Molecular Switches of the LD-CISSS Type Based on Ni(II) Azomethine Bis-Chelate Complexes. Quantum Chemical Modeling
- Authors: Kharabayev N.N.1, Starikov A.G.1, Minkin V.I.1
- 
							Affiliations: 
							- Research Institute of Physical and Organic Chemistry, Southern Federal University, Rostov-on-Don, Russia
 
- Issue: Vol 49, No 8 (2023)
- Pages: 485-492
- Section: Articles
- URL: https://journals.rcsi.science/0132-344X/article/view/137312
- DOI: https://doi.org/10.31857/S0132344X23700275
- EDN: https://elibrary.ru/SARRHQ
- ID: 137312
Cite item
Full Text
Abstract
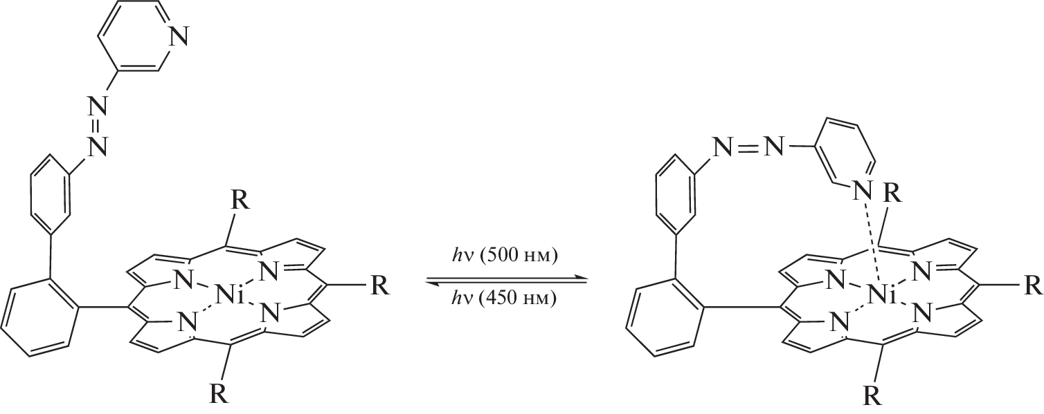
(DFT/B3LYP/6-311++G(d,p)) calculations were performed to study Ni(II) azomethine bis-chelates with photoactive moieties (imidazole and benzimidazole derivatives of azo compounds, azomethines, and stilbenes) exhibiting the behavior of molecular magnetic switches by the light-driven coordination-induced spin state switching (LD-CISSS) mechanism. The structural and energy characteristics of the complexes favorable to or restricting the applicability of these complexes as molecular switches were determined.
About the authors
N. N. Kharabayev
Research Institute of Physical and Organic Chemistry, Southern Federal University, Rostov-on-Don, Russia
														Email: nkharabaev@mail.ru
				                					                																			                												                								Россия, Ростов-на-Дону						
A. G. Starikov
Research Institute of Physical and Organic Chemistry, Southern Federal University, Rostov-on-Don, Russia
														Email: nkharabaev@mail.ru
				                					                																			                												                								Россия, Ростов-на-Дону						
V. I. Minkin
Research Institute of Physical and Organic Chemistry, Southern Federal University, Rostov-on-Don, Russia
							Author for correspondence.
							Email: nkharabaev@mail.ru
				                					                																			                												                								Россия, Ростов-на-Дону						
References
- Aldoshin S.M. // Russ. Chem. Bull. 2008. № 57. P. 718.
- Sato O., Tao J., Zhang Y.-Z. // Angew. Chem. Int. Ed. 2007. V. 46. № 13. P. 2152.
- Minkin V.I., Starikov A.G. // Russ. Chem. Bull. 2015. V. 64. № 3. P. 475.
- Tezgerevska T., Alley K.G., Boskovic C. // Coor. Chem. Rev. 2014. V. 268. P. 23.
- Milek M., Heinemann F.W., Khusniyarov M.M. // Inorg. Chem. 2013. V. 52. P. 1585.
- Kaszub W., Marino A., Lorenc M. et al. // Angew. Chem. Int. Ed. 2014. V. 53. № 40. P. 10636.
- Dommaschk M., Peters M., Gutzeit F. et al. // J. Am. Chem. Soc. 2015. V. 137. P. 7552.
- Decurtins S., Gütlich P., Hasselbach K.M. et al. // Inorg. Chem. 1985. V. 24. № 14. P. 2174.
- Roux C., Zarembowitch J., Gallois B. et al. // Inorg. Chem. 1994. V. 33. P. 2273.
- Venkataramani S., Jana U., Dommaschk M. et al. // Science. 2011. V. 331. P. 445.
- Thies S., Sell H., Schutt C. et al. // J. Am. Chem. Soc. 2011. V. 133. P. 16243.
- Thies S., Sell H., Bornholdt C. et al. // Chem. Eur. J. 2012. V. 18. P. 16358.
- Dommaschk M., Schutt C., Venkataramani S. et al. // Dalton Trans. 2014. V. 43. P. 17395.
- Heitmann G., Schutt C., Herges R. // Eur. J. Org. Chem. 2016. P. 3817.
- Jameson G.B., March F.C., Robinson W.T., Koon S.S. // Dalton Trans. 1978. P. 185.
- Klaß M., Krahmer J., Näther C., Tuczek F. // Dalton Trans. 2018. V. 47. P. 1261.
- Brandenburg H., Krahmer J., Fischer K. et al. // Eur. J. Inorg. Chem. 2018. P. 576.
- Frisch M.J., Trucks G.W., Schlegel H.B. et al. Gaussian 09. Revision D.01. Wallingford (CT, USA): Gaussian, Inc., 2013.
- Parr R., Yang W. Density-Functional Theory of Atoms and Molecules. N.Y.: Oxford Univ. Press., 1989. 333 p.
- Becke A.D. // Phys. Rev. A. 1988. V. 38. P. 3098.
- Lee C., Yang W., Parr R.G. // Phys. Rev. B. 1988. V. 37. P. 785.
- Harvey J.N., Aschi M., Schwarz H., Koch W. // Theor. Chem. Acc. 1998. V. 99. № 2. P. 95.
- Zhurko G.A., Zhurko D.A. Chemcraft. Version 1.6. URL: http://www.chemcraftprog.com
Supplementary files
 
				
			 
					 
						 
						 
						 
						 
				
 
  
  
  Email this article
			Email this article 






