Complexes of Cu(II), Co(II), and Zn(II) Terephthalates with Hydroxyalkylamines
- Authors: Zav’yalova D.A.1,2, Kondratenko Y.A.1, Zolotarev A.A.3, Ugolkov V.L.1, Kochina T.A.1
-
Affiliations:
- Grebenshchikov Institute of Silicate Chemistry, Russian Academy of Sciences, St. Petersburg, Russia
- St. Petersburg State Technological Institute (Technical University), St. Petersburg, Russia
- Institute of Earth Sciences, St. Petersburg State University, St. Petersburg, Russia
- Issue: Vol 49, No 8 (2023)
- Pages: 474-484
- Section: Articles
- URL: https://journals.rcsi.science/0132-344X/article/view/137309
- DOI: https://doi.org/10.31857/S0132344X22600655
- EDN: https://elibrary.ru/SALKEI
- ID: 137309
Cite item
Full Text
Abstract
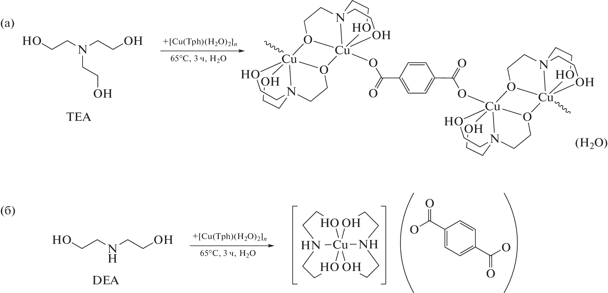
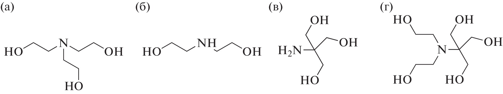
The reactions of Cu(II), Co(II), and Zn(II) terephthalates with hydroxyalkylamines (tris(2-hydroxyethyl)amine, bis(2-hydroxyethyl)amine, tris(hydroxymethyl)aminomethane, and bis(2-hydroxyethyl)aminotris(hydroxymethyl)methane) are studied for the first time. The structures and properties of the synthesized complexes are studied by IR spectroscopy, electronic absorption spectroscopy, mass spectrometry, and elemental and thermal analyses. The structure of the binuclear heteroligand [Cu2(TEA)2(Tph)]n·H2O complex is studied by single-crystal X-ray diffraction (XRD) (CIF file CCDC no. 2224437).
About the authors
D. A. Zav’yalova
Grebenshchikov Institute of Silicate Chemistry, Russian Academy of Sciences, St. Petersburg, Russia;St. Petersburg State Technological Institute (Technical University), St. Petersburg, Russia
Email: kondratencko.iulia@yandex.ru
Россия, Санкт-Петербург; Россия, Санкт-Петербург
Yu. A. Kondratenko
Grebenshchikov Institute of Silicate Chemistry, Russian Academy of Sciences, St. Petersburg, Russia
Email: kondratencko.iulia@yandex.ru
Россия, Санкт-Петербург
A. A. Zolotarev
Institute of Earth Sciences, St. Petersburg State University, St. Petersburg, Russia
Email: kondratencko.iulia@yandex.ru
Россия, Санкт-Петербург
V. L. Ugolkov
Grebenshchikov Institute of Silicate Chemistry, Russian Academy of Sciences, St. Petersburg, Russia
Email: kondratencko.iulia@yandex.ru
Россия, Санкт-Петербург
T. A. Kochina
Grebenshchikov Institute of Silicate Chemistry, Russian Academy of Sciences, St. Petersburg, Russia
Author for correspondence.
Email: kondratencko.iulia@yandex.ru
Россия, Санкт-Петербург
References
- Воронков, М.Г., Барышок В.П. // Вест. РАН. 2010. Т. 80. № 11. С. 985 (Voronkov M.G., Baryshok V.P. // Her. Russ. Acad. Sci. 2010. V. 80. № 6. P. 514).
- Кондратенко Ю.А., Кочина Т.А. // Журн. общ. химии. 2021. Т. 91. № 12. С. 1807 (Kondratenko Yu.A., Kochina T.A. // Russ. J. Gen. Chem. 2021. V. 91. P. 2331). https://doi.org/10.1134/S107036322112001X
- Adamovich S.N. // Appl. Organometal Chem. 2019. V. 33. e4940
- Адамович С.Н., Оборина Е.Н. // Изв. АН. Сер. хим. 2019. № 9. С. 1723 (Adamovich S.N., Oborina E.N. // Russ. Chem. Bull. 2019. V. 68. № 9. P. 1723). https://doi.org/10.1007/s11172-019-2616-y
- Колесникова О.П., Мирскова А.Н., Адамович С.Н. и др. // Бюлл. СО РАМН. 2009. Т. 29. № 6. С. 73.
- Kumar R., Obrai S., Kaur A. et al. // New J. Chem. 2014. V. 38. P. 1186.
- Adamovich S.N., Ushakov I.A., Oborina E.N. et al. // J. Mol. Liq. 2022. V. 358. P. 119213.
- Ibragimov A.B. // Acta Crystallogr. E. 2016. V. 72. P. 643.
- Kondratenko Y.A., Ugolkov V.L., Vlasov D.Yu. et al. // Mendeleev Commun. 2020. V. 30. P. 639.
- Kumar R., Obrai S., Kaur A. et al. // RSC Adv. 2014. V. 4. P. 59248.
- Ashurov J.M., Ibragimov A.B., Ibragimov B.T. // Polyhedron. 2015. V. 102. P. 441.
- Yesilela O.Z., Olmez H., Ucar I. et al. // Z. Anorg. Allg. Chem. 2005. V. 631. № 15. P. 3100.
- Ибрагимов А.Б., Ашуров Ж.М., Ибрагимов А.Б. и др. // Журн. неорган. химии. 2017. Т. 62. № 4. С. 436 (Ibragimov A.B., Zakirov B.S., Ashurov Z.M. et al. // Russ. J. Inorg. Chem. 2017. V. 62. № 4. P. 439). https://doi.org/10.7868/S0044457X17040067
- Kondratenko Y., Zolotarev A.A., Ignatyev I. et al. // Transition. Met. Chem. 2020. V. 45. P. 71.
- Sharma R.P., Saini A., Venugopalan P. et al. // New J. Chem. 2014. V. 38. № 2. P. 574.
- Topcu Y., Andac O., Yilmaz V. et al. // J. Coord. Chem. 2002. V. 55. № 7. P. 805.
- Ming C.L., Zhao Y., Yu B. et al. // Bull. Korean Chem. Soc. 2014. V. 35. P. 3349.
- Majumder A., Gramlich V., Rosair G.M. et al. // Cryst. Growth Des. 2006. V. 6. P. 2355.
- Kondratenko Y.A., Zavyalova D.A., Arsentev M.Y. et al. // Cryst. Growth Des. 2022. V. 22. P. 6886.
- Karabach Y.Y., Kirillov A.M., Guedes da Silva M.F.C. et al. // Cryst. Growth Des. 2006. V. 6. P. 2200.
- Karabach Y.Y., Kirillov A.M., Haukka M. et al. // J. Inorg. Biochem. 2008. V. 102. P. 1190.
- Liu Y., Gao P., Huang C. et al. // Sci. China Chem. 2015. V. 58. P. 1553.
- Cai F., Wang Q., Chen X. et al. // Biosens. Bioelectron. 2017. V. 98. P. 310.
- Tao J., Tong M.L., Chen X.M. // Dalton Trans. 2000. V. 20. P. 3669.
- Чеплакова А.М., Коваленко К.А., Шестопалов М.А. и др. // Изв. АН. Сер. хим. 2014. № 7. С. 1487 (Cheplakova A.M., Kovalenko K.A., Shestopalov M.A. // Russ. Chem. Bull. 2014. V. 63. № 7. P. 1487).
- Коваленко К.А., Дыбцев Д.Н., Лебедкин С.Ф. и др. // Изв. АН. Сер. хим. 2010. № 4. С. 727 (Kovalenko K.A., Dybtsev D.N., Fedin V.P. et al. // Russ. Chem. Bull. 2010. V. 59. № 4. P. 741).
- Sheldrick G.M. // Acta Crystallogr. A. 2008. V. 64. P. 112.
- Dolomanov O.V., Bourhis L.J., Gildea R.J. et al. // J. A-ppl. Crystallogr. 2009. V. 42. P. 339.
- CrysAlis Pro A. T. Version 1.171.36.20 (release 27-06-2012).
- Zhu L., Yao K.L., Liu Z.L. // Physica. B. 2005. V. 370. P. 104.
- Kaduk J.A. // Acta Crystallogr. B. 2002. V. 58. P. 815.
- Kurmoo M., Kumagai H., Green M.A. et al. // J. Solid State Chem. 2001. V. 159. № 2. P. 343.
- Yang S.Y., Long L.S., Huang R.B. et al. // Main Group Met. Chem. 2001. V. 25. № 5. P. 329.
- Li Y.P., Sun D., Ming J. et al. // Acta Crystallogr. E. 2014. V. 70. P. 372.
- Massoud S.S., Mautner F.A., Vicente R. et al. // Inorg. Chim. Acta. 2006. V. 359. № 5. P. 1489.
- Jyothi N., Ganji N., Daravath S. et al. // J. Mol. Struct. 2020. V. 1207. № 127799.
- Rahmouni N.T., Bensiradj N.H., Megatli S.A. et al. // Spectrochim. Acta. A. 2019. V. 213. P. 235.
- Tavassoli M., Montazerozohori M., Naghiha R. et al. // Mater. Sci. Eng. C. 2020. V. 110.
- Kirillov A.M., Kopylovich M.N., Kirillova M.V. et al. // Angew. Chem. Int. Ed. 2005. V. 44. P. 4345.
- Yilmaz V.T., Topcu Y., Karadag A. // Thermochim. Acta. 2002. V. 383. P. 129.
Supplementary files







