Synthesis, Structure, and Properties of the Iron Nitrosyl Complex with 2-Ethyl-4-pyridinecarbothioamide
- Authors: Sanina N.A.1,2,3, Shilov G.V.1, Ovanesyan N.S.1, Mumyatova V.A.1, Balakina A.A.1, Terent’ev A.A.1,2,3, Pokidova O.V.1, Aldoshin S.M.1
-
Affiliations:
- Federal Research Center of Problems of Chemical Physics and Medicinal Chemistry, Russian Academy of Sciences, Chernogolovka, Russia
- Research and Education Center “Medicinal Chemistry” in Chernogolovka, State University of Education, Mytishchi, Moscow oblast, Russia
- Moscow State University, Moscow, Russia
- Issue: Vol 49, No 9 (2023)
- Pages: 530-542
- Section: Articles
- URL: https://journals.rcsi.science/0132-344X/article/view/137307
- DOI: https://doi.org/10.31857/S0132344X23600169
- EDN: https://elibrary.ru/WBRISE
- ID: 137307
Cite item
Full Text
Abstract
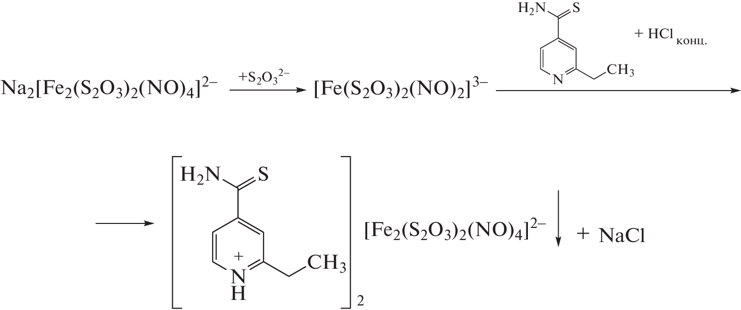
The synthesis and data on the physicochemical characteristics and biological activity of the new
iron nitrosyl complex (Q+)2[Fe2(S2O3)2(NO)4]2– (I), where Q+ is protonated 2-ethyl-4-pyridinecarbothioamide
(C8H11N2S), are presented. The structure and properties of the complex were studied by X-ray diffraction,
elemental analysis, IR and Mössbauer spectroscopy, and amperometry. The complex showed antibacterial
activity and efficiently inhibited cyclic guanosine monophosphate phosphodiesterase (cGMP PDE),
which may suggest its antihypertensive, anti-aggregation, and vasodilator activities.
About the authors
N. A. Sanina
Federal Research Center of Problems of Chemical Physics and Medicinal Chemistry, Russian Academy of Sciences,Chernogolovka, Russia; Research and Education Center “Medicinal Chemistry” in Chernogolovka, State University of Education,
Mytishchi, Moscow oblast, Russia; Moscow State University, Moscow, Russia
Email: sanina@icp.ac.ru
Россия, Черноголовка; Россия, Мытищи; Россия, Москва
G. V. Shilov
Federal Research Center of Problems of Chemical Physics and Medicinal Chemistry, Russian Academy of Sciences,Chernogolovka, Russia
Email: sanina@icp.ac.ru
Россия, Черноголовка
N. S. Ovanesyan
Federal Research Center of Problems of Chemical Physics and Medicinal Chemistry, Russian Academy of Sciences,Chernogolovka, Russia
Email: sanina@icp.ac.ru
Россия, Черноголовка
V. A. Mumyatova
Federal Research Center of Problems of Chemical Physics and Medicinal Chemistry, Russian Academy of Sciences,Chernogolovka, Russia
Email: sanina@icp.ac.ru
Россия, Черноголовка
A. A. Balakina
Federal Research Center of Problems of Chemical Physics and Medicinal Chemistry, Russian Academy of Sciences,Chernogolovka, Russia
Email: sanina@icp.ac.ru
Россия, Черноголовка
A. A. Terent’ev
Federal Research Center of Problems of Chemical Physics and Medicinal Chemistry, Russian Academy of Sciences,Chernogolovka, Russia; Research and Education Center “Medicinal Chemistry” in Chernogolovka, State University of Education,
Mytishchi, Moscow oblast, Russia; Moscow State University, Moscow, Russia
Email: sanina@icp.ac.ru
Россия, Черноголовка; Россия, Мытищи; Россия, Москва
O. V. Pokidova
Federal Research Center of Problems of Chemical Physics and Medicinal Chemistry, Russian Academy of Sciences,Chernogolovka, Russia
Email: sanina@icp.ac.ru
Россия, Черноголовка
S. M. Aldoshin
Federal Research Center of Problems of Chemical Physics and Medicinal Chemistry, Russian Academy of Sciences,Chernogolovka, Russia
Author for correspondence.
Email: sanina@icp.ac.ru
Россия, Черноголовка
References
- Benencia F., Courreges M.C. // Immunology.1999. V. 98. № 3. P. 363.
- Mehta D.R., Ashkar A.A., Mossman K.L. // PLoS One. 2012. V. 7. № 2. Art. e31688.
- McMullin B.B., Chittock D.R., Roscoe D.L. et al. // Respiratory Care. 2005. V. 50. № 11. P. 1451.
- Jones-Carson J., Zweifel A.E., Tapscott T. et al. // PLoS Negl. Trop. Dis. 2014. V. 8. № 8. Art. e3079.
- Fang F.C. // J. Clin. Invest. 1997. V. 99. № 12. P. 2818.
- De Groote M.A., Fang F.C. // Clin. Infect. Dis. 1995. V. 21. № 2. P. S162.
- Schairer D.O., Chouake J.S., Nosanchuk J.D. et al. // Virulence. 2012. V. 3. P. 271.
- Jones M.L., Ganopolsky J.G., Labbe A. et al. // Appl. Microbiol. Biotechnol. 2010. V. 88. № 2. P. 401.
- Jones M.L., Ganopolsky J.G., Labbe A. et al. // Appl. Microbiol. Biotechnol. 2010. V. 87. № 2. P. 509.
- Fox S., Wilkinson T.S., Wheatley P.S. et al. // Acta Biomater. 2010. V. 6. № 4. P. 1515.
- Narin G., Albayrak C.B., Ulku S. // Appl. Clay Sci. 2010. V. 50. № 4. P. 560.
- Weller R., Ormerod A.D., Hobson R.P. et al. // J. Am. Acad. Dermatol. 1998. V. 38. № 4. P. 559.
- Ormerod A.D., White M.I., Shah S.A. et al. // Br. J. Dermatol. 1999. V. 41. № 6. P. 1051.
- Phillips R., Adjei O., Lucas S. et al. // Antimicrob. Agents Chemother. 2004. V. 48. № 8. P. 2866.
- Ormerod A.D., Shah A.A., Li H. et al. // BMC Res. Notes. 2011. V. 4. P. 458.
- Davidson R.N., Yardley V., Croft S.L. et al. // Trans. R. Soc. Trop. Med. Hyg. 2000. V. 94. № 3. P. 319.
- Daiber A., Wenzel P., Oelze M. et al. // Clin. Res. Cardiol. 2008. V. 97. № 1. P. 12.
- Deupree S.M., Schoenfisch M.H. // Acta Biomater. 2009. V. 5. № 5. P. 1405.
- Schairer D.O., Chouake J.S., Nosanchuk J.D., Friedman A.J. // Virulence. 2012. V. 3. № 3. P. 271.
- Cariello A.J., Bispo P.J., de Souza et al. // Clin. Ophthalmol. 2012. V. 6. P. 1907.
- Williams D.L.H. // Acc. Chem. Res. 1999. V. 32. № 10. P. 869.
- Laver J.R., Stevanin T.M., Messenger S.L. et al. // FASEB J. 2010. V. 24. № 1. P. 286.
- Jaouen G., Salmain M. The Bioorganometalic Chemistry: Applications in Drug Discovery, Biocatalysis and Imaging. Weinheim: Wiley-VCH, 2014. 424 p.
- Hsiao H., Chung C., Santos et al. // Dalton Trans. 2019. V. 48. P. 9431.
- Gould N., Doulias P.-T., Tenopoulou M. et al. // J. Biol. Chem. 2013. V. 288. № 37. P. 26473.
- Stupina T.S., Antonova N.O., Balalaeva et al. // Intern. Sci. J. Med. Biol. Sci. 2014. V. 1. № 1. P. 23.
- Григорьев А.И., Владимиров Ю.А. Фундаментальные науки – медицине: Биофизические медицинские технологии. M.: МАКС Пресс, 2015. 448 с.
- Санина Н.A., Козуб Г.И., Кондратьева T.A. и др. // Изв. АН. Сер. хим. 2017. № 9. С. 1706.
- Мумятова В.А., Козуб Г.И., Кондратьева Т.А. и др. // Изв. АH. Сер. хим. 2019. № 5. С. 1025.
- Санина Н.А., Мумятова В.А., Терентьев А.А. и др. // Изв. РАН. Сер. хим. 2019. № 12. С. 2225.
- Hanoulle X., Wieruszeski J.M., Rouseelot-Pailley P. et al. // Biochem. Biophys. Res. Commun. 2005. V. 331. P. 452.
- Vilchèze C., Weisbrod T.R., Chen B. et al. // Antimicrob. Agents Chemother. 2005. V. 49. P. 708.
- Yu K.L., Torri A.F., Luo G. et al. // Bioorg. Med. Chem. Lett. 2002. V. 12. № 23. P. 3379.
- Hitotsuyanagi Y., Hasuda T., Matsumoto Y. et al. // Chem. Commun. 2000. № 17. P. 1633.
- Nakagawa Y., Irie K., Ohigashi H. et al. // Bioorg. Med. Chem. Lett. 2000. V. 10. № 18. P. 2087.
- Wei Q.L., Zhang S.S., Gao J. et al. // Bioorg. Med. Chem. 2006. V. 14. № 21. P. 7146.
- Wentland M.P., Sun X., Bu Y. et al. // Bioorg. Med. Chem. Lett. 2005. V. 15. № 10. P. 2547.
- Krinková J., Doležal M., Hartl J. et al. // Il Farmaco. 2002. V. 57. № 1. P. 71.
- Yu K.L., Torri A.F., Luo G. et al. // Bioorg. Med. Chem. Lett. 2002. V. 12. № 23. P. 3379.
- Davies D.J., Faust R., Garratt P.J. et al. // Bioorg Chem. 2004. V. 32. № 1. P. 1.
- Boström J., Olsson R.I., Tholander J. et al. // Bioorg. Med. Chem. Lett. 2010. V. 20. № 2. P. 479.
- Thanigaimalai P., Sharma V.K., Lee K.C. et al. // Bioorg. Med. Chem. Lett. 2010. V. 20. № 16. P. 4771.
- Brunhofer G., Studenik C., Ecker G.F. et al. // Eur. J. Pharm. Sci. 2011. V. 42. № 1–2. P. 37.
- Shimotori Y., Hoshi M., Ogawa N. et al. // Heterocycl. Commun. 2020. V. 26. P. 84.
- Регистр лекарственных средств России: Энциклопедия лекарств. Вып. 29 / Под ред. Вышковского Г.Л. Москва: Веданта, 2021.
- Mahantaa N., Szantai-Kisc M., Peterssonc E.J. et al. // ACS Chem. Biol. 2019. V. 14. № 2. P. 142.
- Vale N., Gomes P., Santos H. // Curr. Drug Metab. 2013. V. 14. № 1. P. 151.
- Mills III, T., Roberson J.C. Instrumental Data for Drug Analysis. V. 2. N.Y.: Elsevier, 1992. 1577 p.
- Eccles K.S., Morrison R.E., Maguire A.R. et al. // Cryst. Growth Des. 2014. V. 14. P. 2753.
- Wysokinski R., Michalska D., Bienko D.C. et al. // J. Mol. Struct. 2006. V. 791. № 1–3. P. 70.
- Vale N., Makila E., Salonen J. et al. // Eur. J. Pharm. Biopharm. 2012. V. 81. P. 314.
- Sanina N.A., Starostina A.A., Utenyshev A.N. et al. // Molecules. 2022. V. 27. P. 6886.
- Карякин Ю.В., Ангелов И.И. Чистые химические вещества. М.: Химия, 1974. 408 с.
- Sanina N.A., Aldoshin S.M., Rudneva T.N. // Russ. J. Coord. Chem. 2005. V. 31. № 5. P. 301. https://doi.org/10.1007/s11173-005-0093-3
- Weissberger A., Proskauer E., Riddick J.A. et al. Organic Solvents: Physical Properties and Methods of Purification. N.Y.: Intercscience Publishers Inc., 1955. 1344 p.
- Agilent. CrysAlis PRO. Yarnton–Oxfordshire (England): Agilent Technologies UK Ltd., 2011.
- Sheldrick G.M. SHELXTL. Version 6.14. Structure Determination Software Suite. Madison (WI, USA): Bruker AXS, 2000.
- МУК 4.2.1890–04. Определение чувствительности микроорганизмов к антибактериальным препаратам. Методические указания: дата введения 2014-03-04. М.: Федеральный центр госсанэпиднадзора Минздрава России, 2004. 91 с.
- Либинзон Р.Е., Щеколдина Т.Г., Батолкина О.Е. и др. // Вопросы медицинской химии. 1977. 23. № 4. С. 526.
- Татьяненко Л.В., Котельников А.И., Доброхотова О.В. и др. // Хим.-фарм. журн. 2009. Т. 43. № 9. С. 45.
- Березин И.В., Клесов А.А. Практический курс химической и ферментативной кинетики. М.: Изд-во Моск. ун-та, 1976. 324 с.
- Glidewell C., Hursthouse M.B., Lambert R.J. et al. // Dalton Trans. 1989. P. 2061.
- Sanina N.A., Rakova O.A., Aldoshin S.M. et al. // Russ. J. Coord. Chem. 2001. V. 27. № 3. P. 179. https://doi.org/10.1023/A:1009598228585
- Sanina N.A., Emel’yanova N.S., Chekhlov A.N. et al. // Russ. Chem. Bull. 2010. V. 59. P. 1126.
- Sanina N.A., Sulimenkov I.V., Rudneva T.N. et al. // Dokl. Chem. 2009. V. 425. Pt 1. P. 60.
- Chan C., Hardin T.C., Smart J.I. // Future Microbiol. 2015. V. 10. P. 1325.
- Omori K., Kotera J. // Circ. Res. 2007. V. 100. P. 309.
- Hardman J.G., Robison G.A., Sutherland E.W. // Annu. Rev. Physiol. 1971. V. 33. P. 311.
- Padda I.S., Tripp J. Phosphodiesterase Inhibitors. Treasure Island (FL): StatPearls Publishing LLC, 2022.
- Baillie G.S., Tejeda G.S., Kelly M.P. // Nat. Rev. Drug Discov. 2019. V. 18. P. 770.
- Miller M.S. // J. Receptor, Ligand Channel Res. 2015. V. 8. P. 19.
Supplementary files












