Heterometallic Carboxylate Complexes with {Co2Ln} and {Co2Li2} Metal Cores: Synthesis, Structures, and Magnetic Properties
- Authors: Rubtsova I.K.1, Nikolaevskii S.A.1, Eremenko I.L.1, Kiskin M.A.1
-
Affiliations:
- Kurnakov Institute of General and Inorganic Chemistry, Russian Academy of Sciences, Moscow, Russia
- Issue: Vol 49, No 11 (2023)
- Pages: 669-684
- Section: Articles
- URL: https://journals.rcsi.science/0132-344X/article/view/162358
- DOI: https://doi.org/10.31857/S0132344X23600297
- EDN: https://elibrary.ru/FUDXFP
- ID: 162358
Cite item
Full Text
Abstract
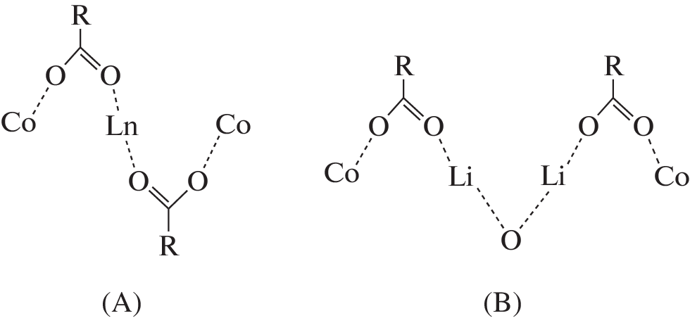
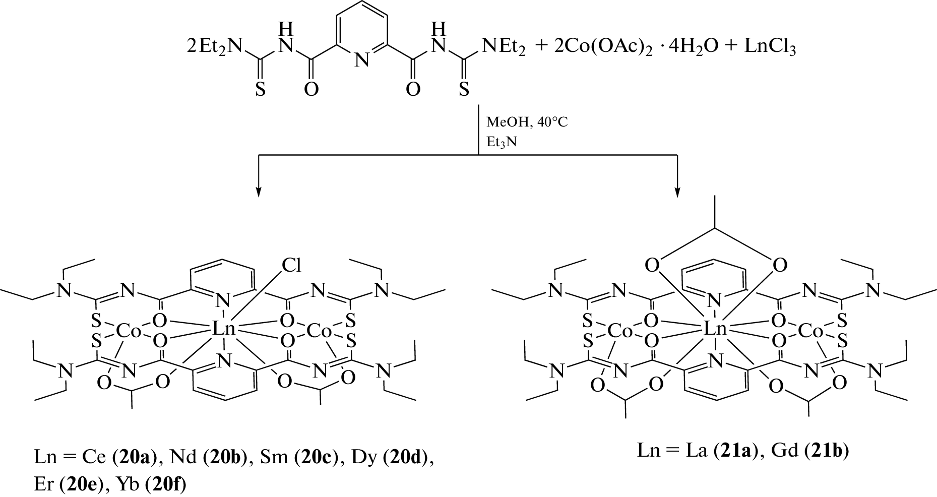
The results of studying the heterometallic trinuclear {CoLn} and tetranuclear {CoLi2} carboxylate coordination compounds are systematized. The methods of the syntheses are discussed, and the structures and magnetic properties are considered
About the authors
I. K. Rubtsova
Kurnakov Institute of General and Inorganic Chemistry, Russian Academy of Sciences, Moscow, Russia
Email: sanikol@igic.ras.ru
Москва, Россия,
S. A. Nikolaevskii
Kurnakov Institute of General and Inorganic Chemistry, Russian Academy of Sciences, Moscow, Russia
Email: sanikol@igic.ras.ru
Россия, Москва
I. L. Eremenko
Kurnakov Institute of General and Inorganic Chemistry, Russian Academy of Sciences, Moscow, Russia
Email: sanikol@igic.ras.ru
Россия, Москва
M. A. Kiskin
Kurnakov Institute of General and Inorganic Chemistry, Russian Academy of Sciences, Moscow, Russia
Author for correspondence.
Email: sanikol@igic.ras.ru
Россия, Москва
References
- Yang D., Chen Y., Su Z. et al. // Coord. Chem. Rev. 2021. V. 428. P. 213619.
- Rice A.M., Leith G.A., Ejegbavwo O.A. et al. // ACS Energy Lett. 2019. V. 4. № 8. P. 1938.
- Lamiel C., Hussain I., Rabiee H. et al. // Coord. Chem. Rev. 2023. V. 480. P. 215030.
- Shen J.-Q., Liao P.-Q., Zhou D.-D. et al. // J. Am. Chem. Soc. 2017. V. 139. № 5. P. 1778.
- Rosado Piquer L., Sañudo E.C. // Dalton Trans. 2015. V. 44. № 19. P. 8771.
- Dey A., Acharya J., Chandrasekhar V. // Chem. Asian J. 2019. V. 14. № 24. P. 4433.
- Wang J. Feng M., Akhtar M.N., Tong M.-L. // Coord. Chem. Rev. 2019. V. 387. P. 129.
- Monteiro B., Coutinho J.T., Pereira L.C.J. Lanthanide-Based Multifunctional Materials. Elsevier, 2018. P. 233.
- Sidorov A.A., Kiskin M.A., Aleksandrov G.G. et al. // Russ. J. Coord. Chem. 2016. V. 42. № 10. P. 621.
- Sidorov A.A., Gogoleva N.V., Bazhina E.S. et al. // Pure Appl. Chem. 2020. V. 92. № 7. P. 1093.
- Andruh M., Costes J.-P., Diaz C., Gao S. // Inorg. Chem. 2009. V. 48. № 8. P. 3342.
- Andruh M. // Dalton Trans. 2015. V. 44. № 38. P. 16633.
- Darago L.E., Boshart M.D., Nguyen B.D. et al. // J. Am. Chem. Soc. 2021. V. 143. № 22. P. 8465.
- Zheng Y.-Z., Evangelisti M., Tuna F., Winpenny R.E.P. // J. Am. Chem. Soc. 2012. V. 134. № 2. P. 1057.
- Zheng Y.-Z., Evangelisti M., Winpenny R.E.P. // Chem. Sci. 2011. V. 2. № 1. P. 99.
- Peng J.-B., Zhang Q.-C., Kong X.-J. et al. // J. Am. Chem. Soc. 2012. V. 134. № 7. P. 3314.
- Le Roy J.J., Cremers J., Thomlinson I.A. et al. // Chem. Sci. 2018. V. 9. № 45. P. 8474.
- Elias J.S., Risch M., Giordano L. et al. // J. Am. Chem. Soc. 2014. V. 136. № 49. P. 17193.
- Zhang H., Ma J., Chen D. et al. // J. Mater. Chem. A. 2014. V. 2. № 48. P. 20450.
- Kumar K., Chorazy S., Nakabayashi K. et al. // J. Mater. Chem. C. 2018. V. 6. № 31. P. 8372.
- Wang J., Chorazy S., Nakabayashi K. et al. // J. Mater. Chem. C. 2018. V. 6. № 3. P. 473.
- Xin Y., Wang J., Zychowicz M. et al. // J. Am. Chem. Soc. 2019. V. 141. № 45. P. 18211.
- Zhu M., Zhang H., Ran G. et al. // J. Am. Chem. Soc. 2021. V. 143. № 19. P. 7541.
- Hong S., Pfaff F.F., Kwon E. et al. // Angew. Chem. Int. Ed. 2014. V. 53. № 39. P. 10403.
- Hong S., Pfaff F.F., Kwon E. et al. // Angew. Chem. Int. Ed. 2017. V. 56. № 36. P. 10630.
- King E.R., Betley T.A. // J. Am. Chem. Soc. 2009. V. 131. № 40. P. 14374.
- Andrez J., Guidalb V., Scopelliti R. et al. // J. Am. Chem. Soc. 2017. V. 139. № 25. P. 8628.
- Wei Z., Han H., Filatov A.S., Dikarev E.V. // Chem. Sci. 2014. V. 5. № 2. P. 813.
- Tey S.L., Reddy M.V., Subba Rao G.V. et al. // Chem. Mater. 2006. V. 18. № 6. 18. P. 1587.
- Boyle T.J., Rodriguez M.A., Ingersoll D. et al. // Chem. Mater. 2003. V. 15. № 20. P. 3903.
- Chen C., Hecht M.B., Kavara A. et al. // J. Am. Chem. Soc. 2015. V. 137. № 41. P. 13244.
- Goetz M.K., Hill E.A., Filatov A.S., Anderson J.S. // J. Am. Chem. Soc. 2018. V. 140. № 41. P. 13176.
- Nurdin L., Spasyuk D.M., Fairburn L. et al. // J. Am. Chem. Soc. 2018. V. 140. № 47. P. 16094.
- Rowsell J.L.C., Yaghi O.M. // Microporous Mesoporous Mater. 2004. V. 73. № 1–2. P. 3.
- Chui S.S.-Y., Lo S.M.-F., Charmant J.P.H. et al. // Science. 1999. V. 283. № 5405. P. 1148.
- Serre C., Mellot-Draznieks C., Surblé S. et al. // Science. 2007. V. 315. № 5820. P. 1828.
- Agafonov M.A., Alexandrov E.V., Artyukhova N.A. et al. // J. Struct. Chem. 2022. V. 63. № 5. P. 671.
- Cui Y., Chen J.-T., Long D.-L. et al. // Dalton Trans. 1998. № 18. P. 2955.
- Cui Y., Chen G., Ren J. et al. // Inorg. Chem. 2000. V. 39. № 18. P. 4165.
- Bykov M.A., Emelina A.L., Orlova E.V. et al. // Russ. J. Inorg. Chem. 2009. V. 54. № 4. P. 548.
- Pakhmutova E.V., Malkov A.E., Mikhailova T.B. et al. // Russ. Chem. Bull. 2003. V. 52. № 10. P. 2117.
- Sapianik A.A., Lutsenko I.A., Kiskin M.A. et al. // Russ. Chem. Bull. 2016. V. 65. № 11. P. 2601.
- Kiskin M., Zorina-Tikhonova E., Kolotilov S. et al. // Eur. J. Inorg. Chem. 2018. V. 2018. № 12. P. 1356.
- Lutsenko I.A., Kiskin M.A., Nikolaevskii S.A. et al. // ChemistrySelect. 2019. V. 4. № 48. P. 14261.
- Wu B. // J. Coord. Chem. 2008. V. 61. № 16. P. 2558.
- Wu B., Hou T. // Acta Crystallogr. E. 2010. V. 66. № 4. P. m457.
- Wu B., Zhao C.-X. // Acta Crystallogr. E. 2010. V. 66. № 9. P. m1075.
- Lu W.M., Wu J.-B., Dong N., Chun W.-G. // Acta Crystallogr. C. 1995. V. 51. № 8. P. 1568.
- Zhu Y., Luo F., Feng X.-F. et al. // Aust. J. Chem. 2013. V. 66. № 1. P. 75.
- Yambulatov D.S., Nikolaevskii S.A., Shmelev M.A. et al. // Mendeleev Commun. 2021. V. 31. № 5. P. 624.
- Fursova E.Yu., Kuznetsova O.V., Ovcharenko V.I. et al. // Russ. Chem. Bull. 2007. V. 56. № 9. P. 1805.
- Nikolaevskii S.A., Petrov P.A., Sukhikh T.S. et al. // Inorg. Chim. Acta. 2020. V. 508. P. 119643.
- Nikolaevskii S.A., Yambulatov D.S., Voronina J.K. et al. // ChemistrySelect. 2020. V. 5. № 41. P. 12829.
- Trieu T.N., Nguyen M.H., Abram U. et al. // Z. Anorg. Allg. Chem. 2015. V. 641. № 5. P. 863.
- Jesudas J.J., Pham C.T., Hagenbach A. et al. // Inorg. Chem. 2020. V. 59. № 1. P. 386.
- Tang Q., Sun Y., Li H.-Y. et al. // Appl. Organometal. Chem. 2019. V. 33. № 4. P. e4814.
- Shmelev M.A., Voronina Yu.K., Chekurova S.S. et al. // Russ. J. Coord. Chem. 2021. V. 47. № 8. P. 551.
- Dobrohotova Zn.V., Sidorov A.A., Kiskin M.A. et al. // J. Solid State Chem. 2010. V. 183. № 10. P. 2475.
- Cheprakova E.M., Verbitskiy E.V., Kiskin M.A. et al. // Polyhedron. 2015. V. 100. P. 89.
- Sapianik A.A., Kiskin M.A., Kovalenko K.A. et al. // Dalton Trans. 2019. V. 48. № 11. P. 3676.
- Kuznetsova G.N., Nikolaevskii S.A., Yambulatov D.S. et al. // J. Struct. Chem. 2021. V. 62. № 2. P. 184.
- Dobrokhotova Z., Emelina A., Sidorov A. et al. // Polyhedron. 2011. V. 30. № 1. P. 132.
- Gol’dberg A.E., Nikolaevskii S.A., Kiskin M.A. et al. // Russ. J. Coord. Chem. 2015. V. 41. № 12. P. 777. https://doi.org/10.1134/S1070328415120015
- Zorina-Tikhonova E.N., Aleksandrov G.G., Kiskin M.A. et al. // Russ. J. Coord. Chem. 2019. V. 45. № 10. P. 689. https://doi.org/10.1134/S1070328419100099
Supplementary files





















