Координационные соединения 3d-металлов с 2,4-диметилпиразоло[1,5-а]бензимидазолом: магнитные и биологические свойства
- Авторы: Шакирова О.Г.1,2, Кузьменко Т.А.3, Куратьева Н.В.1, Клюшова Л.С.4, Лавров А.Н.1, Лавренова Л.Г.1
-
Учреждения:
- Институт неорганической химии им. А. В. Николаева СО РАН
- Комсомольский-на-Амуре государственный университет
- Институт физической и органической химии Южного федерального университета
- Институт молекулярной биологии и биофизики, Федеральный исследовательский центр фундаментальной и трансляционной медицины
- Выпуск: Том 50, № 11 (2024)
- Страницы: 773-786
- Раздел: Статьи
- URL: https://journals.rcsi.science/0132-344X/article/view/273433
- DOI: https://doi.org/10.31857/S0132344X24110033
- EDN: https://elibrary.ru/LMVCGZ
- ID: 273433
Цитировать
Полный текст
Аннотация
Синтезированы и исследованы новые координационные соединения меди(I), меди (II), кобальта(II) и никеля(II) c 2,4-диметилпиразоло[1,5-а]бензимидазолом (L) состава [CuLCl] (I), [CuLBr] (II), [CuL2Cl2] (III), [CuL2(NO3)2] · H2O (IV), [CoL2Cl2] · 0,5H2O (V), [CoL2(NO3)2] · 0,5H2O (VI), [NiL2(NO3)2] · 0,5H2O (VII). Соединения изучены методами ИК-спектроскопии, РФА и РСА (CCDC № 2321779 ([CuL2Cl2]), 2321780 ([CoL2(NO3)2])). Полученные данные позволяют сделать вывод, что координационный полиэдр в исследуемых комплексах с 2,4-диметилпиразоло[1,5-а]бензимидазолом формируется за счет атомов азота монодентатно координированного лиганда и координированных анионов. На клеточной линии гепатоцеллюлярной карциномы HepG2 изучены цитотоксические и цитостатические свойства L и комплексов I–III.
Полный текст
Полиазотсодержащие гетероциклические соединения представляют собой перспективный класс лигандов для синтеза координационных соединений переходных металлов, обладающих биологической активностью [1–3]. Бензимидазол и его производные проявляют широкий спектр фармакологических свойств. Комплексообразование биологически важных органических соединений с ионами металлов позволяет значительно увеличить их эффективность в сравнении со свободным органическим лигандом. Координационные соединения переходных металлов с бензимидазолом и его производными оказывают антибактериальное, противопаразитарное, противовоспалительное, противовирусное и противоопухолевое действия [4–15]. Комплексы хлорида меди(II) с лигандами этого класса имитируют активность супероксиддисмутазы (SOD), которая является одним из основных ферментов антиоксидантной системы. Металлоферменты, среди которых значительной активностью обладает Cu,Zn-SOD, катализируют реакцию диспропорционирования супероксидных анион-радикалов и уменьшают вероятность образования еще более активного синглетного кислорода [16, 17]. Кроме того, SOD играет важную роль в антивозрастных механизмах [18, 19].
Ранее в нашей группе получена серия комплексов галогенидов меди(II) с 4Н-1,2,4-триазоло[1,5-а]бензимидазолом, 3-метил-1,2,4-триазоло[1,5-а]бензимидазолом, 4-метил-1,2,4-триазоло[1,5а]бензимидазолом, 2,4-диметил-1,2,4-триазоло[1,5-а]бензимидазолом, 2-метил-1,2,4-триазоло[1,5-а]бензимидазолом и 2-(3,5-диметилпиразол-1-ил)бензимидазолом. Изучено цитотоксическое действие комплексов и лигандов на клеточную линию лигандами приводит к значительному усилению их цитотоксичности [20–24]. Полученный комплекс [CuLCl2] с 2-(3,5-диметилпиразол-1-ил)бензимидазолом по цитотоксическому воздействию сопоставим с цисплатином [24]. Представлялось целесообразным продолжить исследования в этом направлении.
Цель настоящей работы — получение новых координационных соединений меди(II), кобальта(II) и никеля(II) и исследование их биологической и магнитной активности. В качестве лиганда для синтеза использовали 2,4-диметилпиразоло[1,5-а]бензимидазол (L, схема 1).
ЭКСПЕРИМЕНТАЛЬНАЯ ЧАСТЬ
Для синтеза использовали коммерчески доступные реагенты и растворители без дополнительной очистки. 2,4-Диметилпиразоло[1,5-а]бензимидазол (L,C11H11N3) получали по методике [25].
Синтез [CuLCl] (I). Навески 0.19 г (1.0 ммоль) лиганда L и 0.17 г (1.0 ммоль) CuCl2 · 2H2O растворяли отдельно в 5 мл этанола. Раствор соли прибавляли к раствору лиганда, при этом образовывался раствор фиолетового цвета, из которого быстро выпадал белый осадок. Осадок отфильтровывали, промывали несколько раз этанолом и высушивали на воздухе. Аналогично высушивали все полученные соединения. Выход 0.08 г (28%).
Синтез [CuLBr] (II). Навески CuBr2 0.22 г (1.0 ммоль) и лиганда L 0.37 г (2.0 ммоль) растворяли отдельно в 5 мл этанола или ацетона. Затем к раствору лиганда приливали раствор CuBr2 в этаноле или ацетоне (5 мл). При любом соотношении металл: лиганд и в обоих растворителях бурый раствор сразу обесцвечивался, и из него выпадал белый осадок, который отфильтровывали и промывали несколько раз соответствующим растворителем. Выход 0.30–0.32 г (91–97%) в этаноле, 0.18–0.20 г (55–61%) в ацетоне.
Синтез [CuL2Cl2] (III). Навеску лиганда L (0.09 г (0.5 ммоль) растворяли в ацетоне (5 мл). К раствору L приливали раствор 0.19 г (1.0 ммоль) CuCl2 · 2H2O в ацетоне (5 мл). Образовался раствор темно-красного цвета. Выпадал серо-черный осадок, когда объем раствора уменьшился вдвое при медленном упаривании ацетона. Осадок отфильтровывали, промывали несколько раз ацетоном (цвет осадка не менялся) и высушивали на воздухе. Выход 0.17 г (67%). В маточном растворе при стоянии в течение ночи образовались пригодные для РСА темно-красные кристаллы состава [CuL2Cl2] (III).
Синтез [CuL2(NO3)2] · H2O (IV), [CoL2Cl2] · · 0,5H2O (V), [CoL2(NO3)2] · 0,5H2O (VI), [NiL2(NO3)2] · 0,5H2O (VII). Навеску лиганда L 0.37 г (2.0 ммоль) растворяли в 5 мл ацетона. К полученному раствору L приливали раствор 0.24 г (1.0 моль) CoCl2 · 6H2O или 0.29 г Co(NO3)2 · 6H2O или 0.29 г Ni(NO3)2 · 6H2O или 0.24 г Cu(NO3)2 · 3H2O в 5 мл ацетона. При этом образовывались растворы коричневого (IV), синего (V), сиреневого (VI) или светло-зеленого (VII) цвета, из которых быстро выпадали осадки, совпадающие с цветом раствора. Осадок отфильтровывали и промывали несколько раз этанолом. Выходы IV — 0.30 г (52%); V — 0.37 г (72%); VI — 0.33 г (59%); VII — 0.20 г (36%).
Элементный анализ на C, H, N выполняли в аналитической лаборатории ИНХ СО РАН на приборе EURO EA 3000 фирмы EuroVector (Италия). Результаты анализа приведены в табл. 1.
РСА структур [CuL2Cl2] и [CoL2(NO3)2] проведен по стандартной методике на автоматическом четырехкружном дифрактометре Bruker-Nonius X8Apex, оснащенном двухкоординатным CCD детектором, при температуре 150 K с использованием молибденового излучения (λ = 0.71073 Å) и графитового монохроматора. Интенсивности отражений измерены методом φ- и ω-сканирования узких (0.5°) фреймов. Поглощение учтено эмпирически по программе SADABS [26]. Структуры расшифрованы прямым методом и уточнены полноматричным МНК в анизотропном для неводородных атомов приближении по комплексу программ SHELXTL [27]. Атомы водорода уточнены в приближении жесткого тела. Кристаллографические данные и параметры эксперимента приведены в табл. 2, основные межатомные расстояния и валентные углы — в табл. 3.
Кристаллографические параметры структур [CuL2Cl2] и [CoL2(NO3)2] депонированы в Кембриджском банке структурных данных (№ CCDC2321779 и 2321780 соответственно; www.ccdc.cam.ac.uk/data_reguest/cif).
Дифрактометрическое исследование (РФА) поликристаллических соединений выполнено на дифрактометре Shimadzu XRD7000 (излучение CuKα, Ni-фильтр, сцинтилляционный детектор) при комнатной температуре.
ИК-спектры поглощения снимали на спектрометрах ScimitarFTS2000 и Vertex 80 в области 4000–100 см–1. Образцы готовили в виде пасты в вазелиновом или фторированном маслах и полиэтилене при комнатной температуре.
Спектры диффузного отражения регистрировали на сканирующем спектрофотометре UV-3101 РС фирмы Shimadzu при комнатной температуре.
Измерения магнитных свойств проводили на SQUID-магнетометре MPMS-XL фирмы Quantum Design в интервале температур 1.77–300 K и магнитных полей H 0–10 кЭ. Для определения парамагнитной составляющей молярной магнитной восприимчивости (χp(T)), из измеренных значений полной восприимчивости χ = M/H (M = намагниченность) вычитали вклады диамагнетизма χd и возможного ферромагнетизма микропримесей χFM. Температурно-независимый вклад χd вычисляли согласно аддитивной схеме Паскаля. Для определения ферромагнитного вклада χFM проводили измерения полевых зависимостей M(H) и температурных зависимостей M(T) при различных значениях магнитного поля, после чего полная намагниченность образца разделялась на ферромагнитную и парамагнитную компоненты. Для исследованного образца ферромагнитный вклад в намагниченность при H = 10 кЭ не превышал 0.01 и 2% при T = 1.77 и 300 K соответственно.
Цитотоксическую и цитостатическую активность синтезированных соединений оценивали на клеточной линии гепатоцеллюлярной карциномы человека HepG2 методом двойного окрашивания флуоресцентными красителями Hoechst 33342/ пропидий йодид (PI) [28]. Клетки высевали на 96-луночные планшеты по 5 × 103 клеток на лунку в питательной среде IMDM (Sigma-Aldrich, США) с 10%-ным содержанием эмбриональной бычьей сыворотки (HyClone, США) и культивировали 24 ч в стандартных условиях (влажная атмосфера, 5% CO2, 37°C). Комплексы растворяли в этаноле с добавлением ДМСО и готовили рабочие растворы методом серийных разведений средой IMDM, конечная концентрация EtOH < 1%. Клетки обрабатывали соединениями (1–50 мкмоль л–1), инкубировали в течение 48 ч и окрашивали Hoechst 33342 (Sigma-Aldrich, Швейцария) и пропидием йодидом (Invitrogen, США) в течение 30 мин при 37°C. Съемку проводили на приборе IN Cell Analyzer 2200 (GE Healthcare, UK) в автоматическом режиме по 4 поля на лунку. Полученные изображения анализировали с помощью программы In Cell Investigator (GE Healthcare, UK) для определения живых, мертвых и апоптотических клеток во всей популяции. Результат представлен в виде процентного содержания клеток из трех лунок ± среднеквадратическое отклонение.
РЕЗУЛЬТАТЫ И ИХ ОБСУЖДЕНИЕ
Координационные соединения Cu(II), Co(II), Ni(II) I–VII получены при взаимодействии этанольных или ацетоновых растворов солей и L. В этанольной среде комплексообразование сопровождается процессом восстановления меди(II) до меди(I), что позволяет выделить комплексы [CuLCl] (I) и [CuLBr] (II).
Схема 1.
Все полученные комплексы на воздухе и при комнатной температуре устойчивы в течение длительного времени и негигроскопичны. Они хорошо растворимы в ацетоне, хлористом метилене, значительно хуже — в этаноле и практически нерастворимы в воде.
При соотношении Cu : L = 1 : 2 из раствора выделен темно-серый осадок, который по результатам измерения магнитной восприимчивости содержит ионы как меди(I), так и меди (II). В процессе восстановления меди(II) некоторое количество лиганда окисляется и одновременно с этим претерпевает конденсацию с растворителем (схема 2) с образованием 1-(2,4-диметилпиразоло[1,5-а]бензимидазол-3-ил)этанон) (L*, C13H13N3O).
Схема 2. Превращение 2,4-диметилпиразоло[1,5-а]бензимидазола в 1-(2,4-диметилпиразоло[1,5-а]бензимидазол-3-ил)этанон).
Рис. 1. Молекулярная структура комплекса [CuL2Cl2].
После отфильтровывания полученного темно-серого осадка в маточном растворе при стоянии в течение суток образовались пригодные для РСА темно-красные кристаллы состава [CuL2Cl2] (III) (см. табл. 1, рис. 1).
Таблица 1. Результаты элементного анализа комплексов I–VII
Соединение | Брутто-формула | Найдено/вычислено, % | ||
С | H | N | ||
[CuLCl] (I) | C11H11ClCuN3 | 46.1/46.5 | 3.8/3.9 | 14.5/14.8 |
[CuLBr] (II) | C11H11BrCuN3 | 40.7/40.2 | 3.4/3.4 | 12.4/12.8 |
[CuL2Cl2] (III) | C22H22Cl2CuN6 | 53.5/52.3 | 4.5/4.4 | 16.4/16.6 |
[CuL2(NO3)2] · H2O (IV) | C22H24CuN8O7 | 46.4/45.9 | 4.0/4.2 | 19.3/19.5 |
[CoL2Cl2] · 0,5H2O (V) | C22H23Cl2CoN6O0.5 | 53.7/51.9 | 4.4/4.6 | 16.4/16.5 |
[CoL2(NO3)2] · 0,5H2O (VI) | C22H22CoN8O6.5 | 47.6/47.0 | 4.0/4.1 | 19.9/19.9 |
[NiL2(NO3)2] · 0,5H2O (VII) | C22H22NiN8O6.5 | 48.6/47.0 | 4.1/4.1 | 19.7/19.9 |
По данным РСА, комплекс III кристаллизуется в моноклинной сингонии (табл. 2). В независимой части ячейки присутствует половина молекулярного комплекса III, положение атома Cu совпадает с осью 2 вдоль параметра b (рис. 2).
Рис. 2. Кристаллическое строение комплекса [CuL2Cl2].
Структура островная молекулярная. Нейтральный молекулярный комплекс [CuL2Cl2] содержит катион Cu2+, два координированных аниона Cl– и две молекулы лиганда L, координированные к иону Cu2+ монодентатно атомом азота пиразольного кольца. Координационный полиэдр Cu2+ плоский искаженно-квадратный (рис. 1), преимущественно искажение обусловлено разной длиной контактов Cu–Cl и Cu–N (табл. 3), тогда как углы ClCuN близки к 90˚.
Таблица 2. Кристаллографические данные, параметры эксперимента и уточнения структуры комплексов [CuL2Cl2] и [CoL2(NO3)2]
Параметр | Значение | |
[CuL2Cl2] | [CoL2(NO3)2] | |
Брутто-формула | C22H22Cl2CuN6 | C22H22CoN8O6 |
М | 504.89 | 553.40 |
Сингония | Моноклинная | Триклинная |
Пр. группа | C2/c | PĪ |
a, Å b, Å c, Å α, β, γ | 14.1769(8) 7.9398(4) 20.1106(14) 90 108.566(2) 90 | 7.8732(3) 10.6968(4) 15.1802(6) 87.907(2) 75.202(2) 68.805(1) |
Объем, Å3 | 2145.9(2) | 1150.22(8) |
Z | 4 | 2 |
ρ(выч.), г/cм3 | 1.563 | 1.598 |
μ(MoKα), мм–1 | 1.290 | 0.805 |
F(000) | 1036 | 570 |
Размер кристалла, мм | 0.42 × 0.35 × 0.08 | 0.30 × 0.21 × 0.09 |
Диапазон сбора данных по θ | 2.137–26.363 | 1.390–26.420 |
Диапазон индексов h, k, l | –17 ≤ h ≤ 17 –6 ≤ k ≤9 –25 ≤ l ≤ 25 | –9 ≤ h ≤ 9 –13 ≤ k ≤ 13 –18 ≤ l ≤ 18 |
Число измеренных рефлексов | 7630 | 9166 |
Число независимых рефлексов (Rint) | 2183 (0.0316) | 4652 (0.0345) |
Полнота сбора данных по θ = 25.25°, % | 99.6 | 98.9 |
Число рефлексов/огр./параметров | 2183/0/143 | 4652/0/339 |
S-фактор по F2 | 1.036 | 1.054 |
R1, wR2 (I >2σ(I)) | 0.0469, 0.1172 | 0.0437, 0.0851 |
R1, wR2 (все данныe) | 0.0545, 0.1218 | 0.0562, 0.0889 |
Остаточная электронная плотность (max/min), е/Å3 | 1.475/–0.510 | 0.633/–0.421 |
Упаковку молекулярных комплексов можно представить как искаженную гексагональную шаровую упаковку типа ABAB вдоль параметра c (рис. 3). Расстояния Cu…Cu внутри такого псевдогексагонального слоя изменяются в диапазоне 7.940–8.124(1) Å, а углы CuCuCu ближайших центров комплексных частиц — в диапазоне 58.5˚–60.75˚, что говорит о малом искажении упаковки согласно внешней форме частиц. В структуре также наблюдается согласование ориентации плоских частей органических лигандов соседних молекулярных комплексов, но полноценного стекинга не наблюдается из-за значительного смещения ароматических систем друг относительно друга.
Рис. 3. Гексагональный мотив упаковки молекулярных комплексов [CuL2Cl2], показанный в плоскости ab (атомы Н опущены для ясности).
При перекристаллизации [CoL2(NO3)2] · · 0,5H2O (VI) из ацетона удалось получить монокристаллы безводного комплекса, пригодные для рентгеноструктурного анализа. По данным РСА, комплекс [CoL2(NO3)2] кристаллизуется в триклинной сингонии (табл. 2). В независимой части ячейки присутствует полная молекула комплекса, находящаяся в общем положении пространственной группы (рис. 4).
Рис 4. Молекулярное строение комплекса [CoL2(NO3)2].
Структура также является островной молекулярной, как и в случае комплекса III (рис. 5). Псевдооктаэдрический координационный узел CoN2O4 формируется двумя молекулами лиганда L, координированными к иону Co2+ монодентатно атомом азота пиразольного кольца и двумя бидентатно связанными нитрат-ионами (рис. 4).
Рис. 5. Кристаллическое строение комплекса [CoL2(NO3)2]
Упаковку молекулярных фрагментов также можно описать как сильно искаженную гексагональную вдоль параметра c, но в данном случае типа АААА (рис. 6), с расстояниями между центpами молекулярных комплексов 7.873–10.748 Å. Стекинг в данном случае также затруднен из-за значительного смещения ароматических фрагментов соседних молекулярных комплексов и наличия неплоских метильных заместителей именно со стороны возможного стекинга.
Рис. 6. Гексагональный мотив упаковки молекулярных комплексов [CoL2(NO3)2], показанный в плоскости ab (атомы Н опущены для ясности).
Анализ данных РФА свидетельствует о том, что все комплексы кристаллические (рис. 7, 8). Вместе с тем, комплексы с одинаковым числом лигандов состава [CuLA] (A = Cl–, Br–) и [ML2A2] (M = Co, Ni, Cu; A = Cl–, NO3–) не изоструктурны.
Рис. 7. Дифрактограммы комплексов состава [CuLHal].
Рис. 8. Дифрактограммы комплексов состава [ML2A2].
В ИК-спектре L присутствуют полосы валентных колебаний ν(C–H) в диапазоне 3200–2800 см–1 и чувствительных к координации колебаний пиразоло[1,5-а]бензимидазольного остова при 1690–1400 см–1. В спектрах синтезированных комплексов хлоридов меди валентные колебания пиразольного и имидазольного колец смещены на ~30 см–1 в высокочастотную область относительно валентных колебаний в молекуле L, что свидетельствует о координации атомов азота пиразольного кольца к металлу [29] (табл. 4). Следует отметить, что полосы колебаний нитрат-иона (ν5 в интервале 1620–1490 см–1, ν1 в интервале 1290–1160 см–1, ν2 в интервале 1040–990см–1) полностью перекрываются полосами колебаний гетероциклов R и δ(С–H), что не позволяет, по данным ИК-спектроскопии, сделать вывод о способе координации этого аниона.
Таблица 3. Основные межатомные расстояния (d, Å) координационных узлов в структурах комплексов [CuL2Cl2] и [CoL2(NO3)2]*
[CuL2Cl2] | [CoL2(NO3)2] | ||
d, Å | d, Å | ||
Cu(1)-N(1) | 1.975(3) | Co(1)-N(11) | 2.051(2) |
Cu(1)-N(1)#1 | 1.975(3) | Co(1)-O(11) | 2.0525(19) |
Cu(1)-Cl(1)#1 | 2.2676(8) | Co(1)-N(21) | 2.060(2) |
Cu(1)-Cl(1) | 2.2676(8) | Co(1)-O(22) | 2.089(2) |
Co(1)-O(21) | 2.256(2) | ||
Co(1)-O(12) | 2.308(2) | ||
*Оператор симметрии:#1 –x + 1, y, —z + ½.
В спектре L в низкочастотном диапазоне (400–100 см–1) проявляются полосы деформационных колебаний лиганда δ(C–H) (429, 363, 322, 288, 238, 194, 142, 110 см–1), которые в спектрах комплексов I–III смещаются весьма незначительно (~3–5 см–1). Кроме того, в спектрах комплексов I–III присутствуют малоинтенсивные полосы, соответствующие колебаниям связей ν(Cu–N) при 400 см–1 (для I и III) или при 394 см–1 (для II); δ(Cu–N) при 247 см–1 (для I и II) или при 248 см–1 (для III); а также полосы валентных колебаний концевых связей Cu–Cl при 280 (I) или 282 см–1 (III) и Cu–Br при 223 см–1 (II).
В электронных спектрах диффузного отражения комплексов V–VII (табл. 5) в диапазоне 200–1000 нм наблюдаются широкие полосы поглощения, положение которых характерно для спектров комплексов кобальта(II) и никеля(II) с азотсодержащими лигандами [30].
Полученные данные позволяют сделать вывод о том, что комплекс V имеет тетраэдрическое строение, а комплексы нитратов Co(II) иNi(II) — искаженно-октаэдрическое строение координационного полиэдра. Для этих комплексов рассчитаны параметры расщепления в кристаллическом поле. Для комплекса V оценка проводилась с использованием Приложения V из монографии [30] (таблица V.1); получены значения В = 830 см–1 и 10Dq = 7473 см–1. Для VI значение 10Dq рассчитано из условия ν1 = 8.8Dq и составляет 12153 см–1, для VII значение 10Dq = ν1 = 10846 см–1. Величины параметров Dq указывают на то, что в координационные узлы VI, VII входят как атомы азота, так и атомы кислорода. Это подтверждается данными РСА для комплекса [CoL2(NO3)2].
Таблица 4. Волновые числа (частоты, см–1) максимумов полос поглощения в ИК-спектрах L и комплексов I–VII
Отнесение | L | I | II | III | IV | V | VI | VII |
ν (О–Н) | 3415 | 3445 | 3437 | 3437 | ||||
ν (Cring–H) | 3125, 3019 | 3125, 3017 | 3125, 3061 | 3076, 3017 | 3142, 3057 | 3175 | 3180 | 3175 |
νas (CH3) | 2924 | 2905 | 2906 | 2914 | 2940 | 2926 | 2923 | 2922 |
νs (CH3) | 2854 | 2848 | 2851 | 2841 | 2820 | 2854 | 2853 | 2851 |
ν (C–H) | 2726, 2675 | 2716, 2648 | 2718, 2658 | 2712, 2635 | 2749, 2714, 2637 | 2726, 2672 | 2726, 2676 | 2725, 2675 |
R(bz) | 1622 | 1620 | 1626 | 1623 | 1655, 1603 | 1622 | 1625 | 1621 |
R(pz) | 1558 | 1585 | 1591, 1558 | 1595, 1585 | 1587 | 1598 | 1592 | 1595 |
R(im) | 1464 | 1471 | 1468 | 1470, 1454 | 1485, 1477, 1469 | 1483 | 1478 | 1484 |
δ(С–H) плоскостное ножничное (scissoring) | 1377, 1304, 1265 | 1352 | 1377, 1350, 1321, 1279, 1240, 1207 | 1373, 1339, 1321, 1277, 1236 | 1362, 1346, 1269 | 1377, 1320 | 1377, 1305 | 1377, 1304, 1265 |
δ (С–H) внеплоскостное крутильное (twisting) | 1143, 1100, 1073 | 1128 | 1169, 1124, 1078, 1061, 1017 | 1163, 1126, 1045 | 1169, 1128, 1064, 1042, 1013 | 1162 | 1154 | 1153 |
δ (С–H) внеплоскостные маятниковые | 966, 920, 880 | 918 | 949, 912 | 968 | 920, 868 | 969 | 969 | |
δ (С–H) плоскостные маятниковые (rocking) | 722, 611 | 735, 610 | 725 | 727 | 739, 685, 644, 607 | 722 | 722 | 722 |
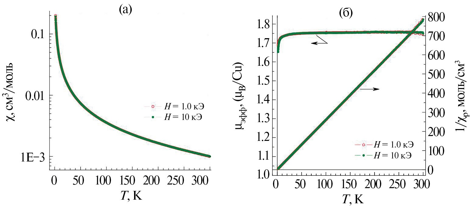
Магнетохимическое исследование образца III демонстрирует парамагнитное поведение во всем исследованном диапазоне температур 1.77–300 K (рис. 9). В интервале Т = 20–300 K, температурная зависимость магнитной восприимчивости, измеренная в полях H = 1, 10 кЭ, хорошо описывается формулой Кюри–Вейсса χp(T) = NA µ2эфф/3kB(T – θ) с эффективным магнитным моментом µэфф ≈ 1.76 µВ и константой Вейсса θ ≈ –0.4 K. Полученная величина µэфф близка к теоретическому чисто спиновому значению µэфф (Cu2+) ≈ 1.73 µВ для ионов меди Cu2+ (S = 1/2), а значение константы Вейсса соответствует слабому антиферромагнитному (АФМ) обменному взаимодействию J между ионами меди Cu2+. В модели среднего поля для изотропного обменного взаимодействия величина θ описывается выражением где z — число ближайших соседей в магнитной подрешетке, kB — константа Больцмана. Соответственно, в этом приближении значение zJ/kB ≈ 0.8 K.
Детальный анализ данных χp(T) в области низких температур показывает, что при T < 20 K магнитная восприимчивость отклоняется от зависимости Кюри–Вейсса в сторону бо/ льших значений, что обычно указывает на одномерный цепочечный характер обменных взаимодействий [31]. Действительно, кривая χp(T) в широком диапазоне 1.77–300 К температур лучше согласуется не с зависимостью Кюри–Вейсса, а с выражением Бонне–Фишера [32] для антиферромагнитных S = 1/2 цепочек, описываемых гамильтонианом с параметром Jch/kB ≈ 0.5 K, характеризующим обменное взаимодействие между ионами Cu2+ внутри цепочки. Такое магнитное поведение может указывать на особенность упаковки молекул комплекса в решетке кристалла, при которой обменное взаимодействие между ионами Cu2+ осуществляется преимущественно лишь вдоль одного кристаллографического направления.
Таблица 5. Параметры спектров диффузного отражения комплексов V–VII
Соединение | λ, нм | ν, см–1 | Отнесение |
[CoL2Cl2] · 0,5H2O (V) | 446 | ν3 = 22420 | 4А2→4Т1(Р) |
807 | ν2 = 12390 | 4А2→4Т1(F) | |
[CoL2(NO3)2] · 0,5H2O (VI) | 433 | ν3 = 23095 | 4T1g(F)→4T1g(P) |
660 | ν2 = 15150 | 4T1g(F)→4A2g | |
935 | ν1 = 10695 | 4T1g(F)→4T2g | |
[NiL2(NO3)2] · 0,5H2O (VII) | 395 | ν4 = 25316 | 3А2g→3T1g(P) |
510 | ν3 = 19610 | 3А2g→3T1g | |
665 | ν2 = 15038 | 3А2g→1Eg | |
922 | ν1 = 10846 | 3А2g→3T2g |
Рис. 9. Температурные зависимости магнитной восприимчивости образца III, измеренные в магнитных полях H = 1, 10 кЭ (а); температурные зависимости обратной восприимчивости 1/χp и эффективного магнитного момента µeff, рассчитанного в приближении невзаимодействующих ионов (θ = 0) (б).
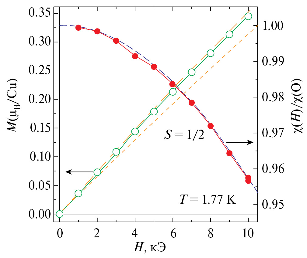
Дополнительную информацию о магнитном состоянии ионов меди в образце III можно получить из полевой зависимости намагниченности (рис. 10). Полученные данные M(H) и нормированной восприимчивости χ(H)/χ(0) соответствуют поведению ионов Cu2+ со слабым антиферромагнитным взаимодействием между ними и могут быть хорошо описаны (штриховые линии) теоретической зависимостью для системы парамагнитных центров (S = 1/2, g = 2.1) c изотропным АФМ-взаимодействием zJ/kB = 0.30 K. Следует отметить, что при аппроксимации высокотемпературных данных зависимостью Кюри–Вейсса было получено значение zJ/kB = 0.80 K, при использовании которого модель изотропного АФМ-обмена дала бы значительно заниженные значения намагниченности (пунктирная линия на рис. 10). Таким образом, измеренная полевая зависимость намагниченности также свидетельствует о существенном (более чем в 2.5 раза) уменьшении эффективного значения J при низкой температуре, что подтверждает преимущественно одномерный характер обменного взаимодействия в кристалле III. Анизотропия обменного взаимодействия в кристалле III может быть связана с частичным стекингом плоских частей органических лигандов соседних молекул, но измеренная величина J слишком мала, чтобы исключить другие возможности и сделать достоверные выводы о механизме АФМ-взаимодействия.
Рис. 10. Полевые зависимости намагниченности M и нормированной восприимчивости χ(H)/χ(0) образца III. Штриховыми линиями показана аппроксимация данных теоретической зависимостью для системы парамагнитных центров (S = 1/2, g = 2.1) c изотропным АФМ взаимодействием zJ/kB = 0.30 K. Для сравнения пунктирной линией показана теоретическая намагниченность системы таких же парамагнитных центров с zJ/kB = 0.8 K (θ ≈ –0.4 K).
Изучение влияния соединений на жизнеспособность клеток гепатоцеллюлярной карциномы HepG2 после 48 ч воздействия показало, что лиганд и комплексы [CuL2Cl2] (кристаллы) и [CuLCl] (порошок) не проявляют цитотоксической активности, однако при воздействии максимальной исследуемой концентрации 50 мкмоль/л лиганда и хлоридов меди(I) и меди(II) количество клеток после инкубации с соединениями снижено на 30% по сравнению с контролем, что свидетельствует о наличии цитостатического эффекта (рис. 11). Для комплекса [CuLBr] цитостатический эффект наблюдался для минимальной исследованной концентрации 0.2 мкмоль/л, количество клеток снижено на 10% по сравнению с контролем.
Рис. 11. Влияние исследуемых соединений на жизнеспособность клеток HepG2: 1 — количество клеток, 2 — мертвые клетки, 3 — живые клетки, 4 — апоптотические клетки.
В аналогичных условиях эксперимента классические препараты карбоплатин и цисплатин оказывают существенное влияние на клетки HepG2 по сравнению с новыми комплексами. Значения LC50 (концентрация препарата, при воздействии которой количество живых клеток снижено на 50% по сравнению с контролем) и IC50 (концентрация препарата, при воздействии которой общее количество клеток снижено на 50% по сравнению с контролем) равны для карбоплатина 32 ± 2 мкмоль/л и 3.6 ± 0.2 мкмоль/л соответственно, и для цисплатина 33 ± 5 мкмоль/л и 3.6 ± 0.2 мкмоль/л соответственно [28]. Поскольку клеточная линия HepG2 является опухолевой, то экспрессия и активность некоторых ферментов, таких как CYP2C9, CYP2C19 и CYP3A4, участвующих в метаболизме ксенобиотиков, в этих клетках значительно ниже по сравнению с экспрессией и активностью этих ферментов из неопухолевых образцов печени человека [33–36]. Однако клетки HepG2 часто используют для оценки in vitro потенциальной гепатотоксичности новых молекул на этапах первичного скрининга [37]. В некоторых случаях препараты карбоплатин [38] и цисплатин [39] демонстрируют гепатотоксичность, поэтому результаты данного исследования могут свидетельствовать об отсутствии потенциальной гепатотоксичности новых комплексов.
Таким образом, синтезированы и охарактеризованы новые комплексы меди(I), меди(II), кобальта(II) и никеля(II) c 2,4-диметилпиразоло[1,5-а]бензимидазолом. На клетках HepG2 показано, что в диапазоне концентраций от 0,2 до 50 мкмоль/л лиганд и комплексы хлорида и бромида меди(I) и меди(II) не проявляют цитотоксическую активность, но оказывают цитостатический эффект на клетки. Наиболее выраженным цитостатическим эффектом обладает комплекс [CuLBr].
Авторы заявляют, что у них нет конфликта интересов.
БЛАГОДАРНОСТИ
Авторы благодарят А.А. Шаповалову за съемку ИК-спектров и И.В. Юшину за съемку спектров диффузного отражения. Работа по изучению цитотоксических и цитостатических свойств соединений выполнена с использованием оборудования ЦКП “Протеомный анализ” на базе ФИЦ ФТМ.
ФИНАНСИРОВАНИЕ
Работа поддержана Министерством науки и высшего образования Российской Федерации (проекты № 121031700313-8 и 121031700314-5). Работа по исследованию биологической активности выполнена по государственному заданию ФИЦ ФТМ по теме НИР, номер государственной регистрации 122032200236-1.
Об авторах
О. Г. Шакирова
Институт неорганической химии им. А. В. Николаева СО РАН; Комсомольский-на-Амуре государственный университет
Автор, ответственный за переписку.
Email: Shakirova_Olga@mail.ru
Россия, Новосибирск; Комсомольск-на-Амуре
Т. А. Кузьменко
Институт физической и органической химии Южного федерального университета
Email: Shakirova_Olga@mail.ru
Россия, Ростов-на-Дону
Н. В. Куратьева
Институт неорганической химии им. А. В. Николаева СО РАН
Email: ludm@niic.nsc.ru
Россия, Новосибирск
Л. С. Клюшова
Институт молекулярной биологии и биофизики, Федеральный исследовательский центр фундаментальной и трансляционной медицины
Email: Shakirova_Olga@mail.ru
Россия, Новосибирск
А. Н. Лавров
Институт неорганической химии им. А. В. Николаева СО РАН
Email: ludm@niic.nsc.ru
Россия, Новосибирск
Л. Г. Лавренова
Институт неорганической химии им. А. В. Николаева СО РАН
Email: ludm@niic.nsc.ru
Россия, Новосибирск
Список литературы
- Селиванова Г.А., Третьяков Е.В. // Изв. АН. Сер. хим. 2020. № 5. С. 838. https://doi.org/10.1007/s11172-020-2842-3 (Selivanova G.A., Tretyakov E.V. // Russ. Chem. Bull. 2020. V. 69. № 5. P. 838). https://doi.org/10.1007/s11172-020-2842-3
- Прошин А.Н., Трофимова Т.П., Зефирова О.Н. и др. // Изв. АН. Сер. хим. 2021. № 3. С. 510). https://doi.org/10.1007/s11172-021-3116-4 (Proshin A. N., Trofimova T.P., Zefirova O.N. et al. // Russ. Chem. Bull. 2021. V. 70. № 3. P. 51). https://doi.org/10.1007/s11172-021-3116-4]
- Кокорекин В.А., Ходонов В.М., Неверов С.В. и др. // Изв. АН. Сер. хим. 2021. № 3. С. 600). https://doi.org/10.1007/s11172-021-3131-5 (Kokorekin V.A., Khodonov V.M., S.V. Neverov S.V. et al. // Russ. Chem. Bull. 2021. V. 70. № 3. С. 600). https://doi.org/10.1007/s11172-021-3131-5
- Sadaf H., Fettouhi M., Fazal A. et al. // Polyhedron. 2019. V. 70. Р. 537. https://doi.org/10.1016/j.poly.2019.06.025
- Muñoz-Patiño N., Sanchez-Eguia B.N., Araiza-Olivera D. et al. // J. Inorg. Biochem. 2020. V. 211. Р. 111198). https://doi.org/10.1016/j.jinorgbio.2020.111198
- ChkirateK., KarrouchiK., DedeN. et al. // New J. Chem. 2020. V. 44. Р. 2210. https://doi.org/10.1039/C9NJ05913J
- Masaryk L., Tesarova B., Choquesillo-Lazarte D. et al. // J. Inorg. Biochem. 2021. V. 217. Р. 111395). https://doi.org/10.1016/j.jinorgbio.2021.111395
- Aragón-Muriel A., Liscano Y., Upegui Y. et al. // Antibiotics. 2021. V. 1. № 6. Р. 728). https://doi.org/10.3390/antibiotics10060728
- Alterhoni E., Tavman A., Hacioglu M. et al. // J. Mol. Struct. 2021. V. 1229. Р. 129498). https://doi.org/10.1016/j.molstruc.2020.129498
- Raducka A., Świątkowski M., Korona-Głowniak I. et al. // Int. J. Mol. Sci. 2022. V. 23. № 12. Р. 6595). https://doi.org/10.3390/ijms23126595
- Üstün E., Şahin N., Özdemir İ. et al. // Arch. Pharm. 2023. Art. e2300302). https://doi.org/10.1002/ardp.202300302
- Elkanzi N.A., Ali A.M., Albqmi M. et al. // J. Organomet. Chem. 2022. V. 36. № 11. Art. e6868). https://doi.org/10.1002/aoc.6868
- Šindelář Z., Kopel P. // Inorganics. 2023. V. 11. № 3. Р. 113. https://doi.org/10.3390/inorganics11030113
- Rogala P., Jabłońska-Wawrzycka A., Czerwonka G. et al. // Molecules. 2022. V. 28. № 1. Р. 40). https://doi.org/10.3390/molecules28010040
- Helaly A., Sahyon H., Kiwan H. et al. // Biointerface Res. Appl. Chem. 2023. V. 13. № 4. Р. 365). https://doi.org/10.33263/BRIAC134.365
- Sączewski F., Dziemidowicz-Borys E.J., Bednarski P. J. et al. // J. Inorg. Biochem. 2006. V. 100. № 8. Р. 1389). https://doi.org/10.1016/j.jinorgbio.2006.04.002
- Волыхина В.Е., Шафрановская Е.В. // Вестник Витебск. гос. мед. ун-та. 2009. Т. 8. № 4. С. 6).
- Farmer K.J., Sohal R. S. // Free Radic. Biol. Med. 1989. V. 7. № 1. Р. 23. https://doi.org/10.1016/0891-5849(89)90096-8
- Rusting R.L. // Sci. Am. 1992. V.2 67. № 6. Р. 130. https://www.jstor.org/stable/24939339
- Lavrenova L.G., Kuz’menko T.A., Ivanova A.D. et al. // New J. Chem. 2017. 41. № 11. Р. 4341. https://doi.org/10.1039/c7nj00533d
- Dyukova I.I., Lavrenova L.G., Kuz’menko T.A. et al. // Inorg. Chim. Acta. 2019. V. 486. Р. 406. https://doi.org/10.1016/j.ica.2018.10.064
- Дюкова И.И., Кузьменко Т.А., Комаров В.Ю. и др. // Коорд. химия. 2018. Т. 44. № 6. С. 393. https://doi.org/(0.1134/S0132344X18060142 (Dyukova I.I., Kuz’menko T.A., Komarov V.Yu. et al. // Russ. J. Coord. Chem. 2018. V. 44. № 12. Р. 755). https://doi.org/10.1134/s107032841812014x
- Иванова А.Д., Кузьменко Т.А., Смоленцев А.И. и др. // Коорд. химия. 2021.Т. 47. № 11. С. 689). https://doi.org/10.31857/S0132344X21110025 (Ivanova A.D., Kuz’menko T.A., Smolentsev A.I. et al. // Russ. J. Coord. Chem. 2021. V. 47. № 11. Р. 751). https://doi.org/ 10.1134/S1070328421110026
- Иванова А.Д., Кузьменко Т.А., Комаров В.Ю. и др. // Изв. АН. Сер. хим. 2021. № 8. С. 1550). https://doi.org/10.1007/s11172-021-3251-y (Ivanova A.D., Komarov V.Y., Glinskaya L.A. еt al. // Russ. Chem. Bull. 2021. V. 70. № 8. Р. 1550). https://doi.org/10.1007/s11172-021-3251-y
- Кузьменко В.В., Комиссаров В.Н., Симонов А.М. // Химия гетероцикл. соед. 1980. № 6. С. 814). https://doi.org/10.1007/pl00020455 (Kuz’menko V.V., Komissarov V.N., Simonov A.M. // Chem. Heterocycl. Comp. 1980. V. 16. № 6. Р. 34). https://doi.org/10.1007/pl00020455
- APEX2 (version 2012.2-0), SAINT (version 8.18c), and SADABS (version 2008/1) In Bruker Advanced X-ray Solutions. Madison (WI, USA): Bruker AXS Inc., 2000–2012.
- Sheldrick G.M. // Acta Crystallogr. C. 2015. V. 71. P. 3. https://doi.org/10.1107/S2053229614024218
- Клюшова Л.С., Голубева Ю.А., Вавилин В.А., Гришанова А.Ю. // Acta Biomed. Sci. 2022. V. 7. 5–2. Р. 31. https://doi.org/10.29413/ABS.2022-7.5-2.4
- Накамото К. ИК-спектры и спектры КР неорганических и координационных соединений. М.: Мир., 1991. 536 с. (Nakamoto K. Infrared and Raman Spectra of Inorganic and Coordination Compounds. New York (NY, USA): J. Wiley & Sons Inc., 1986.
- Ливер Э. Электронная спектроскопия неорганических соединений. Т. 2. М.: Мир, 1987, 445 с (Lever A. B.P. Inorganic Electronic Spectroscopy. Amsterdam (The Netherlands): Elsevier, 1985.
- Lavrenova L.G., Ivanova A.I., Glinskaya L.A. et al. // Chem. Asian J. 2023. V. 18. Art. e202201200. https://doi.org/10.1002/asia.202201200
- Bonner J.C., Fisher M.E. // Phys. Rev. 1964. V. 135. № 3A. A640. https://doi.org/10.1103/PhysRev.135.A640
- Wilkening S., Stahl F., Bader A. // Drug. Metab. Dispos. 2003. V. 31. № 8. Р. 1035. https://doi.org/10.1124/dmd.31.8.1035
- Donato M.T., Tolosa L., Gómez-Lechó M.J. // Methods Mol. Biol. 2015. № 1250. Р. 77. https://doi.org/10.1007/978-1-4939-2074-7_5
- Nekvindova J., Mrkvicova A., Zubanova V. et al. // Biochem. Pharmacol. 2020. V. 177. No 113912. https://doi.org/10.1016/j.bcp.2020.113912
- Shen H., Wu H., Sun F. et al. // Bioengineered. 2021. V. 12. № 1. Р. 240. https://doi.org/10.1080/21655979.2020.1866303
- Donato M.T., Jover R., Gómez-Lechón M.J. // Curr. Drug. Metab. 2013. V. 14. № 9. P. 946. https://doi.org/10.2174/1389200211314090002
- LiverTox: Clinical and Research Information on Drug-Induced Liver Injury [Internet]. Carboplatin. Bethesda (MD): National Institute of Diabetes and Digestive and Kidney Diseases, 2012. https://www.ncbi.nlm.nih.gov/books/NBK548565/
- LiverTox: Clinical and Research Information on Drug-Induced Liver Injury [Internet]. Cisplatin. Bethesda (MD): National Institute of Diabetes and Digestive and Kidney Diseases, 2012. https://www.ncbi.nlm.nih.gov/books/NBK548160/
Дополнительные файлы















