Template Synthesis of the Trinuclear Cobalt(III) Complex with Diarylimidazole-Based Ligands: Synthesis and Properties
- Authors: Nikovskii I.A.1,2, Karnaukh K.M.3, Aliev T.M.1, Polezhaev A.V.1,2, Spiridonov K.A.1,4, Dan’shina A.A.1,5, Nelyubina Y.V.1,2, Novikov V.V.1,2
 - 
							Affiliations: 
							
- Nesmeyanov Institute of Organoelement Compounds, Russian Academy of Sciences, Moscow, Russia
 - Bauman State Technical University, Moscow, Russia
 - University of California, 93106, Santa Barbara, California, USA
 - Moscow State University, Moscow, Russia
 - Moscow Institute of Physics and Technology (National Research University), Dolgoprudnyi, Moscow oblast, Russia
 
 - Issue: Vol 49, No 6 (2023)
 - Pages: 360-366
 - Section: Articles
 - URL: https://journals.rcsi.science/0132-344X/article/view/137290
 - DOI: https://doi.org/10.31857/S0132344X23700238
 - EDN: https://elibrary.ru/POVWLR
 - ID: 137290
 
Cite item
Full Text
Abstract
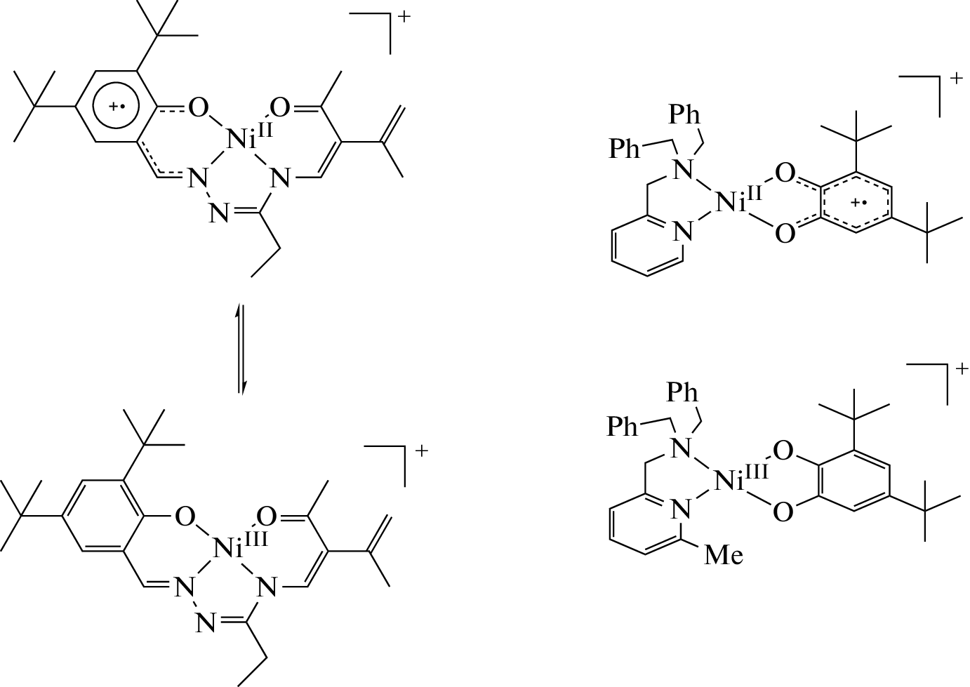
The trinuclear cobalt(III) complex [(Bipy)5Co3(L)2](Cl)3 (I) is synthesized by the template reaction of 2,2'-(1H-imidazole-4,5-diyl)bis(4-ethylphenol) (L) and bis(2,2-bipyridine)cobalt(II) dichloride in the presence of diazabicycloundecene. The complex is isolated in the individual state and characterized by elemental analysis, cyclic voltammetry, UV-VIS spectroscopy, and X-ray diffraction (XRD) (CIF file СCDC no. 2201135). According to the obtained data, the cobalt ions in trinuclear complex I have the oxidation state +3, and the complex formation occurs with the oxidation of the initial cobalt(II) ions.
About the authors
I. A. Nikovskii
Nesmeyanov Institute of Organoelement Compounds, Russian Academy of Sciences, Moscow, Russia; Bauman State Technical University, Moscow, Russia
														Email: novikov84@ineos.ac.ru
				                					                																			                												                								Россия, Москва; Россия, Москва						
K. M. Karnaukh
University of California, 93106, Santa Barbara, California, USA
														Email: novikov84@ineos.ac.ru
				                					                																			                												                								США, 93106, Калифорния, Санта-Барбара						
T. M. Aliev
Nesmeyanov Institute of Organoelement Compounds, Russian Academy of Sciences, Moscow, Russia
														Email: novikov84@ineos.ac.ru
				                					                																			                												                								Россия, Москва						
A. V. Polezhaev
Nesmeyanov Institute of Organoelement Compounds, Russian Academy of Sciences, Moscow, Russia; Bauman State Technical University, Moscow, Russia
														Email: novikov84@ineos.ac.ru
				                					                																			                												                								Россия, Москва; Россия, Москва						
K. A. Spiridonov
Nesmeyanov Institute of Organoelement Compounds, Russian Academy of Sciences, Moscow, Russia; Moscow State University, Moscow, Russia
														Email: novikov84@ineos.ac.ru
				                					                																			                												                								Россия, Москва; Россия, Москва						
A. A. Dan’shina
Nesmeyanov Institute of Organoelement Compounds, Russian Academy of Sciences, Moscow, Russia; Moscow Institute of Physics and Technology (National Research University), Dolgoprudnyi, Moscow oblast, Russia
														Email: novikov84@ineos.ac.ru
				                					                																			                												                								Россия, Москва; Россия, Московская обл., Долгопрудный						
Yu. V. Nelyubina
Nesmeyanov Institute of Organoelement Compounds, Russian Academy of Sciences, Moscow, Russia; Bauman State Technical University, Moscow, Russia
														Email: unelya@ineos.ac.ru
				                					                																			                												                								Россия, Москва; Россия, Москва						
V. V. Novikov
Nesmeyanov Institute of Organoelement Compounds, Russian Academy of Sciences, Moscow, Russia; Bauman State Technical University, Moscow, Russia
							Author for correspondence.
							Email: novikov84@ineos.ac.ru
				                					                																			                												                								Россия, Москва; Россия, Москва						
References
- Evangelio E., Ruiz-Molina D. // Eur. J. Inorg. Chem. 2005. V. 2005. P. 2957.
 - Gütlich P., Garcia Y., Woike T. // Coord. Chem. Rev. 2001. V. 219–221. P. 839.
 - Tezgerevska T., Rousset E., Gable R.W. et al. // Dalton Trans. 2019. V. 48. P. 11674.
 - Rajput A., Sharma A.K., Barman S.K. et al. // Coord. Chem. Rev. 2020. V. 414. P. 213240.
 - Slater J.W., D’Alessandro, D.M., Keene, F.R. et al. // Dalton Trans. 2006. V. 0. P. 1954.
 - Bubnov, M.P., Piskunov, A.V., Zolotukhin, A.A. et al. // Russ. J. Coord. Chem. 2020. V. 46. P. 224. https://doi.org/10.1134/S107032842003001X
 - Gransbury G.K., Livesay B.N., Janetzki J.T. et al. // J. Am. Chem. Soc. 2020. V. 142. P. 10692.
 - Arion V.B., Rapta P., Telser J. et al. // Inorg. Chem. 2011. V. 50. P. 2918.
 - Shimazaki Y., Tani F., Fukui K. et al. // J. Am. Chem. Soc. 2003. V. 125. P. 10512.
 - Ohtsu H., Tanaka K. // Angew. Chem. Int. Ed. 2004. V. 43. P. 6301.
 - Nikovskiy I., Polezhaev A., Novikov V. et al. // Chem. Eur. J. 2020. V. 26. P. 5629.
 - Aleshin D.Y., Nikovskiy I., Novikov V.V. et al. // ACS Omega. 2021. V. 6. P. 33111.
 - Freire C., Nunes M., Pereira C. et al. // Coord. Chem. Rev. 2019. V. 394. P. 10434.
 - Venkataramanan N.S., Kuppuraj G., Rajagopal S. // Coord. Chem. Rev. 2005. V. 249. P. 1249.
 - Mondal I., Chattopadhyay S. // J. Coord. Chem. 2019. V. 72. P. 3183.
 - Gould C.A., Mu E., Vieru V. et al. // J. Am. Chem. Soc. 2020. V. 142. P. 21197.
 - Richardson C., Steel P.J., D’alessandro D.M. et al. // Dalton Trans. 2002. P. 2775.
 - Chen S.-S. // CrystEngComm. 2016. V. 18. P. 6543.
 - Kaim W. // Coord. Chem. Rev. 2001. V. 219–221. P. 463.
 - Nikovskiy I.A., Karnaukh K.M., Spiridonov K.A. et al. // Magnetochemistry. 2022. V. 8. P. 132.
 - Váhovská L., Potočňák I., Vitushkina S. et al. // Polyhedron. 2016. V. 117. P. 359.
 - Sheldrick G.M. // Acta Crystallogr. 2008. V. 64. P. 112.
 - Dolomanov O.V. Bourhis, L.J., Gildea, R.J. et al. // J. Appl. Cryst. 2009. V. 42. P. 339.
 - Demaison J., Császár A.G. // J. Mol. Struct. 2012. V. 1023. P. 7.
 - Alvarez S. // Chem. Rev. 2015. V. 115. P. 134473.
 - Freiherr von Richthofen C.G., Stammler A., Bögge H. et al. // J. Org. Chem. 2012. V. 77. P. 1435.
 - Servedio L.T., Lawton J.S., Zawodzinski T.A. // J. Appl. Electrochem. 2021. V. 51. P. 87.
 
Supplementary files
				
			
					
						
						
						
						
				






