Complexes R2Sn(IV)L with O,N,O'-Donor Schiff Bases: Synthesis, Structures, and Redox Properties
- Autores: Smolyaninov I.V.1, Burmistrova D.A.1, Pomortseva N.P.1, Voronina Y.K.2, Poddel’sky A.I.3, Berberova N.T.1, Eremenko I.L.1,3
- 
							Afiliações: 
							- Astrakhan State Technical University, Astrakhan, Russia
- Kurnakov Institute of General and Inorganic Chemistry, Russian Academy of Sciences, Moscow, Russia
- Razuvaev Institute of Organometallic Chemistry, Russian Academy of Sciences, Nizhny Novgorod, Russia
 
- Edição: Volume 49, Nº 3 (2023)
- Páginas: 138-156
- Seção: Articles
- URL: https://journals.rcsi.science/0132-344X/article/view/137271
- DOI: https://doi.org/10.31857/S0132344X22600266
- EDN: https://elibrary.ru/CUJMHD
- ID: 137271
Citar
Texto integral
Resumo
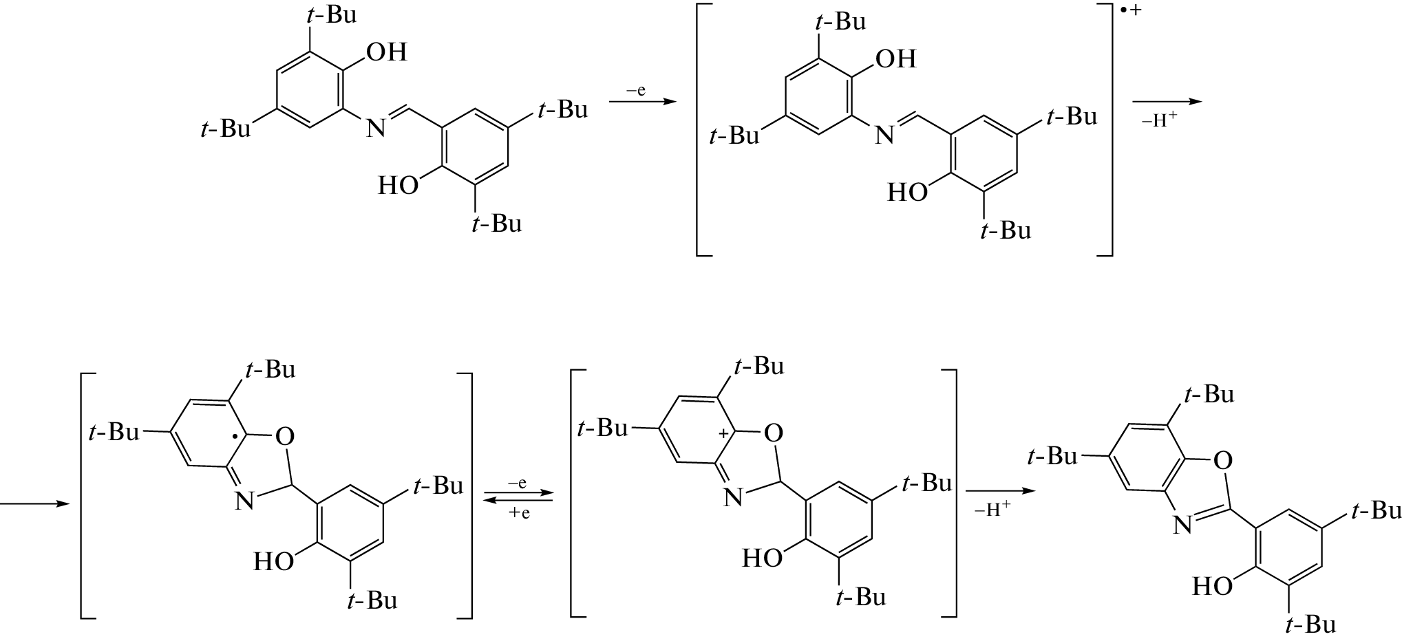
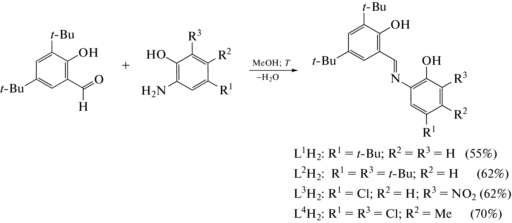
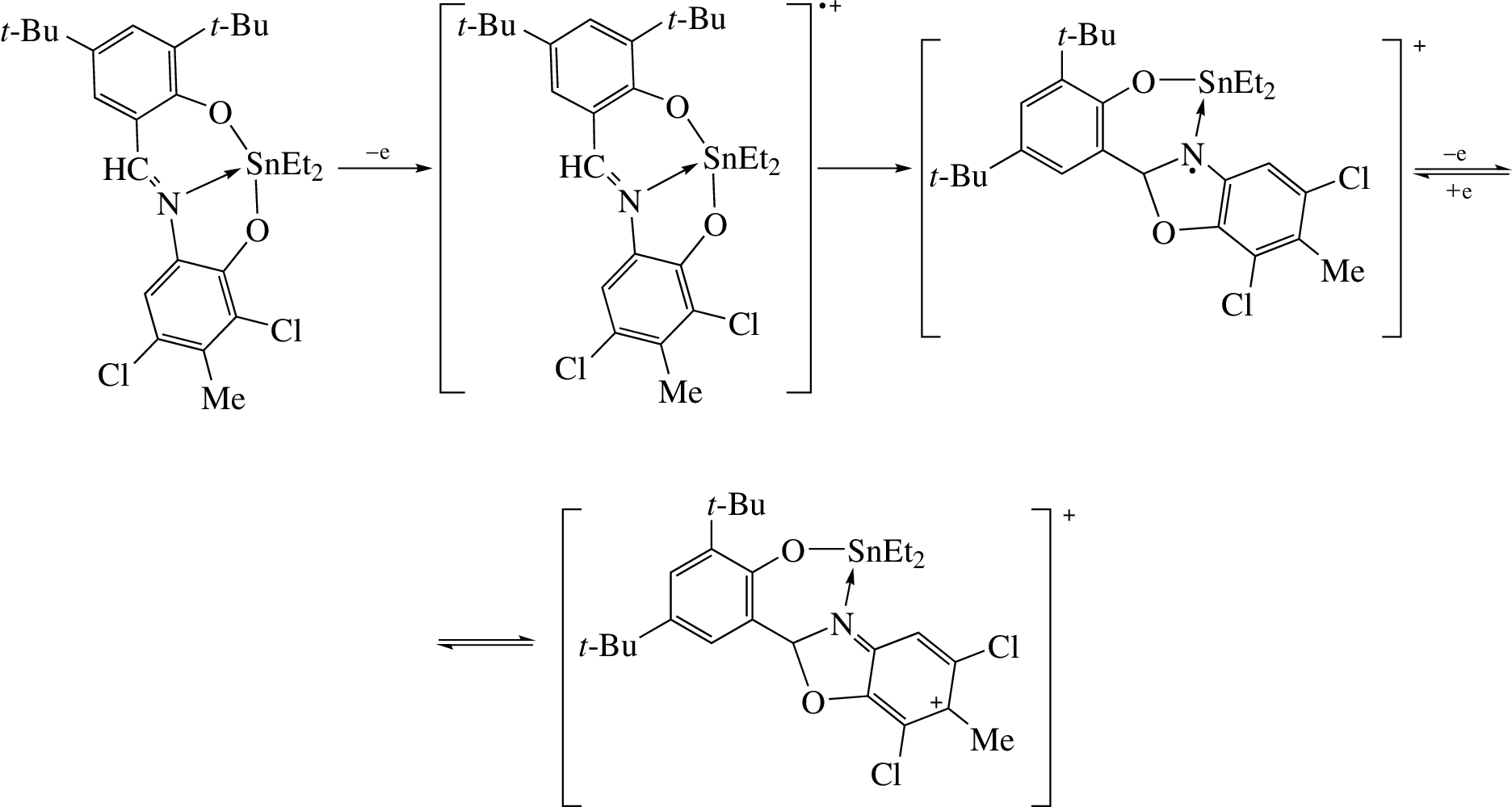
New tin(IV) complexes with O,N,O'-donor Schiff bases (L1H2–L4H2) of the (Ln)SnR2 type (R = Ph (I–III), Et (IV–VII)) are synthesized and characterized. The molecular structures of compounds I–III, VI, and VII in the crystalline form are determined by X-ray diffraction (XRD) (CIF files CCDC nos. 2181140 (I), 2181142 (II), 2181143 (III∙CH3CN), 2181141 (VI), and 2181139 (VII)). Tin complexes I–III and VI are mononuclear pentacoordinate compounds. Crystalline complex VII forms dimers via the pairwise bridging coupling between the oxygen and tin atoms of the mononuclear fragments. The redox-active ligand in the synthesized compounds exists as the iminobis(phenolate) dianion. The electrochemical properties of free ligands and complexes I–VII are studied. In the case of compounds I, II, IV, and V with tert-butyl substituents in the redox-active ligand, the formation of relatively stable monocationic and monoanionic species is electrochemically detected for the first time. The presence of the electroactive nitro group results in the destabilization of the oxidized forms of the complexes and induces the appearance of an additional peak in the cathodic range. The energy gaps between the frontier redox orbitals are determined by the electrochemical and spectral methods. The obtained parameters are close and vary in a range of 2.43–2.68 eV.
Palavras-chave
Sobre autores
I. Smolyaninov
Astrakhan State Technical University, Astrakhan, Russia
														Email: ivsmolyaninov@gmail.com
				                					                																			                												                								Россия, Астрахань						
D. Burmistrova
Astrakhan State Technical University, Astrakhan, Russia
														Email: ivsmolyaninov@gmail.com
				                					                																			                												                								Россия, Астрахань						
N. Pomortseva
Astrakhan State Technical University, Astrakhan, Russia
														Email: ivsmolyaninov@gmail.com
				                					                																			                												                								Россия, Астрахань						
Yu. Voronina
Kurnakov Institute of General and Inorganic Chemistry, Russian Academy of Sciences, Moscow, Russia
														Email: ivsmolyaninov@gmail.com
				                					                																			                												                								Россия, Москва						
A. Poddel’sky
Razuvaev Institute of Organometallic Chemistry, Russian Academy of Sciences, Nizhny Novgorod, Russia
														Email: ivsmolyaninov@gmail.com
				                					                																			                												                								Россия, Нижний Новгород						
N. Berberova
Astrakhan State Technical University, Astrakhan, Russia
														Email: ivsmolyaninov@gmail.com
				                					                																			                												                								Россия, Астрахань						
I. Eremenko
Astrakhan State Technical University, Astrakhan, Russia;Razuvaev Institute of Organometallic Chemistry, Russian Academy of Sciences, Nizhny Novgorod, Russia
							Autor responsável pela correspondência
							Email: ivsmolyaninov@gmail.com
				                					                																			                												                								Россия, Астрахань; Россия, Нижний Новгород						
Bibliografia
- Chen W., Ou W., Wang L. et al. // Dalton Trans. 2013. V. 42. P. 15678.
- Smolyaninov I.V., Poddel’sky A.I., Baryshnikova S.V. et al. // Appl. Organomet. Chem. 2018. V. 32. P. e4121.
- Smolyaninov I.V., Burmistrova D.A., Arsenyev M.V. et al. // ChemistrySelect. 2021. № 6. P 10609.
- Dehghani-Firouzabadi A.A., Sobhani M., Notash B. // Polyhedron. 2016. V. 119. P. 49.
- Bellan E.V., Poddel’sky A.I., Arsenyev M.V. et al. // Eur. J. Inorg. Chem. 2016. V. 33. P. 5230.
- Berrones-Reyes J.C., Munoz-Flores B.M., Uscanga-Palomeque A.C. et al. // ChemistrySelect. 2020. V. 5. P. 1623.
- Baryshnikova S.V., Poddel’sky A.I., Bellan E.V. et al. // Inorg. Chem. 2020. V. 59. P. 6774.
- Zoubi W.A., Ko Y.G. // J. Organomet. Chem. 2016. V. 822. P. 173.
- Liu X., Manzur C., Novoa N. et al. // Coord. Chem. Rev. 2018. V. 357. P. 144.
- Zhang J., Xu L., Wong W.-Y. // Coord. Chem. Rev. 2018. V. 355. P. 180.
- Berhanu A.L., Gaurav I., Mohiuddin I. et al. // Trends Anal. Chem. 2019. V. 116. P. 74.
- Oiye É.N., Ribeiro M.F.M., Katayama J.M.T. et al. // Crit. Rev. Anal. Chem. 2019. V. 49. P. 488.
- Kaczmarek M.T., Zabiszak M., Nowak M. et al. // Coord. Chem. Rev. 2018. V. 370. P. 42.
- More M.S., Joshi P.G., Mishra Y.K. et al. // Mater. Today Chem. 2019. V. 14. P. 100195.
- Zoubi W.A., Al-Hamdani A.A.S., Kaseem M. // Appl. Organomet. Chem. 2016. V. 30. P. 810.
- Zafar W., Sumrra S.H., Chohan Z.H. // Eur. J. Med. Chem. 2021. V. 222. P. 113602.
- Ilyakina E.V., Poddel’sky A.I., Piskunov A.V. et al. // Inorg. Chim. Acta. 2013. V. 394. P. 282.
- Ilyakina E.V., Poddel’sky A.I., Fukin G.K. et al. // Inorg. Chem. 2013. V. 52. P. 5284.
- Piskunov A.V., Meshcheryakova I.N., Piskunova M.S. et al. // J. Mol. Struct. 2019. V. 1195. P. 417.
- Cantón-Díaz A.M., Muñoz-Flores B.M., Moggio I. et al. // New J. Chem. 2018. V. 42. P. 14586.
- Zugazagoitia J.S., Maya M., Damian-Zea C. et al. // J. Phys. Chem. A. 2010. V. 114. P. 704.
- Lopez-Espejel V., Gomez-Trevino A., Munoz-Flores B.M. et al. // J. Mater. Chem. B. 2021. V. 9. P. 7698.
- Khan H.Y., Maurya S.K., Siddique H.R. et al. // ACS Omega. 2020. V. 5. P. 15218.
- Khatkar P., Asija S. // Phosphorus, Sulfur, Silicon Relat. Elem. 2017. V. 192. P. 446.
- Jiang W., Qin Q., Xiao X. et al. // J. Inorg. Biochem. 2022. V. 232. P. 111808.
- Antonenko T.A., Shpakovsky D.B., Vorobyov M.A. et al. // Appl. Organomet. Chem. 2018. V. 32. P. e4381.
- Galván-Hidalgo J.M., Ramírez-Apan T., Nieto-Camacho A. et al. // J. Organomet. Chem. 2017. V. 848. P. 332.
- Nath M., Saini P.K. // Dalton Trans. 2011. V. 40. P. 7077.
- Vinayak R., Dey D., Ghosh D. et al. // Appl. Organomet. Chem. 2018. V. 32. P. e4122.
- Basu S., Masharing C., Das B. // Heteroat. Chem. 2012. V. 23. P. 457.
- Gonzalez A., Gomez E., Cortes-Lozada A. et al. // Chem. Pharm. Bull. 2009. V. 57. P. 5.
- Basu S., Gupta G., Das B. et al. // J. Organomet. Chem. 2010. V. 695. P. 2098.
- Tan Y.-X., Zhang Z.-J., Liu Y. et al. // J. Mol. Struct. 2017. V. 1149. P. 874.
- Devi J., Pachwania S., Yadav J. et al. // Phosphorus, Sulfur, Silicon Relat. Elem. 2020. V. 196. P. 119.
- Jimenez-Perez V.M., Camacho-Camacho C., Guizado-Rodrıguez M. et al. // J. Organomet. Chem. 2000. V. 614–615. P. 283.
- Гордон А., Форд Р. Спутник химика. М.: Мир, 1976, 437 с.
- Krause L., Herbst-Irmer R., Sheldrick G.M. et al. // J. Appl. Crystallogr. 2015. V. 48. P. 3.
- Sheldrick G.M. // Acta Crystallogr. A. 2015. V. 71. P. 3.
- Dolomanov O.V., Bourhis L.J., Gildea R.J. et al. // J. A-ppl. Crystallogr. 2009. V. 42. P. 339.
- Chans G.M., Nieto-Camacho A., Ramırez-Apan T. et al. // Aust. J. Chem. 2015. V. 69. № 3. P. 279.
- Addison A.W., Rao T.N., Reedijk J. et al. // Dalton Trans. 1984. V. 7. P. 1349.
- González-Hernández A., Barba V. // Inorg. Chim. Acta. 2018. V. 483. P. 284.
- Zhang Zh.-J., Zeng H.-T., Liu Y. et al. // Inorg. Nano-Met. Chem. 2018. V. 48. P. 486.
- Yenişehirli G., Öztaş N.A., Şahin E. et al. // Heteroat. Chem. 2010. V. 21. P. 373.
- Бацанов С.С. // Журн. неорган. химии. 1991. Т. 36. № 12. С. 3015.
- Galván-Hidalgo J.M., Chans G.M., Ramírez-Apan T. et al. // Appl. Organomet. Chem. 2017. V. 31. P. e3704.
- García-López M.C., Muñoz-Flores B.M., Jiménez-Pérez V.M. et al. // Dyes Pigm. 2014. V. 106. P. 188.
- Baryshnikova S.V., Bellan E.V., Poddel’sky A.I. et al. // Inorg. Chem. Commun. 2016. V. 69. P. 94.
- Celebier M., Sahin E., Ancin N. et al. // Appl. Organometal. Chem. 2007. V. 21. P. 913.
- Beltrán H.I., Damian-Zea C., Hernández-Ortega S. et al. // J. Inorg. Biochem. 2007. V. 101. P. 1070.
- Pettinari C., Marchetti F., Pettinari R. et al. // Inorg. Chim. Acta. 2001. V. 325. P. 103.
- Baul T.S.B., Addepalli M.R., Lyčka A. et al. // Inorg. Chim. Acta. 2020. V. 512. P. 119892.
- Baul T.S.B., Addepalli M.R., Lyčka A. et al. // J. Organomet. Chem. 2020. V. 927. P. 121522.
- Shih Y., Ke C., Pan C. et al. // RSC Adv. 2013. V. 3. P. 7330.
- Salehzadeh H., Nematollahi D. // RSC Adv. 2014. V. 4. P. 24207.
- Salehzadeh H., Nematollahi D., Hesari H. // Green Chem. 2013. V. 15. P. 2441.
- Lund H., Hammerich O., Organic Electrochemistry. New York: Marcel Dekker, Inc., 2001. 1393 p.
- Grusenmeyer T.A., King A.W., Mague J.T. et al. // Dalton Trans. 2014. V. 43. P. 17754.
- Yenisehirli G., Oztas N.A., Sahin E. et al. // Heteroat. Chem. 2010. V. 21. № 6. P. 373.
- Смолянинова С.А., Поддельский А.И., Смолянинов И.В. и др. // Коорд. химия. 2014. Т. 40. № 5. С. 274 (Smolyaninova S.A., Poddel’sky A.I., Smolyaninov I.V. et al. // Russ. J. Coord. Chem. 2014. V. 40. № 5. P. 273). https://doi.org/10.1134/S107032841405011X
- Пискунов А.В., Чегерев М.Г. // Коорд. химия. 2018. Т. 44. № 2. С. 109 (Chegerev M.G., Piskunov A.V. // Russ. J. Coord. Chem., 2018. V. 44. № 4. Р. 258.).https://doi.org/10.1134/S1070328418040036
- Budnikova Y.H., Dudkina Y.B., Kalinin A.A. et al. // Electrochim. Acta. 2021. V. 368. P. 137578.
- González-Hernández A., León-Negrete A., Galván-Hidalgo J.M. et al. // J. Mol. Struct. 2021. V. 1242. P. 130807.
- Пискунов А.В., Трофимова О.Ю., Малеева А.В., Черкасов А.В. // Коорд. химия. 2019. Т. 45. № 3. С. 158 (Piskunov A.V., Trofimova O.Y., Maleeva A.V., Cherkasov A.V. // Russ. J. Coord. Chem. 2019. V. 45. № 3. P. 188). https://doi.org/10.1134/S1070328419020040
Arquivos suplementares
 
				
			 
						 
						 
					 
						 
						 
				
 
  
  
  Enviar artigo por via de e-mail
			Enviar artigo por via de e-mail 





















