The First Example of Dicubane Nickel(II) Complex in the Series of Unsymmetrically Substituted Diketones
- Authors: Khamidullina L.A.1,2, Puzyrev I.S.1, Dorovatovsky P.V.3, Khrustalev V.N.4,5, Pestov A.V.1,2
-
Affiliations:
- Postovsky Institute of Organic Synthesis, Ural Branch, Russian Academy of Sciences
- Ural Federal University named after the First President of Russia B.N. Yeltsin
- Kurchatov Institute
- Peoples' Friendship University of Russia
- Zelinsky Institute of Organic Chemistry, Russian Academy of Sciences
- Issue: Vol 50, No 8 (2024)
- Pages: 502-509
- Section: Articles
- URL: https://journals.rcsi.science/0132-344X/article/view/268608
- DOI: https://doi.org/10.31857/S0132344X24080045
- EDN: https://elibrary.ru/MREYTE
- ID: 268608
Cite item
Full Text
Abstract
The first homometal dicubane nickel(II) complex based on unsymmetrically substituted 1,3-diketone (1,1,1-trifluoro-4-(2-methoxyphenyl)butan-2,4-dione) was synthesized and studied by X-ray diffraction using synchrotron radiation (CCDC no. 861889). In the crystal of the complex, nickel atoms are joined into tetrahedra sharing a common vertex with Ni…Ni distances of 3.026–3.127 A; the geometry is completed to a distorted dicubane by μ3-bridging oxygen atoms of the hydroxyl groups. The coordination environment of each metal center is a distorted octahedron, the ligand is deprotonated and performs a bidentate function, forming six-membered chelate rings.
Keywords
Full Text
Полиядерные комплексы переходных металлов привлекают большое внимание [1] благодаря их потенциальному использованию в качестве функциональных молекулярных материалов для применения в будущих технологиях в качестве молекулярных катализаторов [2] и мономолекулярных магнитов [3], а также в качестве биоимитирующих катализаторов [4] и многообещающих кандидатов на роль противораковых агентов [5] в медицине. Полидентатные лиганды могут образовывать ряд полиядерных комплексов с ионами металлов, таких как кубаны, спирали, сферы [6], многогранники [7], клетки [8], проволоки [9], кольца [10], диски [11] и сетки [12]. В отличие от систем с низкой ядерностью, гигантские сверхструктуры обычно синтезируются путем самосборки с высокой степенью случайности [1].
Координационные соединения никеля играют важную роль в химии полиядерных металлокомплексов. При участии различных лигандов никель может образовывать мономолекулярные магниты самого разнообразного строения, такие как плоский поликубан [13], цепочечные комплексы Ni(7) и Ni(21) [14], дискообразный декаметаллический комплекс [15] и др. Среди них можно отметить несколько примеров дикубановых комплексов Ni с металлокислородным ядром состава {Ni7O8} [16–20]. Для них характерно поведение мономолекулярного магнита [16, 17, 19]. Первый гомометаллический дикубановый комплекс Ni состава [Ni7(OH)8(Оx)3(Рip)3] (Оx = оксалат, Рip = пиперазин) был получен в 2004 году в автоклавных словиях при 180°С в течение 72 ч [16]. В большинстве случаев возможность получения полиядерного комплекса, имеющего дикубановую структуру, а также выбор органических лигандов непредсказуемы. Возникающие дикубаны зачастую являются случайными. В работе [19] при синтезе комплекса использовался ароилгидразоновый лиганд, однако в полученном комплексе [Ni7(µ3-OH)8(ДМФ)18](ClO4)6 · 2ДМФ молекулы органического лиганда отсутствуют. Среди представленных в литературе комплексов один дикубан, имеющий металлокислородное ядро состава {Ni7Cl2O6}, был получен с использованием 2-метил-1-(пиридин-2-ил)пропан-2-ола в качестве органического лиганда [21]. Как отмечают авторы, в ходе реакций конденсации двух химически различных кубанов никеля, приводящих к образованию октаядерного комплекса, в одном из экспериментов им удалось выделить дикубановый комплекс [Ni7(μ3-Cl)2(μ3-OH)6Cl4 (H2O)2(HL)6]Cl2. Следует отметить наличие гептаядерного дикубанового ядра никеля в структуре октаядерного комплекса [Ni8(μ3-Cl)3(μ3-OH)5(μ-Cl)2Cl6(HL)7].
Хотя в синтезе металлокомплексов широко используются β-дикетонатные лиганды, удалось получить лишь два близких по составу дикубановых комплекса никеля, в которых авторы используют β-дикетон, а именно гексафторацетилацетон (H2hfacac). Первоначально с помощью конденсации четырехъядерного кубана [Ni4(hfacac)4(MeO)4(MeOH)4] в пиридине был получен гептаядерный дикубан [Ni7(OH)8(hfacac)6 (Рy)6] · Рy (Рy = пиридин) [17]. Затем другие авторы показали, что четырехядерное соединение можно превратить в комплекс [Ni7(OH)8(hfacac)6 (H2O)6] · 2H2O при нагревании с обратным холодильником в толуоле [20].
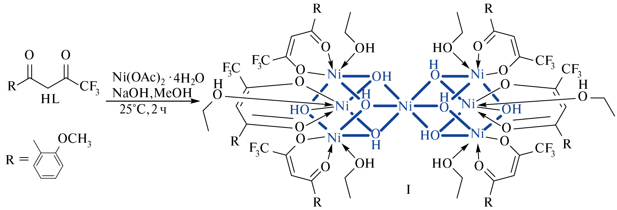
Ранее нами были изучены комплексообразующие свойства 1,1,1-трифтор-4-(2-метоксифенил)бутан-2,4-диона (HL) с медью(II) [22]. Соединение HL представляет собой несимметрично замещенный β-дикетон, который эффективно хелатирует металлоцентр. В настоящей работе реакцией HL с ацетатом никеля удалось синтезировать дикубановый комплекс состава [Ni7(L-κ2-O,O´)6(µ3-OH)8(EtOH)6] · H2O (I) и изучить его строение методом РСА с использованием синхротронного излучения.
ЭКСПЕРИМЕНТАЛЬНАЯ ЧАСТЬ
Все реагенты производства Sigma-Aldrich использовали без дополнительной очистки. Элементный анализ выполняли на автоматическом анализаторе Perkin Elmer CHN РЕ 2400. Содержание фтора определяли фотометрически. Спектры ЯМР 1Н регистрировали на спектрометре Bruker DRX-400, растворитель ДМФА-d7. Содержание никеля определяли методом атомноэмиссионной спектроскопии с использованием спектрометра iCAP 6300 Duo. ИК-Фурье спектры регистрировали с помощью спектрометра Spectrum One (Perkin Elmer) с приставкой нарушенного полного внутреннего отражения с алмазным кристаллом.
Синтез 1,1,1-трифтор-4-(2-метоксифенил)бутан2,4-диона (HL). К раствору 75 ммоль (8,9 мл) этилтрифторацетата в 30 мл сухого тетрагидрофурана добавляли 151 ммоль (1,2 г) мелко растертого гидрида лития. При нагревании и перемешивании добавляли 82 ммоль орто-метоксиацетофенона. Реакцию проводили при интенсивном перемешивании и кипячении в течение 5 ч. Реакционную массу охлаждали до комнатной температуры, растворитель отгоняли при пониженном давлении. Остаток растирали с уксусной кислотой, целевой продукт экстрагировали из водного раствора в хлороформ, объединяли органические фракции, промывали водой, сушили над безводным Na2SO4. Растворитель отгоняли при пониженном давлении и остаток перекристаллизовывали из хлороформа. Выход 12.4 г (67%).
Найдено, %: C 53.90; H 3.80; F 23.21. для C11H9O3F3 вычислено, %: C 53.67; H 3.68; F 23.15.
Спектр ЯМР 1H (ДМФА-d7; δ, м.д.; J, Гц): 4.04 (с, 3H, CH3); 7.07 (с, 1H, H(2)); 7.17 (м, 1H, H(5´)); 7.32 (д, 1H, H(3´), J = 8.5); 7.70 (дд, 1H, H(4´), Jo = 11.5, Jm = 4.1); 7.98 (д, 1H, H(6´), J = 7.6). Спектр ЯМР 13C (ДМФА-d7, δ, м.д.): 56.53 (OCH3); 97.80 (C(2)); 113.48 (C(3´), ArH); 114.88, 117.14, 119.39, 121.56 (CF3); 121.64 (C(5´), ArH); 121.98 (C(1´), ArH); 130.88 (C(6´), ArH); 136.59 (C(4´), ArH); 160.62 (C(2´), ArH); 176.03, 176.30, 176.58, 176.86 (C(3)); 185.53 (C(1)). Спектр ЯМР 19F (ДМФА-d7; δ, м.д.; C6F6): 87.59 (с, CF3).
Синтез гексакис-(1,1,1-трифтор-4-(2-метоксифенил)бутан-2,4-дионато-O,O´)окта(µ3-гидрокси)гексакисэтанолгептаникеля(II) моногидрата [Ni7(L-κ2-O,O´)6(µ3-OH)8(EtOH)6] · H2O (I). К раствору HL и NaOH в метаноле добавляли раствор Ni(CH3СОO)2 · 4H2O в воде. Реакцию проводили при интенсивном перемешивании при комнатной температуре в течение 2 ч. Осадок отфильтровывали, промывали водой и сушили в вакууме. Образовавшийся продукт перекристаллизовывали из смеси Et2O–EtOH–Me2CO (8 : 1 : 1). Выход 25%.
Найдено, %: C 40.42; H 4.08; F 14.71; Ni 17.82. дляC78H94O33F18Ni7 вычислено, %: C 40.51; H 4.10; F 14.79; Ni 17.77.
ИК-спектр (ν, см–1): 3426 ν(O–H), 2926 ν(С–НAr), 1618 ν(С=O, C=C), 1595 ν(С=O, C=C), 1528 ν(C=C–C=O).
РСА. Параметры элементарной ячейки и интенсивности отражений измерены на синхротронной станции «БЕЛОК» Национального исследовательского центра «Курчатовский институт», используя двухкоординатный детектор RayonixSX165 CCD (T = 100 K, λ = 0.96990 Å, j-сканирование с шагом 1.0°). Обработка экспериментальных данных проведена с помощью программы iMOSFLM, входящей в комплекс программ CCP4 [23]. Для полученных данных проведен учет поглощения рентгеновского излучения по программе Scala [24]. Структура определена прямыми методами и уточнена полноматричным методом наименьших квадратов по F2 в анизотропном приближении для неводородных атомов. Положения атомов водорода рассчитаны геометрически и включены в уточнение с фиксированными позиционными параметрами (модель «наездника») и изотропными параметрами смещения (Uiso(H) = 1.5Ueq(C) для CH3-групп и Uiso(H) = 1.2Ueq(C) для остальных групп). Все расчеты проведены с использованием комплекса программ SHELXTL [25]. Основные кристаллоструктурные данные и параметры уточнения представлены в табл. 1, длины связей и валентные углы — в табл. 2.
Таблица 1. Кристаллографические данные, параметры эксперимента и уточнения структуры комплекса I
Параметр | Значение |
Брутто-формула | C78H94O33F18Ni7 |
М | 2312.37 |
Сингония | Триклинная |
Пр. группа | P1– |
Z | 1 |
a, Å | 12.4011(11) |
b, Å | 14.6269(13) |
c, Å | 15.5965(14) |
α, град | 110.930(9) |
β, град | 107.611(9) |
γ, град | 102.063(8) |
V, Å3 | 2353.4(5) |
r(выч.), г/см3 | 1.632 |
m, мм–1 | 3.435 |
F(000) | 1184.0 |
Размеры кристалла, мм | 0.05×0.07×0.07 |
Область сбора данных по θ, град | 2.7< θ <35.6 |
Интервалы индексов hkl | –14 ≤ h ≤ 10, –17 ≤ k ≤17, –18 ≤ l ≤ 18 |
Измерено отражений | 22927 |
Независимых отражений | 8416 |
Отражений с I ≥ 2σ(I) | 5356 |
Число уточняемых параметров | 568 |
R1, wR2 (I > 2σ(I)) | 0.0977, 0.2200 |
R1, wR2 (все отражения) | 0.1339, 0.2477 |
GOOF | 1.026 |
Остаточная электронная плотность (max/min), е/Å3 | 1.721/–1.333 |
Таблица 2. Избранные длины связей (Å) и валентные углы (град) в координационном узле комплекса I
Связь | d, Å | Угол | ω, град |
Ni(1)–O(1) | 2.044(5) | O(1)Ni(1)O(3) | 83.9(2) |
Ni(1)–O(3) | 2.055(5) | O(1)Ni(1)O(2) | 83.60(19) |
Ni(1)–O(2) | 2.061(5) | O(3)Ni(1)O(2) | 84.2(2) |
Ni(2)–O(5) | 2.036(6) | O(2)Ni(2)O(6) | 95.6(2) |
Ni(2)–O(1) | 2.059(5) | O(5)Ni(2)O(1) | 92.2(2) |
Ni(2)–O(4 | )2.152(5) | O(6)Ni(2)O(14) | 93.0(2) |
Таблицы координат и параметров смещения атомов, длин связей, валентных и торсионных углов депонированы в Кембриджском банке структурных данных (CCDC № 1861889; deposit@ccdc.cam.ac.uk; http://www.ccdc.cam.ac.uk).
РЕЗУЛЬТАТЫ И ИХ ОБСУЖДЕНИЕ
При обработке водно-метанольного раствора NaL раствором ацетатаникеля(II) с последующей сушкой и кристаллизацией был получен комплекс состава [Ni7(L-κ2-O,O´)6(µ3-OH)8 (EtOH)6] · H 2O (I) (схема 1).
Схема 1
Гомометаллический гептаядерный комплекс никеля I имеет дикубановую структуру с общей вершиной (рис. 1). Атом Ni1 расположен в центре инверсии и связан с остальными кристаллографически независимыми металлоцентрами (Ni(2), Ni(3), Ni(4)) посредством трех кислородных атомов мостиковых µ3-OH-групп (O(1), O(2), O(3)). Четвертая µ3-OH-группа связывает три периферических металлоцентра через атом O(4). Таким образом, гексакоординированные атомы никеля вместе с атомами кислорода гидроксильных групп образуют кубановые фрагменты {Ni4O4} (рис. 2).
Рис. 1. Молекулярная структура комплекса I в тепловых эллипсоидах 30%-ной вероятности. Атомы водорода и сольватная молекула воды не изображены. Для разупорядоченных групп приведены только мажорные компоненты
Рис. 2. Строение неорганического ядра и координационного полиэдра комплекса I по данным РСА
Каждый из периферических металлоцентров координирует два кислородных атома одного хелатного фрагмента депротонированного лиганда HL, один кислородный атом молекулы этанола и три кислородных атома мостиковых гидроксильных групп, формируя искаженное октаэдрическое окружение (рис. 3). Длины связей Ni–О с атомами кислорода, расположенными в экваториальной плоскости, составляют от 2.035 до 2.056 Å, а с атомами кислорода, расположенными на аксиальной оси — от 2.060 до 2.152 Å. Вследствие искажения кубанового фрагмента {Ni4} расстояния Ni…Ni между центральным и внешними атомами Ni (средн. 3.033 Å) короче таковых между внешними атомами (средн. 3.118 Å). В табл. 3 приведены величины минимальных и максимальных длин связей Ni–O и Ni–Ni для комплекса I в сравнении с гептаядерными дикубанами, полученными с использованием гексафторацетилацетона в качестве лиганда. Как следует из представленных данных, лиганд HL демонстрирует уменьшение донорности по сравнению с гексафторацетилацетоном, поскольку длина связей Ni–O увеличивается.
Рис. 3. Координационное окружение периферического металлоцентра в комплексе I по данным РСА
Таблица 3. Минимальные и максимальные значения длин связей в координационном узле дикубановых комплексов никеля(II) в ряду 1,3-дикетонов
Формула лиганда | Формула координационного соединения | Длина связи, Å | Литература | |
Ni–O | Ni–Ni | |||
[Ni7(OH)8(hfacac)6(Рy)6] · Рy | 2.022 2.095 | 3.034 3.119 | [17] | |
[Ni7(hfacac)6(OH)8(H2O)6] · 2H2O | 2.020 2.095 | 3.024 3.093 | [20] | |
[Ni7(L-κ2-O,O´)6(µ3-ОН)8(EtOH)6] · H2O | 2.036 2.152 | 3.026 3.217 | Настоящая работа | |
В кристалле I присутствуют многочисленные внутримолекулярные водородные связи и межмолекулярные контакты (OH···O, OH···F, CH···F и CH···O) (табл. 4). Кроме того, входящая в состав I одна сольватная молекула воды удерживается классическими водородными связями OH···O.
Таблица 4. Внутримолекулярные водородные связи и межмолекулярные контактыв кристалле I*
D–H···A | Расстояние, Å | Угол D–H···A, град | ||
D–H | H···A | D···A | ||
O(1)–H(1O)···O(12)i | 0.90 | 2.40 | 3.098 (8) | 135 |
O(2)–H(O·)··O(9)i | 0.90 | 2.42 | 3.117 (7) | 135 |
O(3)–H(3O)···O(6)i | 0.90 | 2.54 | 3.236 (8) | 135 |
O(4)–H(4O)···O(17) | 0.90 | 2.32 | 3.068 (13) | 140 |
O(14)–H(14O)···O(11) | 0.90 | 2.19 | 3.001 (9) | 149 |
O(15)–H(15B)···O(5) | 0.90 | 1.97 | 2.837 (8) | 160 |
O(16)–H(16A)···O(8) | 0.90 | 2.40 | 3.209 (8) | 150 |
O(16)–H(16B)···O(17)ii | 0.90 | 1.67 | 2.461 (14) | 145 |
O(17)–H(17A)···O(8)ii | 0.91 | 2.12 | 2.815 (13) | 133 |
*Коды симметрии: i −x + 1, −y + 1, −z + 1; ii −x, −y + 1, −z + 1.
В ИК-спектре комплекса I (рис. 4) присутствуют характеристические ассимметрические валентные колебания группы связей C=C–C=O при 1618 см–1, которые также проявляются при 1595 см–1 вследствие координации лиганда HL на металлоцентр. Данные колебания в исходном лиганде проявляются в виде интенсивной широкой полосы с максимумом при 1604 см–1 [22]. Симметричные валентные колебания группы связей C=C–C=O при образовании комплекса I соответствуют полосе поглощения при 1528 см–1, в то время как в лиганде полоса поглощения данной группы наблюдается при 1490 см–1.
Рис. 4. ИК-Фурье спектр комплекса I
Таким образом, в настоящей работе с использованием 1,1,1-трифтор-4-(2-метоксифенил)бутан2,4-диона удалось в одну стадию синтезировать дикубановый комплекс состава [Ni7(L-κ2-O,O´)6(µ3-OH)8(EtOH)6] · H2O (I), структуру которого подтвердили методом РСА с использованием синхротронного излучения. С учетом литературных данных следует отметить, что среди немногочисленных дикубановых комплексов Ni(II) получено соединение I, которое является первым примером гомометаллического гептаядерного дикубана с участием несимметричного 1,3-дикетонового лиганда как более слабого донора по сравнению с симметричными 1,3-дикетонами.
Авторы заявляют, что у них нет конфликта интересов.
БЛАГОДАРНОСТИ
Спектры ЯМР 1Н и ИК-Фурье получены с использованием оборудования Центра коллективного пользования «Спектроскопия и анализ органических соединений».
ФИНАНСИРОВАНИЕ
Работа выполнена при финансовой поддержке Минобрнауки России в рамках государственного задания Института органического синтеза им. И.Я. Постовского УрО РАН (тема № гос. рег. 124020500039-0) с использованием оборудования центра коллективного пользования «Спектроскопия и анализ органических соединений» в части синтеза, анализа состава и строения, а также в рамках государственного задания Уральского федерального университета (тема № гос. рег. 123031300049-8) в части постановки задачи и обсуждения спектральных данных.
About the authors
L. A. Khamidullina
Postovsky Institute of Organic Synthesis, Ural Branch, Russian Academy of Sciences; Ural Federal University named after the First President of Russia B.N. Yeltsin
Email: puzyrev@ios.uran.ru
Russian Federation, Yekaterinburg; Yekaterinburg
I. S. Puzyrev
Postovsky Institute of Organic Synthesis, Ural Branch, Russian Academy of Sciences
Author for correspondence.
Email: puzyrev@ios.uran.ru
Russian Federation, Yekaterinburg
P. V. Dorovatovsky
Kurchatov Institute
Email: puzyrev@ios.uran.ru
Russian Federation, Moscow
V. N. Khrustalev
Peoples' Friendship University of Russia; Zelinsky Institute of Organic Chemistry, Russian Academy of Sciences
Email: puzyrev@ios.uran.ru
Russian Federation, Moscow; Moscow
A. V. Pestov
Postovsky Institute of Organic Synthesis, Ural Branch, Russian Academy of Sciences; Ural Federal University named after the First President of Russia B.N. Yeltsin
Email: puzyrev@ios.uran.ru
Russian Federation, Yekaterinburg; Yekaterinburg
References
- Shiga T., Newton G.N., Oshio H. // Dalton Trans. 2018. V. 47, № 22. P. 7384.
- Kirillov A.M., Kirillova M. V., Pombeiro A.J.L. // Coord. Chem. Rev. 2012. V. 256. № 23–24. P. 2741.
- Ungur L., Lin S.Y., Tang J. et al. // Chem. Soc. Rev. 2014. V. 43. № 20. P. 6894.
- Nesterov D.S., Nesterova O. V., Pombeiro A.J.L. // Coord. Chem. Rev. 2018. V. 355. P. 199.
- Wang K., Gao E. // Anticancer Agents Med. Chem. 2014. V. 14. № 1. P. 147.
- Muetterties E.L., Rhodin T.N., Band E. et al. // Chem. Rev. 1979. V. 79. № 2. P. 91.
- Zhao Q., Harris T.D., Betley T.A. // J. Am. Chem. Soc. 2011. V. 133. № 21. P. 8293.
- Sanz S., O´Connor H.M., Martí-Centelles V. et al. // Chem. Sci. 2017. V. 8. № 8. P. 5526.
- Horiuchi S., Tachibana Y., Yamashita M. et al. // Nat. Commun. 2015. V. 6. Art. 6742.
- Zaleski C.M., Tricard S., Depperman E.C., et al. // Inorg. Chem. 2011. V. 50. № 22. P. 11348.
- Engelhardt L.P., Muryn C.A., Pritchard R.G. et al. // Angew. Chem. Int. Ed. 2008. V. 47. № 5. P. 924.
- Schäfer B., Greisch J.F., Faus I. et al. // Angew. Chem.Int. Ed. 2016. V. 55. № 36. P. 10881.
- Shvachko Y.N., Starichenko D. V., Korolev A. V. et al. // Inorg. Chim. Acta. 2018. V. 483. P. 480.
- Murrie M., Stoeckli-Evans H., Güdel H.U. // Angew. Chem.. Int. Ed. 2001. V. 40, № 10. P. 1957.
- Aromí G., Parsons S., Wernsdorfer W. et al. // Chem. Commun. 2005. № 40. P. 5038.
- Keene T.D., Hursthouse M.B., Price D.J. // New. J. Chem. 2004. V. 32. № 9. P. 1.
- Petit S., Neugebauer P., Pilet G. et al. // Inorg. Chem. 2012. V. 51. № 12. P. 6645.
- Dong W.K., Zhu L.C., Dong Y.J. et al. // Polyhedron. 2016. V. 117. P. 148.
- Mameri S. // Inorg, Chim. Acta. 2017. V. 455. P. 231.
- Kuznetsova O. V., Fursova E.Y., Letyagin G.A. et al. // Russ. Chem. Bull. 2018. V. 67, № 7. P. 1202.
- Hameury S., Kayser L., Pattacini R. et al. // ChemPlusChem. 2015. V. 80 № 8. P. 1312.
- Khamidullina L.A., Puzyrev I.S., Glukhareva T. V. et al. // J. Mol. Struct. 2019. V. 1176. P. 515.
- Battye T.G.G., Kontogiannis L., Johnson O. et al. // Acta Crystallogr. D. 2011. V. 67, № 4. P. 271.
- Evans P. // Acta Crystallogr. D. 2006. V. 62. № 1. P. 72.
- Sheldrick G.M. // Acta Crystallogr. C. 2015. V. 71. P. 3.
Supplementary files










