Imidazolium Salts with Heterometallic Complex Anions [Co₂Li₂(Piv)₈]²⁻: Synthesis, Structures, and Magnetic Properties
- Authors: Rubtsova I.K.1, Vasilyev P.N.1, Voronina J.K.1, Shmelev M.A.1, Efimov N.N.1, Nikolaevskii S.A.1, Eremenko I.L.1, Kiskin M.A.1
-
Affiliations:
- Kurnakov Institute of General and Inorganic Chemistry, Russian Academy of Sciences
- Issue: Vol 50, No 11 (2024)
- Pages: 787-798
- Section: Articles
- URL: https://journals.rcsi.science/0132-344X/article/view/273437
- DOI: https://doi.org/10.31857/S0132344X24110047
- EDN: https://elibrary.ru/LMRNOZ
- ID: 273437
Cite item
Abstract
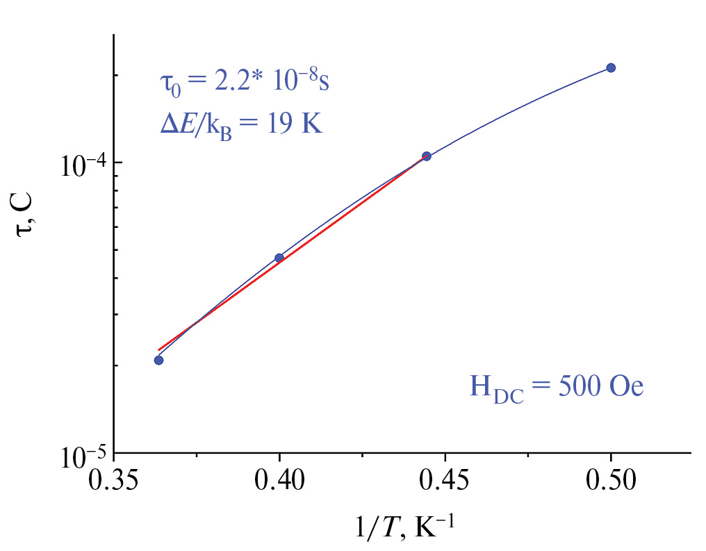
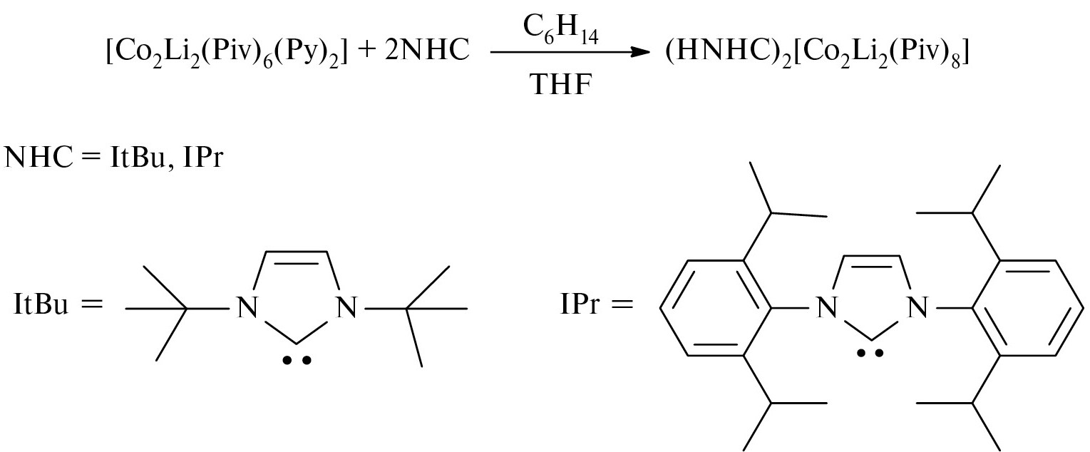
Imidazolium salts with complex anions [Co₂Li₂(Piv)₈]²⁻ are formed as undesirable products of the reactions of heterometallic compound [Co₂Li₂(Piv)₆(Py)₂] with N-heterocyclic carbenes ItBu and IPr. The study of the magnetic properties of complex (HItBu)₂[Co₂Li₂(μ₂-Piv)₆(Ƙ¹-Piv)₂] shows that this compound is a single molecule magnet. Slow magnetic relaxation in the complex occurs due to a combination of the direct and Raman mechanisms.
Full Text
About the authors
I. K. Rubtsova
Kurnakov Institute of General and Inorganic Chemistry, Russian Academy of Sciences
Email: sanikol@igic.ras.ru
Russian Federation, Moscow
P. N. Vasilyev
Kurnakov Institute of General and Inorganic Chemistry, Russian Academy of Sciences
Email: sanikol@igic.ras.ru
Russian Federation, Moscow
J. K. Voronina
Kurnakov Institute of General and Inorganic Chemistry, Russian Academy of Sciences
Email: sanikol@igic.ras.ru
Russian Federation, Moscow
M. A. Shmelev
Kurnakov Institute of General and Inorganic Chemistry, Russian Academy of Sciences
Email: sanikol@igic.ras.ru
Russian Federation, Moscow
N. N. Efimov
Kurnakov Institute of General and Inorganic Chemistry, Russian Academy of Sciences
Email: sanikol@igic.ras.ru
Russian Federation, Moscow
S. A. Nikolaevskii
Kurnakov Institute of General and Inorganic Chemistry, Russian Academy of Sciences
Author for correspondence.
Email: sanikol@igic.ras.ru
Russian Federation, Moscow
I. L. Eremenko
Kurnakov Institute of General and Inorganic Chemistry, Russian Academy of Sciences
Email: sanikol@igic.ras.ru
Russian Federation, Moscow
M. A. Kiskin
Kurnakov Institute of General and Inorganic Chemistry, Russian Academy of Sciences
Email: sanikol@igic.ras.ru
Russian Federation, Moscow
References
- Bondarenko M.A., Rakhmanova M.I., Plyusnin P.E. et al. // Polyhedron. 2021. V. 194. P. 114895.
- Vershinin M.A., Rakhmanova M.I., Novikov A.S. et al. // Molecules. 2021. V. 26. № 11. P. 3393.
- Shmelev M.A., Kuznetsova G.N., Dolgushin F.M. et al. // Russ. J. Coord. Chem. 2021. V. 47. № 2. P. 127. https://doi.org/10.1134/S1070328421020068
- Bondarenko M.A., Adonin S.A. // J. Struct. Chem. 2021. V. 62. № 8. P. 1251.
- Bondarenko M.A., Novikov A.S., Adonin S.A. // Russ. J. Inorg. Chem. 2021. V. 66. № 6. P. 814.
- Bondarenko M.A., Abramov P.A., Novikov A.S. et al. // Polyhedron. 2022. V. 214. P. 115644.
- Zaguzin A.S., Sukhikh T.S., Sakhapov I.F. et al. // Molecules. 2022. V. 27. № 4. P. 1305.
- Zaguzin A.S., Sukhikh T.S., Kolesov B.A. et al. // Polyhedron. 2022. V. 212. P. 115587.
- Shmelev M.A., Gogoleva N.V., Ivanov V.K. et al. // Russ. J. Coord. Chem. 2022. V. 48. № 9. P. 539. https://doi.org/10.1134/S1070328422090056
- Goldberg A., Kiskin M, Shalygina O. et al. // Chem. Asian J. 2016. V. 11. № 4. P. 604.
- Kiraev S.R., Nikolaevskii S.A., Kiskin M.A. et al. // Inorg. Chim. Acta. 2018. V. 477. P. 15.
- Melnikov S.N., Evstifeev I.S., Nikolaveskii S.A. et al. // New J. Chem. 2021. V. 45. № 30. P. 13349.
- Utochnikova V.V., Kalyakina A.S., Lepnev L.S. et al. // J. Lumin. 2016. V. 170. P. 633.
- Koshelev D.S., Chikineva T.Yu., Kozhevnikova (Khudoleeva) V.Yu. et al. // Dyes and Pigments. 2019. V. 170. P. 107604.
- Utochnikova V.V., Abramovich M.S., Latipov E.V. et al. // J. Lumin. 2019. V. 205. P. 429.
- KottsovS.Yu., Shmelev M.A., Baranchikov A.E. et al. // Molecules. 2023. V. 28. № 1. P. 418.
- Akintayo D.C., Munzeiwa W.A., Jonnalagadda S.B., Omondi B. // Polyhedron. 2022. V. 213. P. 115589.
- Akintayo D.C., Munzeiwa W.A., Jonnalagadda S.B., Omondi B. // Inorg. Chim. Acta. 2022. V. 532. P. 120715.
- Takeuchi K., Chen M.-Y., Yuan H.-Y. et al. // Chem. Eur. J. 2021. V. 27. № 72. P. 18066.
- Cheng X., Liu X., Wang S. et al. // Nat. Commun. 2021. V. 12. № 1. P. 4366.
- Hayashi Y., Santoro S., Azuma Y. et al. // J. Am. Chem. Soc. 2013. V. 135. № 16. P. 6192.
- Smith R.M.S., Amiri M., Martin N.P. et al. // Inorg. Chem. 2022. V. 61. № 3. P. 1275.
- Gusev A., Baluda Yu., Braga E. et al. // Inorg. Chim. Acta. 2021. V. 528. P. 120606.
- Lutsenko I.A., Baravikov D.E., Kiskin M.A. et al. // Russ. J. Coord. Chem. 2020. V. 46. № 6. P. 411. https://doi.org/10.1134/S1070328420060056
- Bazhina E.S., Gogoleva N.V., Zorina-Tikhonova E.N. et al. // J. Struct. Chem. 2019. V. 60. № 6. P. 855.
- Sidorov A.A., Kiskin M.A., Aleksandrov G.G. et al. // Russ. J. Coord. Chem. 2016. V. 42. № 10. P. 621. https://doi.org/10.1134/S1070328416100031
- Sidorov A.A., Gogoleva N.V., Bazhina E.S. et al. // Pure Appl. Chem. 2020. V. 92. № 7. P. 1093.
- Rubtsova I.K., Nikolaevskii S.A., Eremenko I.L., Kiskin M. A. // Russ. J. Coord. Chem. 2023. Vol. 49. № 11. P. 695. https://doi.org/10.1134/S1070328423600766
- Huang P.-B., Tian L.-Y., Zhang Y.-H., Shi F.-N. // Inorg. Chim. Acta. 2021. V. 525. P. 120473.
- Du Z.-Q., Li Y.-P., Wang X.-X. et al. // Dalton Trans. 2019. V. 48. № 6. P. 2013.
- Tian D., Wu T.-T., Liu Y.-Q., Li N. // Inorg. Chem. 2021. V. 60. № 16. P. 12067.
- Sapianik A.A., Lutsenko I.A., Kiskin M.A. et al. // Russ. Chem. Bull. 2016. V. 65. № 11. P. 2601.
- Sapianik A.A., Fedin V.P. // Russ. J. Coord. Chem. 2020. V. 46. № 7. P. 443. https://doi.org/10.1134/S1070328420060093
- Sapianik A.A., Kiskin M.A., Kovalenko K.A. et al. // Dalton Trans. 2019. V. 48. № 11. P. 3676.
- Dybtsev D.N., Sapianik A.A., Fedin V.P. // Mendeleev Commun. 2017. V. 27. № 4. P. 321.
- Sapianik A.A., Zorina-Tikhonova E.N., Kiskin M.A. et al. // Inorg. Chem. 2017. V. 56. № 3. P. 1599.
- Li Y.-P., Wang X.-X., Li S.-N. et al. // Cryst. Growth Des. 2017. V. 17. № 11. P. 5634.
- Murrie M. // Chem. Soc. Rev. 2010. V. 39. № 6. P. 1986.
- Zorina-Tikhonova E., Matyukhina A., Skabitskiy I. et al. // Crystals. 2020. V. 10. № 12. P. 1130.
- Yambulatov D.S., Nikolaevskii S.A., Kiskin M.A. et al. // Molecules. 2020. V. 25. № 9. P. 2054.
- Yambulatov D.S., Voronina J.K., Goloveshkin A.S. et al. // Int. J. Mol. Sci. 2023. V. 24. № 1. P. 215.
- Nikolaevskii S.A., Yambulatov D.S., Voronina J.K. et al. // ChemistrySelect. 2020. V. 5. № 41. P. 12829.
- Novikov V.V., Nelyubina Y.V. // Russ. Chem. Rev. 2021. V. 90. № 10. P. 1330.
- Feltham H.L.C., Brooker S. // Coord. Chem. Rev. 2014. V. 276. P. 1.
- Nehrkorn J., Valuev I.A., Kiskin M.A. et al. // J. Mater. Chem. C. 2021. V. 9. № 30. P. 9446.
- Matyukhina A.K., Zorina-Tikhonova E.N., Goloveshkin A.S. et al. // Molecules. 2022. V. 27. № 19. P. 6537.
- Zorina-Tikhonova E.N., Matyukhina A.K., Chistyakov A.S. et al. // New J. Chem. 2022. V. 46. № 44. P. 21245.
- Yambulatov D.S., Nikolaevskii S.A., Shmelev M.A. et al. // Mendeleev Commun. 2021. V. 31. № 5. P. 624.
- Yambulatov D.S., Nikolaevskii S.A., Lukoyanov A.N. et al. // New J. Chem. 2023. V. 47. № 42. P. 19362.
- Nikolaevskii S.A., Petrov P.A., Sukhikh T.S. et al. // Inorg. Chim. Acta. 2020. V. 508. P. 119643.
- Yambulatov D.S., Petrov P.A., Nelyubina Yu.V. et al. // Mendeleev Commun. 2020. V. 30. № 3. P. 293.
- Petrov P.A., Nikolaevskii S.A., Yambulatov D.S. et al. // Russ. J. Coord. Chem. 2023. V. 49. № 7. P. 407. https://doi.org/10.1134/S1070328423600274
- Petrov P.A., Nikolaevskii S.A., Yambulatov D.S. et al. // Russ. J. Inorg. Chem. 2023.
- Petrov P.A., Nikolaevskii S.A., Filippova E.A. et al. // J. Struct. Chem. 2024. V. 65. № 1. P. 117. https://doi.org/10.1134/S0022476624010116
- Nikolaevskii S.A., Starikova A.A. // J. Struct. Chem. 2024. V. 65. № 3. P. 363. https://doi.org/10.1134/S0022476624030053
- Roy M.M.D., Baird S.R., Ferguson M.J., Rivard E. // Mendeleev Commun. 2021. V. 31. № 2. P. 173.
- Bantreil X., Nolan S.P. // Nat. Protoc. 2011. V. 6. № 1. P. 69.
- Efimov N.N., Babeshkin K.A., Rotov A.V. // Russ. J. Coord. Chem. 2024. V. 50. № 6. P. 363. https://doi.org/10.1134/S1070328424600141
- APEX3. Bruker Molecular Analysis Research Tool. Version 2018.7–2. Madison Wisconsin (USA): Bruker AXS, 2018.
- Sheldrick G.M. SADABS. Bruker/Siemens Area Detector Absorption Correction Program. Version. Madison, Wisconsin (USA): Bruker AXS, 2016.
- Krause L., Herbst-Irmer R., Sheldrick G.M., Stalk D. // J. Appl. Crystallogr. 2015. V. 48. № 1. P. 3.
- Sheldrick G.M. SHELXTL. Structure Determination Software Suite. Version. 6.14. Madison (WI, USA): Bruker AXS, 2003.
- Sheldrick G.M. // Acta Crystallogr. C. 2015. V. 71. № 1. P. 3.
- Dolomanov O.V., Bourhis L.J., Gildea R.J. et al. // J. Appl. Crystallogr. 2009. V. 42. № 2. P. 339.
- Cirera J., Alemany P., Alvarez S. // Chem. Eur. J. 2004. V. 10. № 1. P. 190.
- Shang M., Huang J., Lu J. // Acta Crystallogr. C. 1984. V. 40. № 5. P. 761.
- Burns J.H., Musikas C. // Inorg. Chem. 1977. V. 16. № 7. P. 1619.
- Hughes D.L., Wingfield J.N. // Dalton Trans. 1982. № 7. P. 1239.
- Bandoli G., Clemente D.A. // J. Inorg. Nucl. Chem. 1981. V. 43. № 11. P. 2843.
- Zalkin A., Ruben H., Templeton D.H. // Acta Crystallogr. B. 1982. V. 38. № 2. P. 610.
- Soler M., Mahalay P., Wernsdorfer W. et al. // Polyhedron. 2021. V. 195. P. 114968.
- Kahn O. Molecular Magnetism. Wiley-VCH, New York. 1993.
- Rakitin Yu.V., Kalinnikov V.T. Sovremennaya Magnetokhimiya, 1994.
- Chilton N.F., Anderson R.P., Turner L.D. et al. // J. Comput. Chem. 2013. V. 34. № 13. P. 1164.
Supplementary files












