Cationic Complexes of 3a,6a-Diaza-1,4-diphosphapentalenes
- Authors: Sushev V.V.1, Panova Y.S.1, Khristolyubova A.V.1, Zolotareva N.V.1, Grishin M.D.1, Baranov E.V.1, Fukin G.K.1, Kornev A.N.1
-
Affiliations:
- Razuvaev Institute of Organometallic Chemistry, Russian Academy of Sciences, Nizhny Novgorod, Russia
- Issue: Vol 49, No 4 (2023)
- Pages: 217-228
- Section: Articles
- URL: https://journals.rcsi.science/0132-344X/article/view/137272
- DOI: https://doi.org/10.31857/S0132344X23700214
- EDN: https://elibrary.ru/CXIBGQ
- ID: 137272
Cite item
Full Text
Abstract
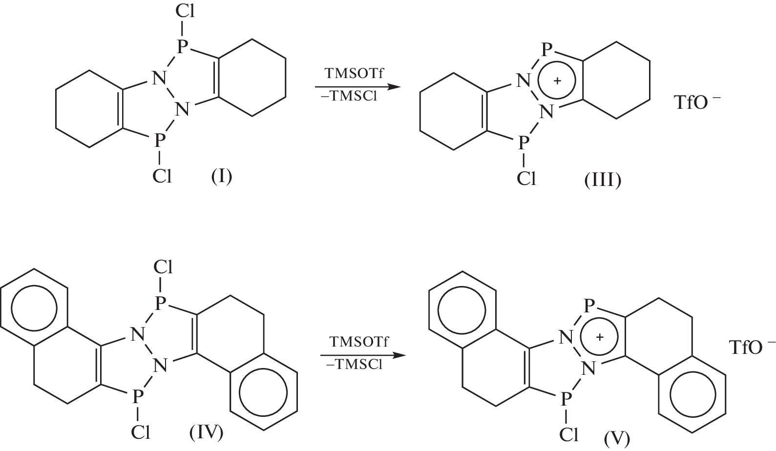
The reactions of annulated 1,4-dichloro-3a,6a-diaza-1,4-diphosphapentalenes (DDPCl2) with 1 equiv. of trimethylsilyl triflate (TMSOTf) lead to replacement of one chlorine atom with the triflate group, thus giving cationic diazadiphosphapentalenes [ClDDP]+[TfO]−. In the presence of 2 equiv. of TMSOTf and 2 equiv. of 4‑dimethylaminopyridine (DMAP), the DDP dication stabilized by two DMAP molecules, [DDP(DMAP)2]2+[(CF3SO3)−]2, is formed. The DMAP molecules are located on one side of the DDP skeleton and lie in parallel planes. Free diazadiphosphapentalene was detected in solutions of [DDP(DMAP)2]2+[(CF3SO3)−]2 in CH2Cl2 by UV-Vis spectroscopy and CV. This implies that this compound disproportionates under these conditions; it is unstable in dilute solutions and decomposes to give [DMAP∙HOTf] in a quantitative yield. Crystallographic data for the obtained compounds: CCDC nos. 2182881–2182883.
About the authors
V. V. Sushev
Razuvaev Institute of Organometallic Chemistry, Russian Academy of Sciences, Nizhny Novgorod, Russia
Email: akornev@iomc.ras.ru
Россия, Нижний Новгород
Yu. S. Panova
Razuvaev Institute of Organometallic Chemistry, Russian Academy of Sciences, Nizhny Novgorod, Russia
Email: akornev@iomc.ras.ru
Россия, Нижний Новгород
A. V. Khristolyubova
Razuvaev Institute of Organometallic Chemistry, Russian Academy of Sciences, Nizhny Novgorod, Russia
Email: akornev@iomc.ras.ru
Россия, Нижний Новгород
N. V. Zolotareva
Razuvaev Institute of Organometallic Chemistry, Russian Academy of Sciences, Nizhny Novgorod, Russia
Email: akornev@iomc.ras.ru
Россия, Нижний Новгород
M. D. Grishin
Razuvaev Institute of Organometallic Chemistry, Russian Academy of Sciences, Nizhny Novgorod, Russia
Email: akornev@iomc.ras.ru
Россия, Нижний Новгород
E. V. Baranov
Razuvaev Institute of Organometallic Chemistry, Russian Academy of Sciences, Nizhny Novgorod, Russia
Email: akornev@iomc.ras.ru
Россия, Нижний Новгород
G. K. Fukin
Razuvaev Institute of Organometallic Chemistry, Russian Academy of Sciences, Nizhny Novgorod, Russia
Email: akornev@iomc.ras.ru
Россия, Нижний Новгород
A. N. Kornev
Razuvaev Institute of Organometallic Chemistry, Russian Academy of Sciences, Nizhny Novgorod, Russia
Author for correspondence.
Email: akornev@iomc.ras.ru
Россия, Нижний Новгород
References
- Kornev A.N., Panova Y.S., Sushev V.V. et al. // Inorg. Chem. 2019. V. 58. P. 16144.
- Kornev A.N., Panova Y.S., Sushev V.V. // Phosphorus, Sulfur, Silicon, Relat. Elem. 2020. V. 195. P. 905.
- Корнев А.Н., Панова Ю.С., Сущев В.В. и др. // Коорд. химия. 2020. Т. 46. № 2. С. 91 (Kornev A.N., Panova Y.S., Sushev V.V. et al. // Russ. J. Coord. Chem. 2020. V. 46. № 2. P. 98). https://link.springer.com/article/10.1134/ S1070328420020050.
- Panova Yu., Khristolyubova A., Zolotareva N. et al. // Dalton Trans. 2021. V. 50. P. 5890.
- Kornev A.N., Sushev V.V., Panova Yu.S. et al. // Inorg. Chem. 2014. V. 53. P. 3243.
- Kornev A.N., Gorak O.Y., Lukoyanova O.V. et al. // Z. Anorg. Allg. Chem. 2012. V. 638. № 7–8. P. 1173.
- APEX3. Bruker Molecular Analysis Research Too. Version 2016.9. Madison (WI, USA): Bruker AXS Inc., 2016.
- Data Collection, Reduction and Correction Program. CrysAlisPro 1.171.38.46. Software Package, Rigaku OD, 2015.
- SAINT Data Reduction and Correction Program. Version 8.37A. Madison (WI, USA): Bruker AXS Inc., 2012.
- Krause L., Herbst-Irmer R., Sheldrick G. M., Stalke D. // J. Appl. Cryst. 2015. V. 48. P. 3.
- Sheldrick G.M. // Acta Crystallogr. A. 2015. V. 71. P. 3.
- Sheldrick G.M. // Acta Crystallogr. C. 2015. V. 71. P. 3.
- Sheldrick G.M. SHELXTL. Version 6.14. Structure Determination Software Suite. Madison (WI, USA): Bruker AXS, 2003.
- Sheldrick G.M. SADABS. Version 2016/2. Bruker/Siemens Area Detector Absorption Correction Program. Madison (WI, USA): Bruker AXS Inc., 2016.
- SCALE3 ABSPACK: Empirical Absorption orrection. CrysAlisPro 1.171.38.46. Software Package, Rigaku OD, 2015.
- Pyykkö P., Atsumi, M. // Chem. Eur. J. 2009. V. 15. № 1. P. 186.
- Burford N., Losier P., Phillips A.D. et al. // Inorg. Chem. 2003. V. 42. P. 1087.
- Robertson A.P.M., Dyker C.A., Gray P.A. et al. // J. Am. Chem. Soc. 2014. V. 136. P. 14941.
- Boomishankar R., Ledger J., Guilbaud J.-B. et al. // Chem. Commun. 2007. P. 5152.
- Huang C.H., Wen M., Wang C.Y. et al. // Dalton Trans. 2017. V. 4. № 5. P. 1413.
- Панова Ю.С., Христолюбова А.В., Сущев В.В. и др. // Изв. АН. Сер. хим. 2021. Т. 10. С. 1973 (Panova Yu.S., Khristolyubova A.V., Sushev V.V. et al. // Russ. Chem. Bull., Int. Ed. 2021. V. 70. № 10. P. 1973). https:// link.springer.com/article/10.1007/s11172-021-3305-1.
- Bock H., Nather C., John A. et al. // CSD Communication (Private Communication), 2007. CCDC 228884.
- Nyulaszi L., Veszpremi T., Reffy J. et al. // J. Am. Chem. Soc. 1992. V. 114. № 23. P. 9080.
Supplementary files


















