Coordination Polymers of Lithium Based on 1,2-Bis[(2,6-diisopropyl-4-diethylmalonophenyl)imino]acenaphthene
- Authors: Bazyakina N.L.1, Sokolov V.G.1, Moskalev M.V.1, Baranov E.V.1, Fedushkin I.L.1
-
Affiliations:
- Razuvaev Institute of Organometallic Chemistry, Russian Academy of Sciences, Nizhny Novgorod, Russia
- Issue: Vol 49, No 7 (2023)
- Pages: 387-397
- Section: Articles
- URL: https://journals.rcsi.science/0132-344X/article/view/137280
- DOI: https://doi.org/10.31857/S0132344X23700263
- EDN: https://elibrary.ru/TVUCKI
- ID: 137280
Cite item
Full Text
Abstract
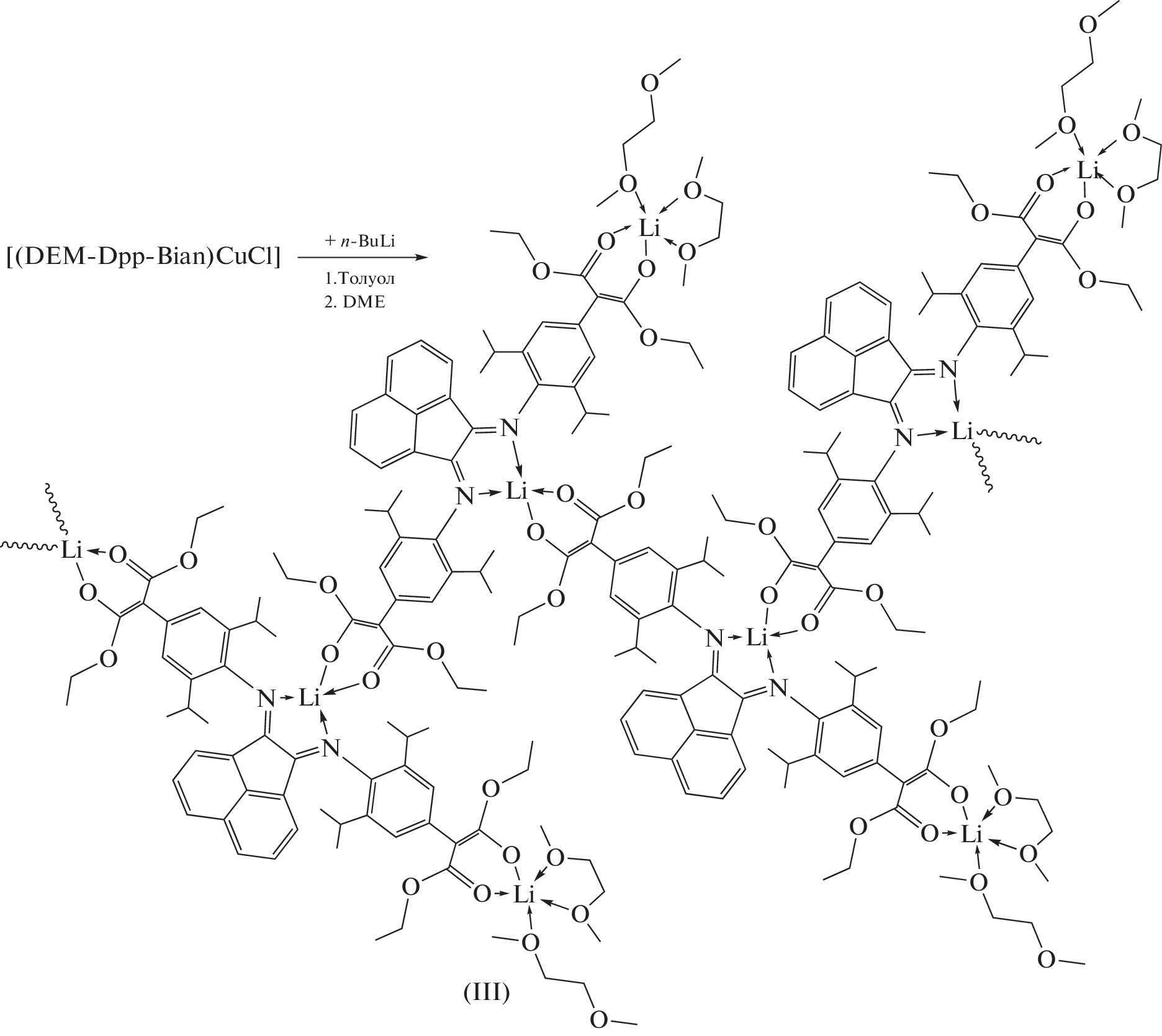
1,2-Bis[(2,6-diisopropyl-4-diethylmalonophenyl)imino]acenaphthene (Dem-Bian) with zinc chloride forms complex [(Dem-Bian)ZnCl2] (I). The reaction of complex I with n-BuLi proceeds with the deprotonation of the malonate fragments and gives 1D coordination polymer [ZnCl2(Dem-Bian)Li(DME)2]n (II). The reaction of [(Dem-Bian)CuCl] with n-BuLi affords 1D polymer [(Dem-Bian)Li2(DME)2]n (III). Compounds I–III are characterized by elemental analysis and IR spectroscopy. Derivatives I and II are characterized by 1Н NMR spectroscopy. The crystal structures of compounds II and III are determined by X-ray diffraction (XRD). Their thermal stability is studied by thermogravimetric analysis.
About the authors
N. L. Bazyakina
Razuvaev Institute of Organometallic Chemistry, Russian Academy of Sciences, Nizhny Novgorod, Russia
Email: igorfed@iomc.ras.ru
Россия, Нижний Новгород
V. G. Sokolov
Razuvaev Institute of Organometallic Chemistry, Russian Academy of Sciences, Nizhny Novgorod, Russia
Email: igorfed@iomc.ras.ru
Россия, Нижний Новгород
M. V. Moskalev
Razuvaev Institute of Organometallic Chemistry, Russian Academy of Sciences, Nizhny Novgorod, Russia
Email: igorfed@iomc.ras.ru
Россия, Нижний Новгород
E. V. Baranov
Razuvaev Institute of Organometallic Chemistry, Russian Academy of Sciences, Nizhny Novgorod, Russia
Email: igorfed@iomc.ras.ru
Россия, Нижний Новгород
I. L. Fedushkin
Razuvaev Institute of Organometallic Chemistry, Russian Academy of Sciences, Nizhny Novgorod, Russia
Author for correspondence.
Email: igorfed@iomc.ras.ru
Россия, Нижний Новгород
References
- Bernauer J., Pölker J., von Wangelin A.J. // Chem. Cat. Chem. 2022. V. 14. № 1. Art. e202101182.
- Marreiros J., Diaz-Couce M., Ferreira M.J. et al. // Inorg. Chim. Acta. 2019. V. 486. P. 274.
- Beltrani M., Carfagna C., Milani B. et al. // Adv. Synth. Catal. 2016. V. 358. № 20. P. 3244.
- Москалев М.В., Скатова А.А., Чудакова В.А. и др. // Изв. АН. Сер. хим. 2015. № 12. С. 2830 (Moskalev M.V., Skatova A.A., Chudakova V.A. et al. // Russ. Chem. Bull. 2015. V. 64. № 12. P. 2830).
- Moskalev M.V., Yakub A.M., Morozov A.G. et al. // Eur. J. Org. Chem. 2015. V. 2015. № 26. P. 5781.
- Rumble S.L., Page M.J., Field L.D. et al. // Eur. J. Inorg. Chem. 2012. V. 2012. № 13. P. 2226.
- Li L., Lopes P.S., Rosa V. et al. // Dalton Trans. 2012. V. 41. № 17. P. 5144.
- Fedushkin I.L., Moskalev M.V., Lukoyanov A.N. et al. // Chem. Eur. J. 2012. V. 18. № 36. P. 11264.
- Fedushkin I.L., Nikipelov A.S., Morozov A.G. et al. // Chem. Eur. J. 2012. V. 18. № 1. P. 255.
- Viganò M., Ragaini F., Buonomenna M.G. et al. // ChemCatChem. 2010. V. 2. № 9. P. 1150.
- Alonso J.C., Neves P., Pires da Silva M.J. et al. // Organometallics. 2007. V. 26. № 23. P. 5548.
- Gottumukkala A.L., Teichert J.F., Heijnen D. et al. // J. Org. Chem. 2011. V. 76. № 9. P. 3498.
- de Fremont P., Clavier H., Rosa V. et al. // Organometallics. 2011. V. 30. № 8. P. 2241.
- Yu X., Zhu F., Bu D. et al. // RSC Adv. 2017. V. 7. № 25. P. 15321.
- Sandl S., Maier T.M., van Leest N.P. et al. // ACS Catal. 2019. V. 9. № 8. P. 7596.
- Soshnikov I.E., Bryliakov K.P., Antonov A.A. et al. // Dalton Trans. 2019. V. 48. № 23. P. 7974.
- Wang F., Tanaka R., Li Q. et al. // Organometallics. 2018. V. 37. № 9. P. 1358.
- Liu Z.W.Q., Solan G.A., Sun W.-H. // Coord. Chem. Rev. 2017. V. 350. P. 68.
- Guo L., Liu W., Chen C. // Mater. Chem. Front. 2017. V. 1. № 12. P. 2487.
- Small B.L., Rios R., Fernandez E.R. et al. // Organometallics. 2010. V. 29. № 24. P. 6723.
- Popeney C.S., Guan Z. // Macromolecules. 2010. V. 43. № 9. P. 4091.
- Miyamura Y., Kinbara K., Yamamoto Y. et al. // J. Am. Chem. Soc. 2010. V. 132. № 10. P. 3292.
- Romain C., Rosa V., Fliedel C. et al. // Dalton Trans. 2012. V. 41. № 12. P. 3377.
- Liu J., Li Y., Li Y. et al. // J. Appl. Pol. Sci. 2008. V. 109. № 2. P. 700.
- Wang F., Chen C. // Polym. Chem. 2019. V. 10. № 19. P. 2354.
- Brown L.A., Wekesa F.S., Unruh D.K. et al. // J. Pol. Sci. A. 2017. V. 55. № 17. P. 2824.
- Kazarina O.V., Gourlaouen C., Karmazin L. et al. // Dalton Trans. 2018. V. 47. № 39. P. 13800.
- Mорозов А.Г., Маркелова Е.С. Федюшкин И.Л. и др. // Журн. прикл. химии. 2018. Т. 91. № 6. С. 899 (Мorozov A.G., Markelova E.S., Fedyushkin I.L. et al. // Russ. J. Appl. Chem. 2018. V. 1. № 6. P. 1044).
- Fedushkin I.L., Morozov A.G., Chudakova V.A. et al. // Eur. J. Inorg. Chem. 2009. № 33. P. 4995.
- Bazyakina N.L., Makarov V.M., Ketkov S.Yu. et al. // Inorg. Chem. 2021. V. 60. P. 3238.
- Koptseva T.S., Bazyakina N.L., Moskalev M.V. et al. // Eur. J. Inorg. Chem. 2021. V. 60. P. 3238.
- Bazyakina N.L., Moskalev M.V., Cherkasov A.V. et al. // CrystEngComm. 2022. V. 24. P. 2297.
- Koptseva T.S., Bazyakina N.L., Rumyantcev R.V. et al. // Mend. Commun. 2022. V. 32. P. 780.
- Bazyakina N.L., Makarov V.M., Moskalev M.V. et al. // Mend. Commun. 2022. V. 32. P. 759.
- Su J., Yuan S., Li J. et al. // Chem. Eur. J. 2021. V. 27. P. 622.
- Bigdeli F., Lollar C.T., Morsali A. et al. // Angew. Chem. Int. Ed. 2020. V. 59. P. 4652.
- Calbo J., Golomb M.J., Walsh A. // J. Mater. Chem. A. 2019. V. 7. P. 16571.
- Su J., Yuan S., Li J. et al. // Chem. Eur. J. 2021. V. 27. P. 622.
- Li B., Zhao Y.M., Kirchon A. et al. // J. Am. Chem. Soc. 2019. V. 141. P. 6822.
- Соколов В.Г., Москалев М.В., Копцева Т.С. и др. // Изв. АН. Сер. хим. 2020. № 1. С. 125 (Sokolov V.G., Moskalev M.V., Koptseva T.S. et al. // Russ. Chem. Bull. 2021. V. 69. №1. P. 125).
- Бажина Е.С., Александров Г.Г., Кискин М.А. и др. // Коорд. химия. 2020. Т. 46. № 2. С. 81 (Bazhina E.S., Aleksandrov G.G., Kiskin M.A. et al. // Russ. J. Coord. Chem. 2020. V. 46. № 2. P. 89). https://doi.org/10.1134/S1070328420020025
- Бажина Е.С., Шмелев М.А., Бабешкин К.А. и др. // Изв. АН. Сер. хим. 2021. № 11. С. 2130 (Bazhina E.S., Shmelev M.A., Babeshkin K.A. et al. // Russ. Chem. Bull. 2021. V. 70. № 11. P. 2130).
- Блинов Д.О., Зорина-Тихонова Е.Н., Воронина Ю.Л. и др. // Коорд. химия. 2022. Т. 48. № 8. С. 483 (Blinou D.O., Zorina-Tikhonova E.N., Voronina Yu.K. et al. // Russ. J. Coord. Chem. 2022. V. 48. № 8. P. 487). https://doi.org/10.1134/S1070328422080012
- APEX3. Bruker Molecular Analysis Research Tool. Version 2018.7-2. Madison (WI, USA): Bruker AXS Inc., 2018.
- Data Collection, Reduction and Correction Program. CrysAlisPro 1.171.40.67a – Software Package. Rigaku OD, 2019.
- SAINT. Data Reduction and Correction Program. Version 8.38A. Madison (WI, USA): Bruker AXS Inc., 2017.
- Krause L., Herbst-Irmer R., Sheldrick G.M., Stalke D. // J. Appl. Cryst. 2015. V. 48. P. 3.
- Sheldrick G.M. // Acta Crystallogr. A. 2015. V. 71. P. 3.
- Sheldrick G.M. // Acta Crystallogr. C. 2015. V. 71. P. 3.
- Sheldrick G.M. SHELXTL. Version 6.14. Structure Determination Software Suite. Madison (WI, USA): Bruker AXS, 2003.
- Dolomanov O.V., Bourhis L.J., Gildea R.J. et al. // J. Ap-pl. Cryst. 2009. V. 42. P. 339.
- Sheldrick G.M. SADABS. Version 2016/2. Bruker/Siemens Area Detector Absorption Correction Program. Madison (WI, USA): Bruker AXS Inc., 2016.
- SCALE3 ABSPACK: Empirical Absorption Correction. CrysAlisPro 1.171.40.67a – Software Package. Rigaku OD, 2019.
Supplementary files











