Heterophase Synthesis of Silver Trifluoroacetate with Copper, Indium, and Zinc. Standard Enthalpy of Formation of Copper Trifluoroacetate
- Authors: Malkerova I.P.1, Kayumova D.B.1, Belova E.V.1, Shmelev M.A.1, Sidorov A.A.1, Eremenko I.L.1, Alikhanyan A.S.1
-
Affiliations:
- Kurnakov Institute of General and Inorganic Chemistry, Russian Academy of Sciences, Moscow, Russia
- Issue: Vol 49, No 11 (2023)
- Pages: 706-710
- Section: Articles
- URL: https://journals.rcsi.science/0132-344X/article/view/162361
- DOI: https://doi.org/10.31857/S0132344X22600515
- EDN: https://elibrary.ru/NGONJB
- ID: 162361
Cite item
Full Text
Abstract
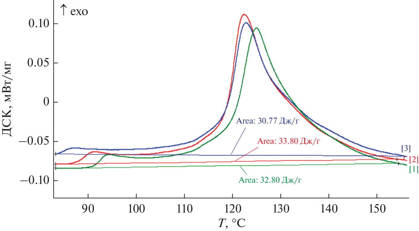
Solid-phase reactions of silver trifluoroacetate CF3COOAg with copper, indium, and zinc are studied by thermogravimetry, differential scanning calorimetry, and mass spectrometry. In a temperature range of 358–428 K, the reactions are found to afford trifluoroacetates of these metals without mass loss of the weighed samples. The obtained experimental data make it possible to calculate the enthalpy of formation of copper trifluoroacetate H298 (CF3СООСu, cr) = –1020.5 ± 18.0 kJ/mol.
About the authors
I. P. Malkerova
Kurnakov Institute of General and Inorganic Chemistry, Russian Academy of Sciences, Moscow, Russia
Email: sidorov@igic.ras.ru
Россия, Москва
D. B. Kayumova
Kurnakov Institute of General and Inorganic Chemistry, Russian Academy of Sciences, Moscow, Russia
Email: sidorov@igic.ras.ru
Россия, Москва
E. V. Belova
Kurnakov Institute of General and Inorganic Chemistry, Russian Academy of Sciences, Moscow, Russia
Email: sidorov@igic.ras.ru
Россия, Москва
M. A. Shmelev
Kurnakov Institute of General and Inorganic Chemistry, Russian Academy of Sciences, Moscow, Russia
Email: shmelevma@yandex.ru
Россия, Москва
A. A. Sidorov
Kurnakov Institute of General and Inorganic Chemistry, Russian Academy of Sciences, Moscow, Russia
Email: sidorov@igic.ras.ru
Россия, Москва
I. L. Eremenko
Kurnakov Institute of General and Inorganic Chemistry, Russian Academy of Sciences, Moscow, Russia
Email: sidorov@igic.ras.ru
Россия, Москва
A. S. Alikhanyan
Kurnakov Institute of General and Inorganic Chemistry, Russian Academy of Sciences, Moscow, Russia
Author for correspondence.
Email: alikhan@igic.ras.ru
Россия, 119991, Москва, Ленинский пр-т, 31
References
- Сыркин В.Г. CVD-метод. Химическая парофазная металлизация. М.: Наука, 2000. 496 с.
- Fromm K.M., Gueneau E.D. // Polyhedron. 2004. V. 23. P. 1479.
- Paramonov S., Samoilenkov S., Papucha S. et al. // J. Phys. IV. 2001. V. 11. P. Pr3-645-52.
- Morozova E.A., Dobrokhotova Zh.V., Alikhanyan A.S. // J. Therm. Anal. Calorim. 201. V. 130. № 3. P. 2211.
- Lukyanova V.A., Papina T.S., Didenko K.V. et al. // J. Therm. Anal. Calorim. 2008. V. 92. P. 743.
- Kamkin N.N., Kayumova D.B., Yaryshev N.G. et al. // Russ. J. Inorg. Chem. 2012. V. 57. P. 1308.
- Luo Y.-R. Handbook of Bond Dissociation Energies in Organic Compounds. CRC Press LLC, 2003.
- Термические константы веществ. Справочник / Под ред. Глушко В.П. М.: ВИНИТИ. Т. 4. Ч. 1.; Т. 6. Ч. 1. 1965–1981.
- Гурвич Л.В., Карачевцев Г.В., Кондратьев В.Н. и др. Энергии разрыва химических связей. Потенциалы ионизации и сродство к электрону. М.: Наука, 1974. 351 с.
- Карапетьянц М.Х., Карапетьянц М.Л. Справочник. Основные термодинамические константы неорганических и органических веществ. М.: Химия, 1968. 470 с.
- NIST Chemistry WebBook / Eds. Linstrom P.J., Mallard W.G. NIST Standard Reference Database Number 69. Gaithersburg (MD, USA): National Institute of Standards and Technology, 2023. https://doi.org/10.18434/T4D303
- Киреев В.А. Методы практических расчетов в термодинамике химических реакций. М.: Химия, 1970. 520 с.
- Christe K.O., Naumann D. // Spectrochim. Acta. A. 1973. V. 29. № 12. P. 2017. https://doi.org/10.1016/0584-8539(73)80060-1
- Szczęsny R., Szłyk E. // J. Therm. Anal. Calorim. 2013. V. 111. № 2. P. 1325.
- Li H., Zhao B., Ding R. et al. // Crystal Growth Design. 2012. V. 12. № 8. P. 4170.
- Chirakkara S., Nanda K.K., Krupanidhi S.B. // Thin Solid Films. 2011. V. 519. P. 3647.
- Bernik S., Kosir M., Guilmeau E. // Zastita Materijala. 2016. V. 57. N. 2. P. 318.
- Gholami M., Khodadadi A.A., Anaraki Firooz A. et al. // Sensors Actuators. B. 2015. V. 212. P. 395.
- Ahmad M., Zhao J., Iqbal J. et al. // J. Phys. D. 2009. V. 42. P. 165406.
- Mishra S., Daniele S. // Chem. Rev. 2015. V. 115. № 16. P. 8379.
- Hichou A.E., Bougrine A., Bubendorff J.L. et al. // Semicond. Sci.Technol. 2002. V. 17. № 6. P. 607.
- Gunasekaran E., Ezhilan M., Mani et al. // Semicond. Sci. Technol. 2018. V. 33. № 9. Art. 095005.
- Antony A., Pramodini S., Kityk I.V. et al. // Physica. E. 2017. V. 94. P. 190.
- Kadi M.W., McKinney D., Mohamed R.M. et al. // Ceramics Intern. 2016. V. 42. № 4. P. 4672.
- Choi Y.-J., Park H.-H. // J. Mater. Chem. C. 2014. V. 2. № 1. P. 98.
- Cosham S.D., Kociok-Köhn G., Johnson A.L. et al. // Eur. J. Inorg. Chem. 2015. V. 2015. № 26. P. 4362.




