Characteristic Features of the Synthesis of 2,1,3-Benzothiadiazole-Substituted 1,3-Iminophosphine and Platinum Complex of this Compound
- Autores: Khisamov R.M.1, Konchenko S.N.1, Sukhikh T.S.1
-
Afiliações:
- Nikolaev Institute of Inorganic Chemistry of the Siberian Branch of the Russian Academy of Sciences
- Edição: Volume 50, Nº 10 (2024)
- Páginas: 679-692
- Seção: Articles
- URL: https://journals.rcsi.science/0132-344X/article/view/273477
- DOI: https://doi.org/10.31857/S0132344X24100059
- EDN: https://elibrary.ru/LPQBRV
- ID: 273477
Citar
Texto integral
Resumo
In an attempt to synthesize a new iminomethylphosphine, tBuC(Ph2P)=N-Btd (Btd = 2,1,3-benzothiadiazole) by a three-step procedure including (1) NH2-Btd + tBuC(=O)Cl → tBuC(=O)NH-Btd; (2) tBuC(=O)NH-Btd + SOCl2 → tBuC(Cl)=N-Btd; (3) tBuC(Cl)=N-Btd + Ph2PSiMe3 → tBuC(Ph2P)=N-Btd, it was found that the second step is accompanied by the chlorination of the carbocycle in the benzothiadiazole moiety. The reaction of the imidoyl chloride tBuC(Cl)=N-(7-Cl-Btd) formed in this reaction with Ph2PSiMe3 gave 1,3-iminomethylphosphine tBuC(Ph2P)=N-(7-Cl-Btd) (PC=N). The byproducts formed in this step include 1,3-aminomethylphosphine oxide tBuC{Ph2P(O)}NH-(7-Cl-Btd) (POCN) and (Ph2POx)2,, resulting from partial oxidation and hydrolysis. The reactions of PC=N and POCN with [Pt(COD)Cl2] (COD = 1.3-cyclooctadiene) were studied. In the case of PC=N, the reaction affords the [Pt(PC=N)2Cl2] complex. In the latter case, cleavage of the P–C bond in POCN takes place, and [PtCl2(Ph2POH)2](POCN) and [Pt(CH3CN){tBuC-NH-(7-Cl-Btd)}Cl]. are isolated from the reaction mixture. The structures of the new compounds were established by single-crystal X-ray diffraction (tBuC(Cl)N-(7-Cl-Btd)), 2335152 (POCN · Et2O), 2335149 (Ph2POx)2, 2335153 ([Pt(PC=N)2Cl2]), 2335154 ([PtCl2(Ph2POH)2](POCN)), 2335151 ([Pt(CH3CN)(tBuC-NH-(7-Cl-Вbtd))Cl]).
Palavras-chave
Texto integral
P,N-Донорные лиганды, в которых P и N непосредственно связаны друг с другом (1,2-аминофосфины) или разделены одним атомом углерода (1,3-аминометилфосфины), являются перспективными полидентатными лигандами, сочетающими разные по жесткости донорные атомы. Эти лиганды способны образовывать комплексы с разными ионами металлов [1–7]. В первую очередь комплексы с P,N-лигандами исследуются как катализаторы широкого спектра химических реакций [8–12]. В частности, очень интересны 1,3-иминометилфосфины, содержащие фрагмент P–C=N, но работы по ним немногочисленны, хотя в последние годы их число возрастает в связи с успехами в разработке удобных синтетических подходов к этим соединениям [8, 13, 14]. Известны две схемы синтеза таких соединений, отличающихся конечной стадией: 1) присоединение фосфиновой группы по тройной связи N≡C в реакции трифлатной соли (R1–N≡C–R2)+ с вторичным фосфином (R3)2PH [14, 15] или 2) замещение хлорида в имидоилхлориде R2C(Cl)N–R1 на фосфидную группировку (R32P)- с использованием Ph2PLi [16] или Ph2PSiMe3 [13] (схема 1; R1–R3 = алкил или арил).
Схема 1. Общие подходы к синтезу 1,3-иминометилфосфинов
Как сами 1,3-иминометилфосфины, так и комплексы переходных металлов с ними проявляют каталитическую активность в реакциях олиго- и полимеризации этилена [13], гидролиза бензонитрила [15, 17], гидрирования CO2 [18] и др., что в значительной степени определяет большой интерес к ним. Вместе с тем круг известных 1,3-иминометилфосфинов в основном ограничен производными, содержащими алкильные (метил, изопропил [14–16, 19], циклогексил [14, 16]) или арильные (фенил [14–16], 2,6-диметилфенил, 2,6-диизопропилфенил [13], 2,4,6-триметилфенил [14]) заместители R1 при атоме N, функциональность которых связана в основном с их размером. Введение других функциональных заместителей, например гетероциклических, позволит придать новые функциональные свойства таким лигандам (люминофорность, редокс-активность и т.д.), поэтому разработка методов их синтеза и изучение координационной химии являются актуальными задачами.
В данной работе была предпринята попытка реализовать синтез 1,3-иминометилфосфина с гетероциклическим заместителем R1 – 2,1,3-бензотиадиазолом (Btd) по второму пути, т.е. фосфинированием имидоилхлорида дифенил(триметилсилил)фосфином, для чего необходимо было пройти следующую цепочку стадий:
, (1)
, (2)
. (3)
Промежуточные продукты — амид tBuC(=O)NH-Вtd и имидоилхлорид tBuC(Cl)=N-Вtd — ранее не были описаны, поэтому для их синтеза были применены известные общие для подобных соединений методы. Первая стадия этой схемы действительно приводит к амиду tBuC(=O)NH-Вtd, однако на второй стадии результат оказался неожиданным: вместо ожидаемого tBuC(Cl)=N-Вtd воспроизводимо получается имидоилхлорид, содержащий Cl в положении 7 2,1,3-бензотиадиазола — tBuC(Cl)=N-(7-Cl-Вtd). Использовав который в реакции с Ph2PSiMe3, удалось получить 1,3-иминометилфосфин tBuC(Ph2P)=N-(7-Cl-Вtd) (PC=N), взаимодействием которого с [Pt(COD)Cl2] (COD = = 1.3-циклооктадиен) был успешно синтезирован комплекс [Pt(PC=N)2Cl2]. В этой статье обсуждаются особенности протекания всех стадий синтеза лиганда PC=N и комплекса [Pt(PC=N)2Cl2]. Помимо этого, мы сообщаем о выделении и идентификации продукта окисления лиганда PC=N — 1,3-аминометилфосфиноксида tBuC{Ph2P(O)}NH-(7-Cl-Вtd) (POCN), а также результатах его реакции с [Pt(COD)Cl2].
ЭКСПЕРИМЕНТАЛЬНАЯ ЧАСТЬ
Операции по синтезу соединений проводили в атмосфере аргона с использованием аппаратуры Шленка. Растворители очищали перегонкой над распространенными осушителями. Коммерчески доступные реагенты использовали без дополнительной очистки. Загрузку веществ осуществляли в аргоновом перчаточном боксе. Анализ на C, H, N, S выполняли в Аналитической лаборатории ИНХ СО РАН на приборе Euro EA 3000. ИК-спектры регистрировали на спектрофотометре FT-801 (Simex) в таблетках KBr. Спектры ЯМР на ядрах 1H (500.13 МГц) и 31P{1H} (202.45 МГц) записывали в ЦКП ИНХ СО РАН на спектрометре Bruker DRX-500; сигналы растворителей использовали в качестве стандарта.
Ph2PSiMe3 получен по модифицированной методике [13]. К 30 мл тетрагидрофурана (ТГФ) добавляли Ph2PH (1.07 г, 5.75 ммоль) смесь охлаждали в изопропанольной бане до –60°C и по каплям прилили раствор BuLi в гексане (2.5 M, 2.30 мл). Смесь перемешивали в течение часа при –60°C, затем еще час при комнатной температуре (Ткомн), затем снова охлаждали и приливали по каплям триметилсилилхлорид (0.729 мл, 5.75 ммоль). Раствор оставляли медленно отогреваться до Ткомн, затем перемешивали в течение суток. Растворитель удаляли в вакууме, к оставшемуся небольшому количеству жидкости с осадком приливали 15 мл гексана и фильтровали полученный раствор через кизельгур. Этот раствор концентрировали до 5мл и перегоняли (фракция 94°C). Выход 0.93 г (62%). Спектр ЯМР 31P{1H} (C6D6) –56.6 м.д.
Синтез амида tBuC(=O)NH-Вtd. К твердому 4-амино-2,1,3-бензотиадиазолу (0.50 г, 3.31 ммоль) при Ткомн добавляли 0.46 мл триэтиламина и 5 мл хлористого метилена. К раствору приливали по каплям tBuC(=O)Cl, при этом постепенно образовывался осадок. Смесь перемешивали 2 сут, затем добавляли 20 мл хлористого метилена и 20 мл воды. Органическую жидкую фазу отделяли, промывали еще двумя порциями воды по 20 мл, затем 20 мл насыщенного раствора NaHCO3, после чего высушивали над Na2SO4. Раствор отделяли и концентрировали до минимального объема в вакууме. Оставшееся коричневое масло постепенно превратилось в кристаллический порошок. Выход 0.57 г (75%). Спектр ЯМР 1H (ДМСО-d6, м.д.) 9.27 (1H, с), 8.10 (1H, д), 7.78 (1H, д), 7.68 (1H, д), 1.30 (1H, с).
Синтез имидоилхлорида tBuC(Cl)=N-Btd-Cl. К твердому tBuC(=O)NH-Btd (0.50 г, 2,44 ммоль) добавляли 5 мл SOCl2, кипятили смесь с обратным холодильником при перемешивании 3 сут, затем удаляли легколетучие вещества в вакууме. Оставшееся масло постепенно превратилось в кристаллический порошок. Выход 0.44 г (65%). Продукт очищали экстракцией гексаном; бесцветные кристаллы пригодные для РСА отбирали из полученной массы. Спектр ЯМР 1H (ДМСО-d6, м.д.) 8.13 (1H, кв), 7.85 (1H, д), 1.32 (9H, с).
Реакция tBuC(Cl)=N-(7-Cl-Btd) с Ph2PSiMe3. Вариант А. К смеси tBuC(Cl)=N-(7-Cl-Вtd) (0.21 г, 0.73 ммоль) и Ph2PSiMe3 (0.38 г, 1.46 ммоль) добавляли 5 мл толуола и кипятили с обратным холодильником в течение 4 сут. Легколетучие вещества удалили в вакууме, образовалось масло, по данным 31P ЯМР спектроскопии состоящее из смеси продуктов. После экстракции масла гексаном из раствора выделено небольшое количество бесцветных кристаллов, по данным РСА оказавшихся (Ph2POx)2 (x = 1; ЯМР 31P{1H} в C6D6 27.6 м.д.). Нерастворившуюся в гексане часть масла экстрагировали диэтиловым эфиром (Et2O), из раствора постепенно образовалось небольшое количество (0.040 г) кристаллов, по данным РСА оказавшихся tBuC{Ph2P(O)}NH-(7-Cl-Вtd) · 0.5Et2O (POCN · · 0.5Et2O). Спектр ЯМР 31P{1H} (C6D6) 29.9 м.д. Спектр ЯМР 1H (C6D6, м.д.) 7.98 (2H, т), 7.80 (2H, т), 7.50 (3H, м), 7.34 (1H, д), 7.15 (3H, м), 6.26 (1H, д), 5.77 (1H, д), 4.22 (1H, с), 1.16 (9H, с).
Реакция tBuC(Cl)=N-(7-Cl-Вtd) с Ph2PSiMe3, приводящая к tBuC(Ph2P)=N-Вtd-Cl (PC=N). Вариант Б. К смеси tBuC(Cl)=N-(7-Cl-Вtd) (0.20 г, 0.69 ммоль) и Ph2PSiMe3 (0.36 г, 1.39 ммоль) добавляли 5 мл толуола, дегазировали и перемешивали при 75°C в течение 2 нед. Легколетучие вещества удаляли в вакууме, образовалось масло, по данным спектроскопии ЯМР 1H и 31P состоящее из смеси целевого иминометилфосфина PC=N и исходного Ph2PSiMe3 в мольном соотношении 1 : 3.
Реакция tBuC(Cl)=N-(7-Cl-Btd) с Ph2PSiMe3, приводящая к tBuC(Ph2P)=N-Btd-Cl (PC=N). Вариант В. К смеси tBuC(Cl)=N-(7-Cl-Вtd) (0.20 г, 0.69 ммоль) и Ph2PSiMe3 (0.18 г, 0.69 ммоль) добавляли 5 мл хлорбензола, дегазировали и перемешивали при 110°C в течение суток. Легколетучие вещества удаляли в вакууме, образовалось масло, по данным спектроскопии ЯМР 1H и 31P состоящее из смеси целевого иминометилфосфина PC=N и исходного Ph2PSiMe3 в мольном соотношении 1 : 0.2. Продукт очищали колоночной хроматографией диэтиловым эфиром на силикагеле (первая фракция). Желтый порошок, выход 0.08 г (25%). Спектр ЯМР 31P{1H} (C6D6) 4.6 м.д. Спектр ЯМР 1H (C6D6, м.д.) 7.36 (м, 4H), 6.74 (6H, м), 6.61 (1H, д), 6.18 (1H, д), 1.50 (9H, с).
Реакция PC=N с [Pt(COD)Cl2], приводящая к [PtCl2(PC=N)2]. К раствору PC=N (0.050 г, 0.114 ммоль) в 5 мл ацетонитрила добавляли [Pt(COD)Cl2] (0.043 г, 0.114 ммоль) и перемешивали при Ткомн в течение суток. Образовавшийся желтый осадок [PtCl2(PC=N)2] отделяли от раствора, промывали двумя порциями по 2 мл ацетонитрила и высушивали в вакууме. Выход 0.023 г (35%).
Найдено, %: C 48.4; H 3.9; N 6.7; S 5.2. Для C46H42N6S2P2Cl4Pt (М =1141.8) вычислено, %: C 48.4; H 3.7; N 7.4; S 5.6.
Занижение содержания по N может свидетельствовать о наличии примесей комплексов с обедненными по N лигандами, например с Ph2POH. ИК-спектр (ν, см–1): 528 с, 549 ср, 565 ср, 619 сл, 647 сл, 694 с, 748 с, 831 ср, 837 ср, 886 с, 917 ср, 943 ср, 962 ср, 1000 сл, 1034 ср, 1055 р, 1095 с, 1160 сл, 1191 сл, 1241 ср, 1275 сл, 1324 ср, 1362 ср, 1392 ср, 1436 с, 1481 сл, 1527 ср, 1587 сл, 1652 с, 2971 ср, 3053 ср. Кристаллы для РСА отобраны непосредственно из реакционной смеси. В порошковой дифрактограмме осадка (рис. 1) все наблюдаемые рефлексы соответствуют фазе [PtCl2(PC=N)2]. Она плохо растворима в ДМСО-d6 – в соответствующих спектрах ЯМР 31P{1H} и 1H не наблюдается заметных сигналов помимо остаточных протонов растворителя.
Рис. 1. Экспериментальная (exp.) и симулированная (sim.) порошковые дифрактограммы для [PtCl2(PC=N)2] (MoKα-излучение)
Реакция POCN с [Pt(COD)Cl2]. К смеси POCN, полученного в варианте реакции А (0.025 г, 0.055 ммоль), и [Pt(COD)Cl2] (0.021 г, 0.057 ммоль) добавляли 3 мл ацетонитрила и выдерживали без перемешивания при Ткомн в течение суток. Дальнейшую обработку реакционного раствора проводили двумя способами. 1. Раствор сконцентрировали до 1 мл и выдерживали при 40°C в течение недели. Постепенно образовалось небольшое количество оранжевых и бесцветных кристаллов, по данным РСА, являющихся [PtCl2(Ph2POH)2](POCN) и [Pt(COD)Cl2] соответственно. 2. Медленная конденсация диэтилового эфира к раствору в течение месяца привела к образованию красного масла и небольшого количества желтых кристаллов, по данным РСА являющихся [Pt(CH3CN){tBuC-NH-(7-Cl-Вtd)}Cl].
РСА монокристаллов получены в ЦКП ИНХ СО РАН на дифрактометре Bruker D8 Venture с детектором CMOS PHOTON III и микрофокусным источником IµS 3.0 (MoKα-излучение (λ = 0.71073 Å), фокусирующие зеркала Монтеля) при 150 K. Кристаллические структуры решены с помощью SHELXT [20] и уточнены с помощью программ SHELXL [21] с графическим интерфейсом OLEX2 [22]. Параметры атомного смещения для неводородных атомов уточнены анизотропно. В случае POCN · 0.5Et2O для атомов C и O диэтилового эфира с небольшой степенью разупорядочения, которое не учтено, наложены ограничения на анизотропию (RIGU). Атомы водорода во всех структурах расположены геометрически и уточнены в модели «наездника» за исключением водорода при аминогруппе в случае POCN · 0.5Et2O, позиция которого уточнена свободно с ограничением на длину связи N–H 0.88 Å. Кристаллографические данные исследованных структур приведены в табл. 1.
Таблица 1. Кристаллографические характеристики, данные эксперимента и результаты уточнения исследованных структур соединений
Параметр | tBuC(Cl)= =N-(7-Cl-Вtd) | POCN · 0.5Et2O | (Ph2POx)2 | [Pt(PC=N)2Cl2] | [PtCl2(Ph2POH)2] (POCN) | [Pt(CH3CN){tBuC-NH-(7-Cl-Btd)}Cl] |
Брутто-формула | C11H11N3SCl2 | C25H28N3O1.5SPCl | C24H20O1.0P2 | C46H42N6S2P2Cl4Pt | C47H45N3O3SP3Cl3Pt | C13H14N4SCl2Pt |
M | 288.19 | 492.98 | 386.50 | 1141.80 | 1126.27 | 524.33 |
Пр/ группа | C2/c | P21/n | P21/n | P21/c | P21/n | Pnma |
a, Å | 18.971(3) | 14.3649(7) | 9.4029(14) | 12.5462(14) | 11.2584(12) | 14.4686(3) |
b, Å | 6.0757(7) | 11.5870(6) | 11.0711(15) | 37.284(4) | 31.574(4) | 6.59470(10) |
c, Å | 22.480(3) | 16.5312(9) | 9.4305(11) | 10.3399(11) | 13.3669(13) | 16.9381(3) |
β, град | 98.031(4) | 114.186(2) | 91.497(4) | 106.167(3) | 104.093(4) | 90 |
V, Å3 | 2565.7(6) | 2510.0(2) | 981.4(2) | 4645.5(9) | 4608.6(9) | 1616.17(5) |
Z | 8 | 4 | 2 | 4 | 4 | 4 |
ρ (выч.), г/см3 | 1.492 | 1.305 | 1.308 | 1.633 | 1.623 | 2.155 |
μ, мм-1 | 0.649 | 0.324 | 0.233 | 3.450 | 3.413 | 9.139 |
F(000) | 1184.0 | 1036.0 | 404.0 | 2272.0 | 2248.0 | 992.0 |
Излучение | MoKα (λ = 0.71073) | MoKα (λ = 0.71073) | MoKα (λ = 0.71073) | MoKα (λ = 0.71073) | MoKα (λ = 0.71073) | MoKα (λ = 0.71073) |
Дипазон сбора данных по 2θ, град | 5.27–48.886 | 4.434–54.196 | 6.04–52.788 | 4.244–46.508 | 4.066– 52.044 | 5.574– 57.47 |
Диапазоны h, k, l | -22 ≤ h ≤ 17, -6 ≤ k ≤ 7, -26 ≤ l ≤ 25 | -18 ≤ h ≤ 18, -14 ≤ k ≤ 14, -21 ≤ l ≤ 21 | -11 ≤ h ≤ 8, -13 ≤ k ≤ 11, -11 ≤ l ≤ 10 | -13 ≤ h ≤ 13, -41 ≤ k ≤ 41, -11 ≤ l ≤ 11 | -13 ≤ h ≤ 13, -38 ≤ k ≤ 38, -16 ≤ l ≤ 16 | -19 ≤ h ≤ 16, -8 ≤ k ≤ 7, -22 ≤ l ≤ 22 |
Число измеренных рефлексов | 7698 | 43828 | 5131 | 32992 | 61003 | 16680 |
Число независимых рефлексов [Rint, Rσ] | 2094 [0.0641, 0.0673] | 5520 [0.0715, 0.0391] | 1953 [0.0371, 0.0485] | 6653 [0.1722, 0.1285] | 9069 [0.1223, 0.0838] | 2253 [0.0203, 0.0129] |
Число ограничений/ уточняемых параметров | 0/157 | 22/322 | 0/167 | 0/556 | 0/555 | 0/126 |
GOOF по F2 | 1.068 | 1.056 | 1.124 | 1.032 | 1.046 | 1.116 |
R-фактор (I > 2σ(I)) | R1 = 0.0676, wR2 = 0.1887 | R1 = 0.0583, wR2 = 0.1401 | R1 = 0.0701, wR2 = 0.1794 | R1 = 0.0635, wR2 = 0.1401 | R1 = 0.0423, wR2 = 0.0896 | R1 = 0.0135, wR2 = 0.0318 |
R-фактор (все данные) | R1 = 0.0997, wR2 = 0.2090 | R1 = 0.0882, wR2 = 0.1603 | R1 = 0.0801, wR2 = 0.1846 | R1 = 0.1003, wR2 = 0.1649 | R1 = 0.0646, wR2 = 0.1018 | R1 = 0.0145, wR2 = 0.0321 |
∆ρmax/∆ρmin, e/Å3 | 0.35/-0.67 | 0.85/-0.88 | 0.44/-0.30 | 1.26/-1.45 | 0.67/-0.68 | 0.88/-0.84 |
Структуры депонированы в Кембриджском банке структурных данных (CCDC № 2335149–2335154; https://www.ccdc.cam.ac.uk/).
Порошковая дифрактограмма [PtCl2(PC=N)2] записана на том же дифрактометре (MoKα-излучение) при 150 K. Образец готовили путем перетирания порошка и нанесения его на лавсановую петлю с небольшим количеством эпоксидной смолы. Методом φ-сканирования (360°) получены дебаеграммы со сплошными дифракционными дугами [23, 24]. Для снижения эффекта преимущественной ориентации было сделано по 5 сканов при разных положениях гониометра по ω от –240° до 0°. Коррекция на внешний стандарт (α-Al2O3) и интегрирование проведены с использованием программы Dioptas [25].
РЕЗУЛЬТАТЫ И ИХ ОБСУЖДЕНИЕ
Получение 1,3-иминометилфосфина. Синтез 1,3-иминометилфосфина был осуществлен в результате последовательной реализации трех стадий, представленных на схеме 2. Конденсация 4-амино-2,1,3-бензотиадиазола (NH2-Вtd) и пивалоилхлорида ожидаемо привела к соответствующему амиду tBuC(=O)NH-btd с приемлемым выходом. Однако взаимодействие tBuC(=O)NH-Вtd с хлорирующим агентом SOCl2 протекает не столь однозначно: согласно данным спектроскопии ЯМР 1H, их реакция при Ткомн приводит только к замещению атома H в положении 7 карбоцикла на Cl. Дальнейшее хлорирование по углероду C(O) протекает при кипячении реакционной смеси. Через сутки соотношение сигналов имидоилхлорида tBuC(Cl)=N-(7-Cl-Вtd) и исходного амида составило 1 : 0.7, а через 3 сут 1 : 0.1. Кристаллический tBuC(Cl)= =N-(7-Cl-Вtd) получен удалением легколетучих соединений с последующей экстракцией гексаном. Таким образом, ожидаемый имидоилхлорид tBuC(Cl)=N-Вtd, не содержащий хлора в карбоцикле, получить в данных условиях нельзя, поскольку соответствующая стадия замещения по карбоциклу протекает значительно быстрее.
Схема 2. Синтез 1,3-иминометилфосфина PC=N
Проведен ряд экспериментов по синтезу целевого 1,3-иминометилфосфина PC=N, и выявлены следующие особенности протекания реакции.
- Реагенты tBuC(Cl)=N-(7-Cl-Вtd) и Ph2PSiMe3 чувствительны к действию кислорода и воды, и даже минимальный контакт с атмосферой воздуха приводит к побочным продуктам окисления и/или гидролиза. Так, при кипячении реагентов в толуоле с обратным холодильником и масляным затвором (вариант реакции А, см. экспериментальную часть), допускающим попадание небольшого количества воздуха, были выделены в небольшом количестве кристаллы (Ph2POx)2 (x = 1; см. обсуждение структур) и tBuC{Ph2P(O)}NH-(7-Cl-Вtd) (POCN, схема 3), содержащие атом P(V) и идентифицированные методом РСА.
- Проведение реакции возможно в относительно легкокипящем толуоле (вариант Б), только оптимальное время кипячения составляет две недели. В случае более высококипящего хлорбензола (вариант В) время реакции сокращается до суток. 3. Введение избытка Ph2PSiMe3 в реакционную смесь не приводит к замещению атома Cl в карбоцикле — наблюдается замещение только в имидоилхлоридном фрагменте. 4. Целевой 1,3-иминометилфосфин образуется в смеси с исходным Ph2PSiMe3 в виде масла; дальнейшее выдерживание смеси при нагревании до 100°C в динамическом вакууме не приводит к полному испарению Ph2PSiMe3. Попытки очистки продукта перекристаллизацией из гексана или диэтилового эфира не привели к желаемому результату. Наибольшей чистоты удалось добиться хроматографией, но в этом случае конечный выход PC=N оказался низким.
Схема 3. Побочная реакция образования 1,3-аминометилфосфиноксида POCN, проходящая в присутствии воздуха
Реакции с [Pt(COD)Cl2]. Реакция [Pt(COD)Cl2] с PC=N в ацетонитриле при Ткомн приводит к образованию соответствующего комплекса [Pt(PC=N)2Cl2] (схема 4), выделенного в кристаллическом виде. В этих условиях лиганд PC=N не претерпевает разрыва связи P–C в присутствии Pt(II), как это наблюдалось в 1,3-аминометилфосфине (PCN-pbt, схема 4) с фенилбензотиазольным заместителем [26, 27]. В том случае в подобных условиях образуются кристаллические фазы, содержащие анион [Pt(PPh2)2Cl2]2–. Этот процесс протекает при Ткомн в течение часа, а соединения образуются из реакционной смеси через 3–7 дней. В полученном в данной работе 1,3-аминометилфосфиноксиде POCN разрыв связи P–C также происходит, но медленнее. Так, в реакционной смеси методом РСА наряду с исходным [Pt(COD)Cl2] было установлено строение соединения [PtCl2(Ph2POH)2](POCN), которое свидетельствует о превращении двух эквивалентов POCN в Ph2POH и сохранении третьего. Кроме того, в смеси продуктов были обнаружены кристаллы [Pt(CH3CN){tBuC-NH-(7-Cl-Вtd)}Cl], содержащие бензотиадиазольный остаток, депротонированный по карбоциклу.
Схема 4. Реакции иминометилфосфина PC=N и аминометилфосфинов PCN-Рbt [26] и POCN с [Pt(COD)Cl2]
Кристаллические структуры. В структуре (Ph2POx)2, согласно РСА, имеется разупорядочение всех атомов. По геометрическим характеристикам из наиболее вероятных вариантов структуры можно выбрать единственный вариант, в котором присутствует молекула Ph2P(Ox/2)– –P(Ox/2)Ph2, разупорядоченая по двум позициям с заселенностью 84/16%, как показано на рис. 2. Атомы O имеют меньшую заселенность позиций, чем остальные, что означает частичное окисление фосфина вместо полного. Иными словами, помимо вышеупомянутого ориентационного разупорядочения основной части молекулы имеется позиционное, связанное с наличием фрагментов Ph2P и Ph2P(O) в одной позиции. Уточнение заселенности двух независимых атомов O дало примерно 42 и 8%, т.е. в брутто-формуле x = 1. Длины связей P–P (2.20 Å) и P=O (1.38 Å) близки к таковым в опубликованной структуре Ph2P(O)–P(O)Ph2 · C6H6 (код КБСД OCUQIM) [28]. В структурах с неокисленной формой Ph2P–PPh2 расстояние P–P 2.22 и 2.25 Å (коды КБСД BAPBOJ [29] и BAPBOJ01 [30]) несколько длиннее, поэтому наличие в нашей структуре варианта с этой формой менее вероятно, но принципиально тоже возможно.
Рис. 2. Строение разупорядоченной молекулы (Ph2POx)2, атомы H не показаны. Основная позиция показана цветом, минорная — черным. Указаны заселенности атомов P и O
Общим в строении полученных соединений POCN · 0.5Et2O (рис. 3), [PtCl2(Ph2POH)2](POCN) (рис. 4а) и [Pt(CH3CN){tBuC-NH-(7-Cl-Btd)}Cl] (рис. 5а) является наличие внутримолекулярной водородной связи N–H···N в фрагменте NH-Btd. Благодаря ей, а также из-за сопряжения неподеленной электронной пары N(H) с ароматической частью Btd, фрагмент C-N-Btd является плоским, т.е. торсионный угол (N)C–C–N–C близок к 180°. Такое строение наблюдается для большинства найденных в КБСД структур с фрагментом {NH-Btd} (около 40). Исключение составляют комплекс [CuCl(Ph2 PC(Ph)-NH-Btd)(Py)]2 (Py = пиридин) [31], в котором торсионный угол составляет 19.6°, а также хлоридные и нитратные соли производных с пиридиниевыми заместителями (116°–127°) [32]. Такие менее выгодные конформации стабилизированы другими контактами. В структурах [Pt (PC=N)2Cl2] (рис. 4б) и tBuC(Cl)=N-(7-Cl-Btd) (рис. 5б) без протона при атоме N соответствующий торсионный угол близок к 90°.
Рис. 3. Строение одиночной молекулы 1,3-аминометилфосфина в POCN · 0.5Et2O (а) и пары молекул с контактом между атомами (C)H и O (б; остальные атомы H не показаны)
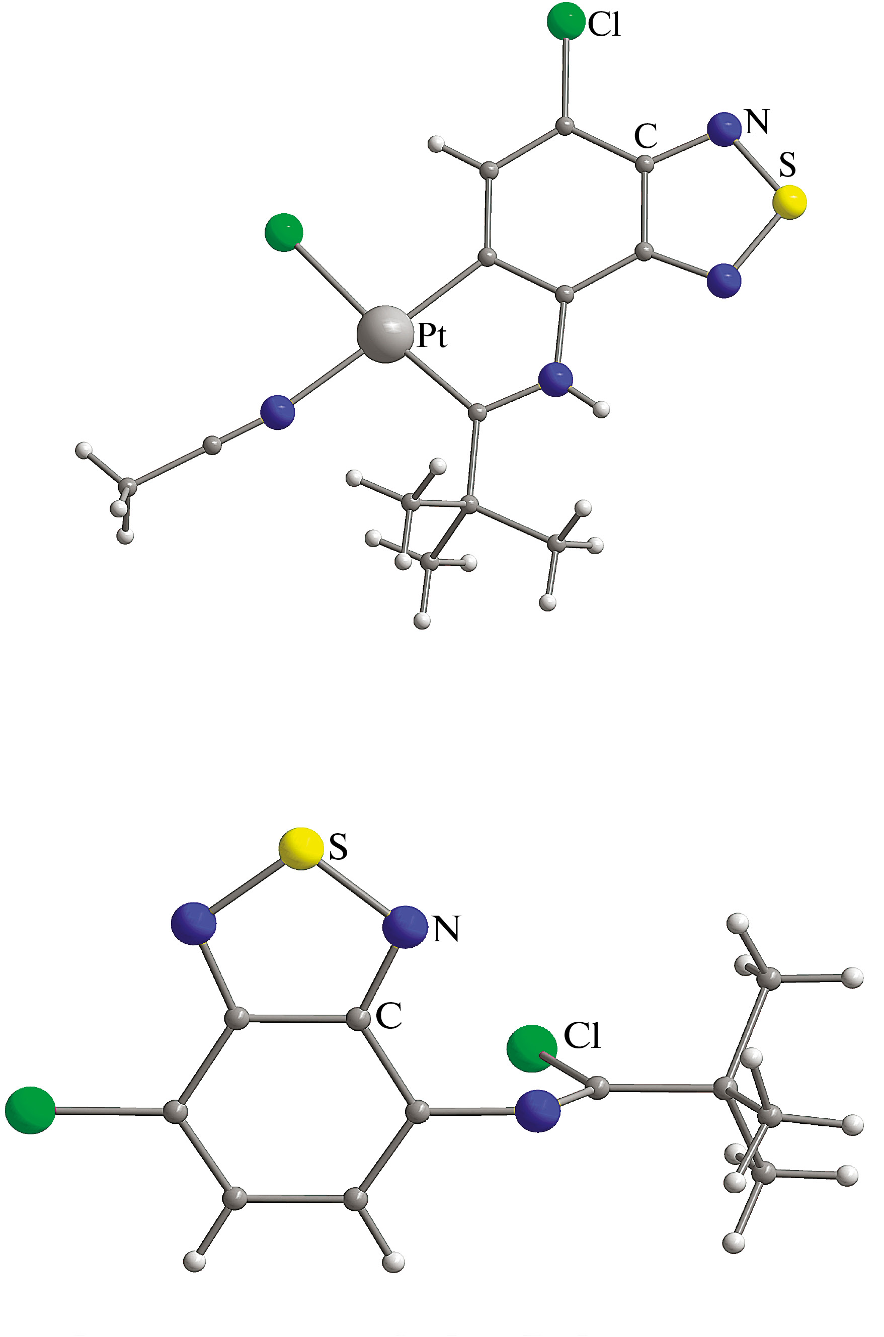
Рис. 4. Строение [PtCl2(Ph2POH)2](POCN) (а); атомы H за исключением участвующих в водородных связях не показаны, и [Pt(PC=N)2Cl2] (б), атомы H не показаны
Рис. 5. Строение [Pt(CH3CN){tBuC-NH-(7-Cl-Btd)}Cl] (а) и tBuC(Cl)=N-(7-Cl-Btd) (б)
Строение молекулы в фазе POCN подобно таковому в структурах двух кристаллических модификаций Ph2P(O)C(Ph)-NH-Btd с фенильным заместителем вместо трет-бутильного и без атома Cl [33]. В кристаллической упаковке всех этих структур можно выделить одинаковый мотив: атом (C)H метильного фрагмента одной молекулы направлен на атом O соседней молекулы (рис. 3б). Это обусловлено одинаковой формой молекул, которые упаковываются в стопки по принципу «выступ»–«впадина», как обсуждалось ранее [33]. Геометрические параметры молекулы POCN в сокристаллизате [PtCl2(Ph2POH)2](POCN) (рис. 4а) также укладываются в описываемый ряд. В частности, в этой молекуле расстояние P=O составляет 1.51 Å. В нейтральном комплексе [PtCl2 (Ph2POH)2] этой же фазы расстояние P–O заметно длиннее (1.58 и 1.62 Å), что позволяет приписать наличие протона при атомах O. Одна из соответствующих групп (P)OH участвует в межмолекулярной водородной связи с атомом кислорода POCN (расстояние O···O 2.50 Å), а вторая — во внутримолекулярной с хлоридом (расстояние O···Cl 2.98 Å).
В [Pt(PC=N)2Cl2] для иминометилфосфина координированы монодентатно атомами P, а атомы N в координации не участвуют (рис. 4б). Структур комплексов Pt или Pd с иминометилфосфинами в КБСД не найдено, но с родственными аминометилфосфинами также в большинстве случаев образуются комплексы с координацией только атомом P [1].
В комплексе [Pt(CH3CN){tBuC-NH-(7-Cl--Btd)}Cl] (рис. 5а) хелатный гетероциклический лиганд имеет формальный заряд –1 из соображений электронейтральности. Атом Pt связан с атомом C бензотиадиазольного фрагмента напрямую (расстояние Pt–C 1.99 Å), т.е. при этом углероде нет водорода. Качество полученных рентгенодифракционных данных для кристалла приемлемое и позволяет однозначно локализовать водород при NH-группе. При атоме (tBu)C, в свою очередь, пиков, соответствующих атому H, не обнаружено, а фрагмент {CN-Btd} плоский, что позволяет формально отнести углерод (tBu)C к карбеновому. Фактически, имеется делокализация электронной плотности по всему фрагменту {CNBtd}, а связь (tBu)C–N (1.31 Å) близка к двойной.
Таким образом, обнаружен ряд особенностей протекания реакций синтеза 1,3-иминометилфосфина на основе 2,1,3-бензотиадиазола (Btd). При взаимодействии амида tBuC(=O)NH-btd с SOCl2 наблюдается побочный процесс хлорирования по карбоциклу, протекающий значительно быстрее основного процесса по амидной группе. В результате промежуточный имидоилхлорид tBuC(Cl)=N-(7-Cl-Btd) и иминометилфосфин PC=N содержат хлор-замещенный фрагмент Btd. Имидоилхлорид и Ph2PSiMe3, используемые на последней стадии синтеза иминометилфосфина, чувствительны к действию кислорода и воды, и даже минимальный контакт с атмосферой воздуха приводит к побочным продуктам окисления и/или гидролиза. В частности, в небольшом количестве получен побочный продукт — 1,3-аминометилфосфин POCN, выделенный в виде сольвата с диэтиловым эфиром. Кроме того, идентифицирован (Ph2POx)2 (x = 1), согласно данным РСА представляющий собой твердый раствор Ph2P(Ox/2)–P(Ox/2)Ph2 с частичной занятостью позиций атомов кислорода.
В реакции [Pt(COD)Cl2] с PC=N образуется ожидаемый комплекс [Pt(PC=N)2Cl2], выделенный в кристаллическом виде. В этих условиях лиганд PC=N не претерпевает разрыва связи P–C в присутствии Pt(II), как это наблюдалось ранее в 1,3-аминометилфосфине с фенилбензотиазольным заместителем (PCN-pbt) [26] и в полученном в данной работе POCN. В случае последнего методом РСА наряду с исходным [Pt(COD)Cl2] были обнаружены кристаллы [PtCl2(Ph2POH)2](POCN), что свидетельствует о превращении двух эквивалентов POCN в Ph2POH и сохранении третьего. Кроме того, зафиксированы кристаллы [Pt(CH3CN){tBuC-NH-(7-Cl-Btd)}Cl], содержащего бензотиадиазольный остаток, депротонированный по карбоциклу.
Авторы заявляют, что у них нет конфликта интересов.
БЛАГОДАРНОСТИ
Рентгеноструктурные исследования выполнены при поддержке Министерства науки и высшего образования Российской Федерации (№ 121031700313-8). Авторы благодарны ЦКП ИНХ СО РАН за аналитические измерения и за запись спектров ЯМР, а также лично Л.В. Заргаровой за проведение рентгенодифракционного эксперимента для POCN · 0.5Et2O.
ФИНАНСИРОВАНИЕ
Работа выполнена при поддержке Российского научного фонда (проект № 21-73-10096).
Sobre autores
R. Khisamov
Nikolaev Institute of Inorganic Chemistry of the Siberian Branch of the Russian Academy of Sciences
Email: sukhikh@niic.nsc.ru
Rússia, Novosibirsk
S. Konchenko
Nikolaev Institute of Inorganic Chemistry of the Siberian Branch of the Russian Academy of Sciences
Email: sukhikh@niic.nsc.ru
Rússia, Novosibirsk
T. Sukhikh
Nikolaev Institute of Inorganic Chemistry of the Siberian Branch of the Russian Academy of Sciences
Autor responsável pela correspondência
Email: sukhikh@niic.nsc.ru
Rússia, Novosibirsk
Bibliografia
- Bálint E., Tajti Á., Tripolszky A., Keglevich G. // Dalton Trans. 2018. V. 47. P. 4755.
- Smith M.B. // Molecules. 2022. V. 27. P. 6293.
- Sukhikh T.S., Khisamov R.M., Konchenko S.N. // Symmetry. 2023. V. 15. P. 157.
- Khisamov R.M., Sukhikh T.S., Konchenko S.N., Pushkarevsky N.A. // Inorganics. 2022. V. 10. P. 263.
- Khisamov R.M., Ryadun A.A., Konchenko S.N., Sukhikh T.S. // Molecules. 2022. V. 27. P. 8162.
- Baranov A.Y., Sukhikh T.S., Artem′ev A.V. // J. Struct. Chem. 2022. V. 63. P. 658.
- Rogovoy M.I., Bagryanskaya I.Y., Sadykov E.H. // J. Struct. Chem. 2023. V. 64. P. 1654.
- Rong M.K., Holtrop F., Slootweg J.C., Lammertsma K. // Coord. Chem. Rev. 2019. V. 380. P. 1.
- Huber T., Bauer J.O. // Chem. Eur. J. 2023. P. e202303760.
- Farkas G., Császár Z., Tóth-Farsang E. et al. // J. Organomet. Chem. 2023. V. 994. P. 122723.
- Liu R., Liu Y., Yang W., Li X., Feng L. // ACS Omega. 2023. V. 8. P. 18290.
- Reis Conceição N., Mahmoud A.G., Guedes da Silva M.F.C. et al. // Mol. Catal. 2023. V. 549. P. 113512.
- Radcliffe J.E., Batsanov A.S., Smith D.M., Scott J.A. et al. // ACS Catalysis. 2015. V. 5. P. 7095.
- van Dijk T., Burck S., Rong M.K. et al. // Angew. Chem. Int. Ed. 2014. V. 53. P. 9068.
- Rong M.K., van Duin K., van Dijk T. et al. // Organometallics. 2017. V. 36. P. 1079.
- Kandel R., Huynh K., Dalgliesh L. et al. // Inorg. Chim. Acta. 2016. V. 445. P. 117.
- Lee K.-F., Yang T., Tsang L.-Y. et al. // Organometallics. 2021. V. 40. P. 358.
- Kandel R., Schatte G., Jessop P.G. // Dalton Trans. 2019. V. 48. P. 12512.
- Fischer M., Steinert H., Schmidtmann M., Beckhaus R. // Dalton Trans. 2019. V. 48. P. 1936.
- Sheldrick G. // Acta Crystallogr. A. 2015. V. 71. P. 3.
- Sheldrick G. // Acta Crystallogr. 2015. V. 71. P. 3.
- Dolomanov O.V., Bourhis L.J., Gildea R.J. et al. // J. Appl. Crystallogr. 2009. V. 42. P. 339.
- Alexeev A.V., Gromilov S.A. // J. Struct. Chem. 2010. V. 51. P. 156.
- Alexeev A.V., Gromilov S.A. // J. Struct. Chem. 2010. V. 51. P. 744.
- Prescher C., Prakapenka V.B. // High Pressure Res. 2015. V. 35. P. 223.
- Afonin M.Y., Martynenko P.A., Kolybalov D.S. // Inorg. Chem. 2024. V. 63. P. 369.
- Sukhikh T.S., Kolybalov D.S., Khisamov R.M., Konchenko S.N. // J. Struct. Chem. 2022. V. 63. P. 1446.
- Nieger M., Schinkels B., Niecke E. // Experimental Crystal Structure Determination. CCDC 174103. 2002. https://doi.org/10.5517/cc5v57d
- Dashti-Mommertz A., Neumüller B. // Z. Anorg. Allg. Chem. 1999. V. 625. P. 954.
- Tam E.C.Y., Maynard N.A., Apperley D.C. // Inorg. Chem. 2012. V. 51. P. 9403.
- Khisamov R.M., Konchenko S.N., Sukhikh T.S. // J. Struct. Chem. 2022. V. 63. P. 2113.
- Hu C., Wang M., Han X., Fan J. // J. Phys. Chem. C. 2021. V. 125. P. 22346.
- Khisamov R.M., Ryadun A.A., Konchenko S.N., Sukhikh T.S. // Molecules. 2022. V. 27. P. 3857.
Arquivos suplementares











