Кристаллическая структура комената магния
- Авторы: Иващенко Л.И.1, Козин С.В.1,2, Васильева Л.В.1, Васильев А.М.1, Доценко В.В.1,3, Аксёнов Н.А.3, Кравцов А.А.1,2
-
Учреждения:
- Кубанский государственный университет
- Южный научный центр РАН
- Северо-Кавказский федеральный университет
- Выпуск: Том 49, № 7 (2023)
- Страницы: 431-440
- Раздел: Статьи
- URL: https://journals.rcsi.science/0132-344X/article/view/137295
- DOI: https://doi.org/10.31857/S0132344X22600412
- EDN: https://elibrary.ru/TUXRAK
- ID: 137295
Цитировать
Полный текст
Аннотация
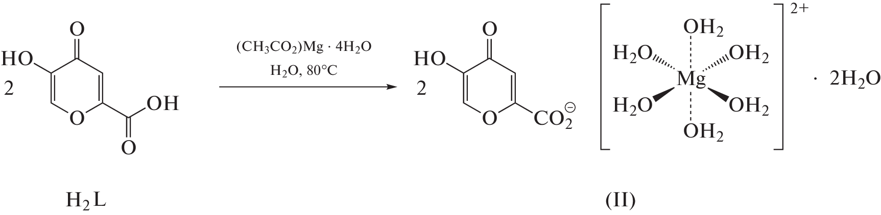
Координационное соединение [Mg(HCom)2(H2O)6] · 2H2O (I) получено реакцией коменовой кислоты (H2Com) с ацетатом магния в водном растворе. Методом (P)XRD подтверждено образование новой индивидуальной фазы. Брутто-формула полученного соединения определена на основании данных EDXRF и термогравиметрии. Изучена термоокислительная стабильность комената магния методом синхронного термического анализа в атмосфере воздуха. Молекулярное строение комплекса обсуждается посредством спектральных методов (ЯМР-, ИК- и УФ-спектроскопии) и детально исследовано с привлечением метода рентгеноструктурного анализа (CCDC № 2207835). Коменат магния кристаллизуется в триклинной сингонии пространственной группы \(P\bar {1},\) структура комплекса стабилизируется за счeт внутри- и межмолекулярных водородных связей между координированными молекулами воды, анионами кислоты и [Mg(H2O)6]2+.
Об авторах
Л. И. Иващенко
Кубанский государственный университет
Email: levmag1@gmail.com
Россия, Краснодар
С. В. Козин
Кубанский государственный университет; Южный научный центр РАН
Email: levmag1@gmail.com
Россия, Краснодар; Россия, Ростов-на-Дону
Л. В. Васильева
Кубанский государственный университет
Email: levmag1@gmail.com
Россия, Краснодар
А. М. Васильев
Кубанский государственный университет
Email: levmag1@gmail.com
Россия, Краснодар
В. В. Доценко
Кубанский государственный университет; Северо-Кавказский федеральный университет
Email: levmag1@gmail.com
Россия, Краснодар; Россия, Ставрополь
Н. А. Аксёнов
Северо-Кавказский федеральный университет
Email: levmag1@gmail.com
Россия, Ставрополь
А. А. Кравцов
Кубанский государственный университет; Южный научный центр РАН
Автор, ответственный за переписку.
Email: levmag1@gmail.com
Россия, Краснодар; Россия, Ростов-на-Дону
Список литературы
- Cavalieri L.F. // Chem. Rev. 1947. V. 41. № 3. P. 525. https://doi.org/10.1021/cr60130a004
- Kandioller W., Kurzwernhart A., Hanif M. et al. // J. Organomet. Chem. 2011. V. 696. № 5. P. 999.
- Aida K. // J. Agric. Chem. Soc. Jpn. 1955. V. 19. № 2. P. 97. https://doi.org/10.1080/03758397.1955.10857272
- Шурыгина Л.В., Злищева Э.И., Кравцов А.А. и др. // Бюл. эксперим. биол. мед. 2021. Т. 171. № 3. С. 319 (Shurygina L.V., Zlishcheva E.I., Kravtsov A.A. et al. // Bull. Exp. Biol. Med. 2021. V. 171. № 3. P. 319). https://doi.org/10.47056/0365-9615-2021-171-3-319-322
- Шурыгина Л.В., Злищева Э.И., Кравцова А.Н. и др. // Бюл. эксперим. биол. мед. 2017. Т. 163. № 3. С. 325 (Shurygina L.V., Zlishcheva E.I., Kravtsova A.N. et al. // Bull. Exp. Biol. Med. 2017. V. 163. № 3. P. 344). https://doi.org/10.1007/s10517-017-3800-4
- Шурыгина Л.В., Злищева Э.И., Кравцов А.А. и др. // Экспер. клин. фармакол. 2013. Т. 76. № 8. С. 9 (Shurygina L.V., Zlishcheva E.I., Kravtsov A.A. et al. // Russ. J. Exp. Clin. Pharmacol. 2013. V. 76. № 8. P. 9). https://doi.org/10.30906/0869-2092-2013-76-8-9-12
- Шурыгин А.Я., Злищева Л.И., Расулов Ж.Г., Ушаков А.Д. Патент № 2026351 C1 Российская Федерация. Заявл. 01.09.1992. Опубл. 09.01.1995. Заявитель Товарищество с ограниченной ответственностью “Бализ Фарм”.
- Дик О.Е., Шелых Т.Н., Плахова В.Б. и др.// Докл. РАН. Биохимия, биофизика и молекулярная биология. 2015. Т. 462. № 2. С. 230 (Dick O.E., Shelykh T.N., Plakhova V.B. et al. // Dokl. Biochem. Biophys. 2015. V. 462. № 1. P. 155). https://doi.org/10.7868/S086956521514025X
- Рогачевский И.В., Плахова В.Б., Домнин И.Н. и др. // Клин. патофизиология. 2006. № 1. С. 15.
- Рогачевский И.В., Плахова В.Б. // Журн. общ. хим. 2006. Т. 76. № 11. С. 1904 (Rogachevskii I.V., Plakhova V.B. // Russ. J. Gen. Chem. 2006. V. 76. № 11. P. 1820). https://doi.org/10.1134/S1070363206110272
- Fiorentini D., Cappadone C., Farruggia G. et al. // Nutrients. 2021. V. 13. № 4. P. 1136. https://doi.org/10.3390/nu13041136
- Kirkland A.E., Sarlo G.L., Holton K.F. // Nutrients. 2018. V. 10. № 6. P. 730. https://doi.org/10.3390/nu10060730
- Шурыгина Л.В., Злищева Э.И., Кравцов А.А. и др. Патент № 2528914 C1 Российская Федерация. № 2013141871/15. Заявл. 12.09.2013. Опубл. 20.09.2014. Заявитель Кубанский государственный университет.
- Шурыгина Л.В., Злищева Э.И., Хаблюк В.В. и др. // Бюл. эксперим. биол. мед. 2015. Т. 159. № 4. С. 457 (Shurygina L.V., Zlishcheva E.I., Khablyuk V.V. et al. // Bull. Exp. Biol. Med. 2015. V. 159. № 4. P. 466). https://doi.org/10.1007/s10517-015-2993-7
- Шурыгина Л.В., Злищева Э.И., Кравцов А.А. // Бюл. эксперим. биол. мед. 2018. Т. 165. № 4. С. 457 (Shurygina L.V., Zlishcheva E.I., Kravtsov A.A. // Bull. Exp. Biol. Med. 2018. V. 165. № 4. P. 465). https://doi.org/10.1007/s10517-018-4195-6
- Шурыгин А.Я., Шурыгина Л.В., Лобова Н.Н. Патент № 2459623 C1 Российская Федерация. № 2011134045/10. Заявл. 16.08.2011. Опубл. 27.08.2012.
- Шурыгин А.Я. Патент № 2287583 C1 Российская Федерация. № 2005117323/13. Заявл. 06.06.2005. Опубл. 20.11.2006.
- Dolomanov O.V., Bourhis L.J., Gildea R.J. et al. // J. Ap-pl. Cryst. 2009. V. 42. P. 339–341. https://doi.org/10.2138/am-2021-7785
- Sheldrick G.M. // Acta Crystallogr. A. 2015. V. 71. P. 3. https://doi.org/10.1107/S2053273314026370
- Sheldrick G.M. // Acta Crystallogr. C. 2015. V. 71. P. https://doi.org/10.1107/S2053229614024218
Дополнительные файлы








