na и K
Соединение | NaL | [KL(H2O)] | [KL(MeCN)] | KL | [KL(MeOH)] |
Брутто-формула | C13H15N3O5Na | C13H17N3O6K | C15H18N4O5K | C13H15N3O5K | C14H19N3O6K |
М | 316.27 | 350.39 | 373.43 | 332.38 | 364.42 |
T, K | 296 | 296 | 296 | 296 | 296 |
Излучение | Mo | Mo | Mo | Cu | Mo |
Пр. группа, Z | P21/n, 4 | Rc, 36 | Pca21, 8 | P21/n, 4 | P21/с, 4 |
a, Å | 6.7816(2) | 18.1510(7) | 18.788(3) | 11.4487(7) | 11.1391(10) |
b, Å | 21.5351(8) | 18.1510(7) | 7.3971(10) | 7.6799(5) | 10.5388(7) |
c, Å | 10.2478(4) | 50.269(3) | 26.060(4) | 16.8214(11) | 15.4532(10) |
α, град | 90 | 90 | 90 | 90 | 90 |
β, град | 92.505(2) | 90 | 90 | 99.337(4) | 110.946(3) |
γ, град | 90 | 120 | 90 | 90 | 90 |
V, Å3 | 1495.18(9) | 14342.8(14) | 3621.8(9) | 1459.43(16) | 1694.2(2) |
ρ(выч.), г см–3 | 1.405 | 1.460 | 1.370 | 1.513 | 1.429 |
θmax, град | 29.149 | 29.170 | 29.359 | 67.790 | 28.312 |
Число отражений измеренных/независимых | 14771/4004 | 89405/918 | 18190/6218 | 12683/2618 | 15655/4174 |
Rint | 0.0528 | 0.0857 | 0.1324 | 0.0756 | 0.0538 |
Число отражений I >2σ(I) | 2150 | 2137 | 1867 | 2087 | 1948 |
Число уточняемых параметров | 204 | 277 | 451 | 259 | 282 |
R1/wR2 (I > 2σ(I)) | 0.0486/0.1115 | 0.0389/0.0920 | 0.0441/0.652 | 0.0385/0.0976 | 0.0428/0.0797 |
GООF | 0.908 | 0.924 | 0.659 | 1.014 | 0.824 |
CCDC | 2342502 | 2342506 | 2342504 | 2342499 | 2342503 |
Полная информация по структурам содержится в Кембриджском банке структурных данных (CCDC № 2342497–2342506; deposit@ccdc.cam.ac.uk; http://www.ccdc.cam.ac.uk/data_request/cif).
Магнитную восприимчивость поликристаллических образцов измеряли на SQUID-магнетометре MPMSXL (Quantum Design) в интервале температур 2−310 K в магнитном поле 5 кЭ. Парамагнитные составляющие магнитной восприимчивости c определяли с учетом диамагнитного вклада, оцененного из констант Паскаля. Анализ магнитных свойств проводили с использованием гамильтониана H = –2∑JijSiSj. Анализ экспериментальных данных проводили с помощью программы PHI [29].
Квантово-химические расчеты выполняли с помощью программного пакета ORCA 5.0.3 [30] в рамках теории функционала плотности с использованием функционала UB3LYP [31, 32] и базисного набора def2-TZVP [33]. Параметры обменных взаимодействий рассчитывали с помощью метода нарушенной симметрии по схеме Ямагучи [34].
РЕЗУЛЬТАТЫ И ИХ ОБСУЖДЕНИЕ
Соли щелочных металлов Li, Na, K, Rb, Cs получали при взаимодействии HL с соответствующими гидроксидами, но в случае соединений Na и Cs более удобным оказалось использование гидрокарбоната NaHCO3 или карбоната Cs2CO3 соответственно. Получение кристаллических фаз соединений s-металлов с нитроксилом L в индивидуальном виде и с большими выходами требовало тщательного подбора условий проведения реакции и последующей кристаллизации.
В реакции HL с LiOH при получения основного продукта LiL в качестве растворителя использовали ацетон с последующим наслаиванием на полученный раствор гептана. Проведение данной реакции в воде с последующей перекристаллизацией продукта из ацетона с добавлением гептана приводило к образованию смеси кристаллов LiL и двух полиморфных модификаций гидрата [LiL(H2O)]-I и [LiL(H2O)]-II.
Структура LiL образована полимерными лентами (рис. 1), в которых каждый L, реализуя тритопную функцию m3-ONO,ONO,OPh, связывает три атома лития так, что нитронилнитроксильный фрагмент {O•–N–C=N→O} и атом OPh служат мостиками между парами атомов Li. Окружение атома Li — незначительно искаженный тетраэдр из двух атомов OPh депротонированной фенольной группы и двух атомов ONO нитронилнитроксильного фрагмента L с расстояниями Li–OPh 1.891(3) и 1.924(3) и Li–ONO 1.916(3) и 1.993(3) Å (табл. 1). Длины связей в N–O-группах нитроксила близки (1.291(1) и 1.283(2) Å), но значения углов LiON при этих атомах различны (118.1(1)° и 140.7(1)°; табл. 3).
Рис. 1. Фрагмент структуры LiL и расположение лент в кристалле. Здесь и далее серым цветом показан углеродный скелет, красным — O, синим — N, розовым — Li. Атомы H и CH3-группы HL не показаны
Таблица 3. Стереохимические характеристики (Å, град) соединений Li и Na
Связь | [LiL] | [LiL(H2O)]-I | [LiL(H2O)]-II | [NaL] |
d, Å | ||||
M–ONO | 1.993(3), 1.916(3) | 2.011(3) | 1.958(3) | 2.360(1) 2.376(1) |
M–OPh | 1.891(3), 1.924(3) | 1.921(3), 1.967(3) | 1.877(2), 1.973(2) | 2.282(1) 2.373(1) |
M–OOw | 1.960(3) | 1.937(3) | ||
O–N | 1.291(1), 1.283(2) | 1.295(1), 1.275(2) | 1.292(1), 1.275(2) | 1.289(2), 1.283(2) |
Угол | ω, град | |||
MONON | 118.1(1), 140.7(1) | 117.8(1) | 122.2(1) | 131.3(1) 117.4(1) |
MOPhM | 87.4(1) | 89.1(1) | 85.9(1) | 110.06(5) |
MONOM | 100.36(5) | |||
Расстояние | d, Å | |||
M…M | 2.636(5) | 2.729(5) | 2.621(5) | 3.576(1), 3.880(1) |
ONO…ONO | 3.288(2) | 3.806(2) | 4.146(2) | 2.714(1) |
ONO…OW | 2.849(1) | 2.864(2) | ||
ONO2…OW | 2.997(2), 2.916(2) | 2.997(2), 2.930(2) | ||
Две полиморфные модификации [LiL(H2O)] образованы однотипными биядерными молекулами I и II (рис. 2). В этих молекулах атом OPh аниона L соединяет два атома Li, один из которых связан также с атомом ONO того же парамагнитного аниона, образуя 7-членный хелатный цикл. Дополняют окружение атома Li до тетраэдра атом OPh второго L и атом OW молекулы воды (табл. 3). Различия в геометрии молекул I и II — в значениях длин связей L–ONO 2.011 и 1.958 Å, углов MONON 117.8° и 122.2° и углов в центросимметричном фрагменте {Li(OPh)2Li} 89.1° и 85.9° (табл. 3) – приводят к изменению их упаковки. В обоих случаях — это слоистые структуры, построенные на водородных связях между молекулами воды и атомами ONO2 нитрогрупп. Кроме того, следует отметить внутрислоевые H-связи ONO…OW (~2.85 Å). Значительно различающиеся магнитно важные контакты между «свободными» атомами нитроксилов ONO…ONO, равные 3.806 Å в I и 4.146 Å в II находятся, соответственно, внутри и между слоями.
Рис. 2. Строение молекул [Li(H2O)(L)]-I (a) и [Li(H2O)(L)]-II (б) и фрагменты структур с кратчайшими контактами ONO…ONO (в, I) и (г, II)
Соль NaL удалось получить в виде твердой фазы только после перекристаллизации из ацетона продукта взаимодействия HL с NaHCO3 в метаноле. В кристалле искаженно-октаэдрическое окружение атома Na образуют шесть атомов кислорода — 2OPh + 2ONO + 2ONO2 с расстояниями 2.282(1)–2.376(1) Å (табл. 2). При этом OPh и ONO связывают по два атома Na (рис. 3) в плоских центросимметричных циклах {Na(O)2Na} с углами при атомах кислорода, равными 110.1° при OPh и 100.4° при ONO. В окружении атома Na расстояние ONO…ONO равно 2.714 Å, тогда как между «свободными» атомами ONO — это атомы из соседних слоев — они превышают 6 Å.
Рис. 3. Фрагмент структуры NaL (а) и слоя (б)
Соль KL легко кристаллизуется в виде сольватов. Так при проведении реакции между KOH и HL в MeOH была получена соль состава [KL(MeOH)]. При взаимодействии KOH с HL в смеси MeOH/CH2Cl2 после перекристаллизации образовавшегося продукта из ацетонитрила или смесей ацетон/гептан и ацетон/толуол в массе кристаллов были обнаружены соответственно [KL(CH3CN)], [KL(H2O)] и KL.
Структуры KL, [KL(MeOH)] и [KL(CH3CN)] слоистые. В KL анион L связывает пять атомов K (рис. 4) с расстояниями K–ONO и K–OPh 2.655–2.822 Å, дополняющих его окружение до тригональной призмы K–ONO2 2.901 и 2.930 Å (табл. 4). В структуре колонки атомов K разделены нитрофенольными фрагментами L. Внутри колонок нитронилнитроксильные фрагменты являются мостиками между атомами K со слегка отличающимися расстояниями K–ONO (2.750 и 2.822 Å) и значениями углов KONON (113.8 и 135.7°), но эти различия не влияют на длины связей в группах N–O.
Рис. 4. Окружение атома K, аниона L и фрагмент слоя в структуре KL
Таблица 4. Стереохимические характеристики (Å, град) соединений K
Связь | KL | [KL(MeCN)] | [KL(MeOH)] | [KL(H2O)] |
d, Å | ||||
M–ONO | 2.750(1) 2.822(2) | 2.736(7), 2.826(7) 2.718(7), 2.788(8) | 2.750(1) 2.636(2) | 2.752(2) 2.832(2) |
M–OPh | 2.655(1) 2.711(1) | 2.648(7), 2.693(7) 2.649(7), 2.690(7) | 2.824(1) 3.162(2) | 2.994(2) |
M–OOw/Nx | 3.018(12), 3.063(13) | 2.708(2) 3.032(3) | 2.732(2) | |
M–ONO2 | 2.901(2) 2.930(2) | 2.872(7), 3.000(8) 2.882(7), 3.003(8) | 2.712(2) | 2.900(2) 2.675(2) |
O–N | 1.283(2) 1.282(2) | 1.283(8), 1.274(9) 1.269(9), 1.288(9) | 1.284(2) 1.284(2) | 1.283(2) 1.281(2) |
Угол | ω, град | |||
MONON | 113.8(1) 135.7(1) | 133.6(6), 133.2(6) 130.9(6), 134.2(6) | 135.5(1) 142.6(1) | 126.3(1) 131.6(1) |
MOPhM | 110.89(5) | 96.6(2), 95.7(2) | 80.08(4) | |
MONOM | 91.1(2), 92.5(2) | 96.68(5) | ||
MOOwM | 84.31(6) | 92.53(6) | ||
Расстояние | d, Å | |||
ONO…ONO | 3.262(2) | 3.430(9) | 3.824(2) | 3.212(2), 3.929(2) |
M…M | 4.4197(5) 4.4198(5) | 3.959(4), 3.990(4) | 3.860(1) | 4.2317(9) 4.1725(9) |
В структурах [KL(CH3CN)] и [KL(MeOH)] в окружение атомов K входят молекулы растворителя — MeCN или MeOH. В 6- ([KL(MeOH)]) и 7-вершинниках ([KL(CH3CN)]) атомов K значения длин связей K–O и K–N находятся в интервале 2.648–3.162 Å. В структуре [KL(CH3CN)] атомы K образуют колонки (рис. 4 и 5a), тогда как в [KL(MeOH)] анионы L связывают между собой биядерные фрагменты {K(O)4K} (рис. 5б), в которых расстояния K…K наиболее короткие в данной серии соединений и равны 3.860 Å (табл. 4).
Рис. 5. Окружение L, атомов K и фрагменты структур [KL(CH3CN)] (a), [KL(MeOH)] (б) и [KL(H2O)] (в)
Структура гидрата [KL(H2O)] представляет собой сложный каркас (рис. 5в). В нем четыре независимых атома K, располагающихся на оси 3, имеют различное окружение: у K(1) – это 3ONO (2.752 Å) и 3ONO2 (2.899 Å); у K(2) – 3ONO3 (2.832 Å) и 3OPh)3 (2.994 Å); у K(3) – 6Ow (2.732 Å) и у K(4) – 6ONO2 (2.675 Å). Аналогичное строение имеет изоструктурная соль рубидия [RbL(H2O)] (рис. 6, табл. 5). Так же как [KL(H2O)], кристаллы [RbL(H2O)] были получены в результате перекристаллизации из ацетона продукта взаимодействия RbOH с HL в воде.
Рис. 6. Окружение L, атомов Rb и фрагмент структуры [RbL(H2O)]
Таблица 5. Стереохимические характеристики (Å, град) соединений Rb и Cs
Связь | [RbL(H2O)] | CsL |
d, Å | ||
M–ONO | 2.920(1), 2.853(1) | 3.011(2), 3.296(2) |
M–OPh | 3.083(1) | 2.837(2), 3.521(3), 3.648(3) |
M–OOw | 2.874(1) | |
M–ONO2 | 3.008(1), 2.8371(2) | 2.954(2) |
O–N | 1.280(2), 1.281(2) | 1.282(3), 1.279(3) |
Угол | ω, град | |
MONON | 126.5(1), 132.7(1) | 137.89(15), 108.51(17), 90.90(15) |
MOPhM | 113.73(7), 84.36(6) | |
MONOM | 96.16(3) | 87.4(1) |
MOOwM | 89.84(4) | |
Расстояние | d, Å | |
ONO…ONO | 3.339(3), 4.039(2) | 4.122(3), 4.847(3) |
M…M | 4.2639(4), 4.2955(5) | 4.3954(4), 5.3369(3) |
Качественные кристаллы соли цезия CsL удалось получить только при проведении реакции HL и Cs2CO3 в метаноле с последующей перекристаллизацией продукта из ацетонитрила. Структура данной соли необычна, поскольку, несмотря на наличие катиона с самым большим ионным радиусом, его окружение формируют всего семь атомов кислорода (рис. 7, табл. 5), причем три из них находятся на существенно более коротких расстояниях (2.837–3.011Å), чем остальные (3.296–3.648 Å). При этом расположение атома Cs относительно бензольного кольца L таково, что пара расстояний Cs–C оказывается близки к расстояниям Cs–O из второй группы.
Рис. 7. Окружение L, атомов Cs и фрагмент структуры CsL
Температурные зависимости эффективного магнитного момента (µэфф) для LiL, NaL, [KL(H2O)] и [RbL(H2O)] представлены на рис. 8 и 9. Значения µэфф в интервале температуры 50–300 K близки к теоретической чисто спиновой величине 1.73 µB для монорадикала. Уменьшение µэфф в области низких температур указывает на наличие слабых антиферромагнитных обменных взаимодействий между спинами анион-радикалов в твердых фазах солей.
Рис. 8. Экспериментальные зависимости µэфф(T) и фрагменты структуры с наиболее эффективными каналами обменных взаимодействий для LiL (а) и NaL (б)
Рис. 9. Экспериментальные зависимости µэфф(T) для [KL(H2O)] (а) и [RbL(H2O)] (б) и фрагмент структуры [KL(H2O)] (в) с наиболее эффективными каналами обменных взаимодействий
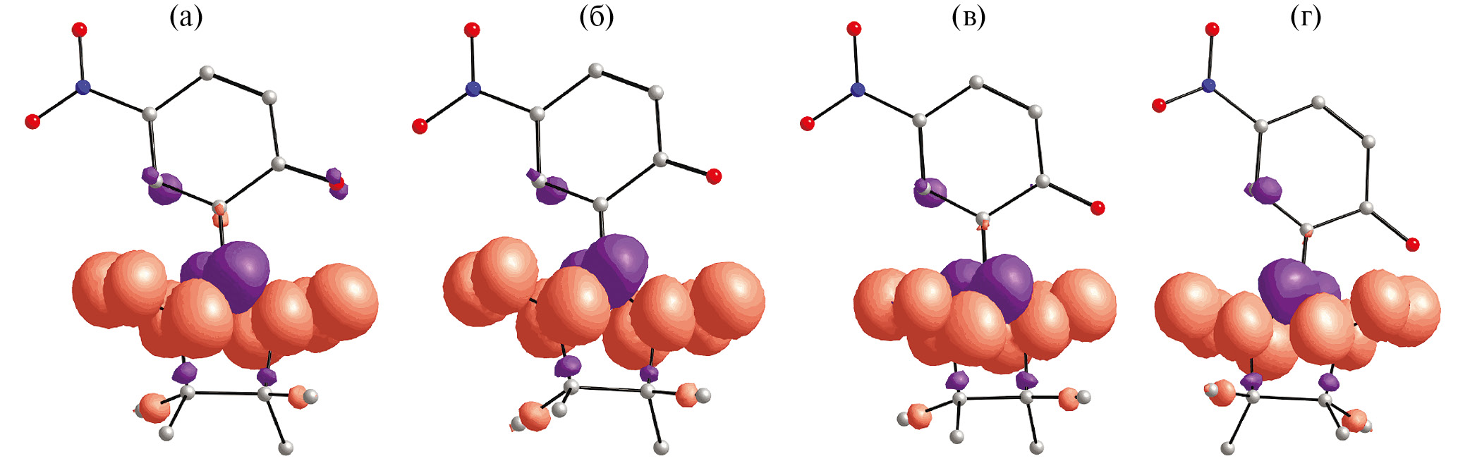
Согласно квантово-химическим расчетам спиновая плотность в анион-радикалах сосредоточена преимущественно на фрагментах {O•–N–C=N→O} (рис. 10). Кратчайшие магнитно важные контакты между этими фрагментами приведены в табл. 3–5. В случае соединения LiL в структуре можно выделить обменно-связанные ленты (рис. 8а), внутри которых присутствуют ферромагнитно связанные пары анион-радикалов (C…ONO 3.707 Å). Между парами реализуются антиферромагнитные обменные взаимодействия через атомы Li (ONO…ONO 3.288 и 5.609 Å), которые приводят к уменьшению µэфф при понижении температуры. Оптимальные значения параметров обменного взаимодействия J1, J2 и J3 составляют 6.35, –2.03 и –2.00 см–1 при g = 2.011 и коррелируют с расчетными значениями 17.0, –1.26 и 1.47 см–1. В случае соединения NaL в структуре можно выделить пары обменно-связанных анион-радикалов (ONO…ONO 2.714 Å), зависимость µэфф(T) хорошо описывается моделью димера (спин-Гамильтониан H = –2JS1S2) с оптимальными параметрами g-фактора и J, равными 1.97 и –6.71 см–1 соответственно (рассчитанное квантово-химически значение обмена составляет –5.77 см–1).
Рис. 10. Распределение спиновой плотности (поверхности с изозначением 0.0025 e/Å3) в анион-радикалах L в соединениях LiL (а), NaL (б), [KL(H2O)] (в) и [RbL(H2O)] (г). Спиновая плотность с положительным знаком показана оранжевым цветом, с отрицательным — фиолетовым. Атомы H были не показаны
Геометрия была взята из кристаллических структур соединений без оптимизации, спиновая плотность с положительным знаком отображена оранжевым цветом, с отрицательным знаком — фиолетовым.
В изоструктурных солях [KL(H2O)] и [RbL(H2O)] выделяются обменно-связанные тримеры с расстояниями ONO…ONO, соответственно, 3.212 и 3.339 Å (на рис. 9 в качестве примера показан тример в структуре [KL(H2O)]), в которых обменные взаимодействия между анион-радикалами реализуются через ион щелочного металла. Оптимальные значения g-факторов и параметров обменного взаимодействия, полученные при анализе экспериментальных зависимостей µэфф(T) составляют 2.016 и –2.46 см–1 для [KL(H2O)] и 2.002 и –1.21 см–1 для [RbL(H2O)] (спин-Гамильтониан H = –2J(S1S2 + S2S3 + S3S1)).
Таким образом, в результате проведенного исследования синтезирована и структурно охарактеризована серия парамагнитных солей s-элементов со спин-меченным нитрофенолом. Методом рентгеноструктурного анализа показано, что в соединениях состава ML, не содержащих молекулы растворителя, анион-радикал реализует максимально возможную дентатность и образует 7-членные хелатные циклы за счет связывания одним атомом M атомов кислорода нитроксила ONO и депротонированной фенольной группы OPh. Несмотря на существенные различия в размерах ионов металлов, в соединениях Na, K, Rb и Cs их координационное число не превышает 6 + 1, при этом в формировании окружения атомов металла принимают участие атомы кислорода нитрогруппы ONO2. С увеличением радиуса иона металла происходит и увеличение средних значений длин связей M–ONO (1.969, 2.368, 2.761, 2.886, 3.153 Å для L, Na, K, Rb и Cs). Парамагнитные соли имеют слоисто-полимерное или каркасное строение (молекулярные соединения получены только для Li) как за счет мостиковой функции нитронилнитроксильного фрагмента –M–{O•–N–C=N→O}–M–, так и водородных связей. В твердых фазах синтезированных солей реализуются преимущественно слабые антиферромагнитные обменные взаимодействия, энергия которых уменьшается с увеличением радиуса иона щелочного металла.
Авторы заявляют, что у них нет конфликта интересов.
ФИНАНСИРОВАНИЕ
Работа выполнена в рамках грантов РНФ 23-13-00014 (синтез, РСА и магнетохимия) и 23-73-01224 (квантово-химические расчеты).
About the authors
O. V. Kuznetsova
International Tomography Center of the Siberian Branch of the Russian Academy of Sciences
Author for correspondence.
Email: bus@tomo.nsc.ru
Russian Federation, Novosibirsk
G. V. Romanenko
International Tomography Center of the Siberian Branch of the Russian Academy of Sciences
Email: bus@tomo.nsc.ru
Russian Federation, Novosibirsk
P. A. Chernavin
International Tomography Center of the Siberian Branch of the Russian Academy of Sciences
Email: bus@tomo.nsc.ru
Russian Federation, Novosibirsk
G. A. Letyagin
International Tomography Center of the Siberian Branch of the Russian Academy of Sciences
Email: bus@tomo.nsc.ru
Russian Federation, Novosibirsk
A. S. Bogomyakov
International Tomography Center of the Siberian Branch of the Russian Academy of Sciences
Email: bus@tomo.nsc.ru
Russian Federation, Novosibirsk
References
- Stable Radicals: Fundamentals and Applied Aspects of Odd‐Electron Compounds / Ed. Hicks R.G., Chichester (UK): John Wiley & Sons, Ltd., 2010.
- Wang, Y., Frasconi, M., Stoddart, J.F. // ACS Cent. Sci. 2017. V. 3. P. 927. doi: 10.1021/acscentsci.7b00219
- Volodarsky, L.B. Reznikov, V.A., Ovcharenko, V.I. Synthetic Chemistry of Stable Nitroxides. CRC Press, 2017. doi: 10.1201/9780203710159
- Tretyakov E.V, Ovcharenko V.I. // Russ. Chem. Rev. 2009. V. 78. P. 971. doi: 10.1070/RC2009v078n11ABEH004093
- Likhtenshtein G.I. Nitroxides. Brief History, Fundamentals, and Recent Developments. Springer Series in Materials Science. Cham: Springer International Publishing, 2020. V. 292. doi: 10.1007/978-3-030-34822-9
- Ovcharenko V., Bagryanskaya E. // Spin-Crossover Materials / Ed. Halcrow M.A. Oxford (UK): John Wiley & Sons Ltd., 2013. P. 239.
- Demir S., Jeon I.-R., Long J.R., Harris T.D. // Coord. Chem. Rev. 2015. V. 289–290. P. 149. doi: 10.1016/j.ccr.2014.10.012
- Luneau, D. // Eur. J. Inorg. Chem. 2020. V. 2020. № 7. Р. 597. doi: 10.1002/ejic.201901210
- Meng X., Shi W. // Coord. Chem. Rev. 2019. V. 378. Р. 134. doi: 10.1016/j.ccr.2018.02.002
- Calancea S., Carrella L., Mocanu T. et al. // Eur. J. Inorg. Chem. 2021. V. 2021. № 6. P. 567. doi: 10.1002/ejic.202000954
- Răducă M., Martins D.O.T.A., Spinu C.A. et al. // Eur. J. Inorg. Chem. 2022. V. 202 2. № 16. Art. e202200128. doi: 10.1002/ejic.202200128
- Vaz M.G.F. // Coord. Chem. Rev. 2021. V. 427. P. 213611. doi: 10.1016/j.ccr.2020.213611
- Ovcharenko V., Kuznetsova O., Fursova E. et al. // Inorg. Chem. 2014. V. 53. P. 10033. doi: 10.1021/ic501787m
- Ovcharenko V., Kuznetsova O., Fursova E. et al. // Crystals. 2015. V. 5. P. 634. doi: 10.3390/cryst5040634
- Ovcharenko V., Kuznetsova O., Fursova E. et al. // Inorg. Chem. 2017. V. 56. P. 14567. doi: 10.1021/acs.inorgchem.7b02308
- Kuznetsova O.V.. Fursova E.Y.. Romanenko G.V. et al. // Russ. Chem. Bull. 2016. V. 65. P. 1167. doi: 10.1007/s11172-016-1432-x
- Blinou D.O., Zorina-Tikhonova E.N., Voronina J.K. et al. // Cryst. Growth Des. 2023. V. 23. P. 5571. doi: 10.1021/acs.cgd.3c00201
- Bazhina E.S., Shmelev M.A., Kiskin M.A., Eremenko I.L. // Russ. J. Coord. Chem. 2021. V. 47. P. 186. doi: 10.1134/S1070328421030015
- Fokin S., Letyagin G.A., Romanenko G.V. et al. // Russ. Chem. Bull. 2018. V. 67. P. 61. doi: 10.1007/s11172-018-2038-2
- Inoue K., Iwamura H. // Chem. Phys. Lett. 1993. V. 207. P. 551. doi: 10.1016/0009-2614(93)89046-K
- Ovcharenko V.I., Sheremetev A.B., Strizhenko K.V. et al. // Mendeleev Commun. 2021. V. 31. P. 784. doi: 10.1016/j.mencom.2021.11.005
- Ovcharenko V.I., Fokin S.V., Sheremetev A.B. et al. // J. Struct. Chem. 2022, V. 63. P. 1697. doi: 10.1134/S0022476622100158
- Her J.-H., Stephens P.W., Davidson R.A. et al. // J. Am. Chem. Soc. 2013. V. 135. P. 18060. doi: 10.1021/ja410818e
- Groom C.R., Bruno I.J., Lightfoot M.P., Ward S.C. // Acta Crystallogr. B. 2016. V. 72. P. 171. doi: 10.1107/S2052520616003954
- Tretyakov E.V., Eltsov I.V., Fokin S.V. et al. // Polyhedron. 2003. V. 22. P. 2499. doi: 10.1016/S0277-5387(03)00228-6
- Krause L., Herbst-Irmer R., Sheldrick G.M., Stalke D. // J. Appl. Crystallogr. 2015. V. 48. P. 3, doi: 10.1107/S1600576714022985
- Sheldrick G.M. // Acta Crystallogr. A. 2015. V. 71. P. 3. doi: 10.1107/S2053273314026370
- Sheldrick G.M. // Acta Crystallogr. C. 2015. V. 71. P. 3. doi: 10.1107/S2053229614024218
- Chilton N.F., Anderson R.P., Turner L.D. et al. // J. Comput. Chem. 2013. V. 34. № 13. P. 1164. doi: 10.1002/jcc.23234
- Neese F. // WIREs Comput. Mol. Sci. 2022. V.12. № 5. Art e1606. doi: 10.1002/wcms.1606
- Becke A.D. // Phys. Rev. A. 1988 V. 38. P. 3098. doi: 10.1103/PhysRevA.38.3098
- Lee C., Yang W., Parr R.G. // Phys. Rev. B. 1988. V. 37. P.785. doi: 10.1103/PhysRevB.37.785
- Weigend F. // Phys. Chem. Chem. Phys. 2006. V. 8. P. 1057. doi: 10.1039/b515623h
- Shoji M., Koizumi K., Kitagawa Y. et al. // Phys. Lett. 2006. V. 432. P. 343. doi: 10.1016/j.cplett.2006.10.023
Supplementary files













