New Binuclear Copper(II) Complex Based on 1,2-Bis(2-(4,4,4-trifluoro-1,3-dioxobutyl)phenoxyethane: Synthesis and Structure
- Authors: Patrina A.N.1, Veretennikova E.A.1,2, Khamidullina L.A.1,2, Puzyrev I.S.1, Slepukhin P.A.1, Pestov A.V.1,2
-
Affiliations:
- Postovskii Institute of Organic Synthesis, Ural Branch, Russian Academy of Sciences, Yekaterinburg, Russia
- Ural Federal University named after the first President of Russia B.N. Yeltsin, Yekaterinburg, Russia
- Issue: Vol 49, No 1 (2023)
- Pages: 44-50
- Section: Articles
- URL: https://journals.rcsi.science/0132-344X/article/view/137265
- DOI: https://doi.org/10.31857/S0132344X22700177
- EDN: https://elibrary.ru/IWRPPY
- ID: 137265
Cite item
Full Text
Abstract
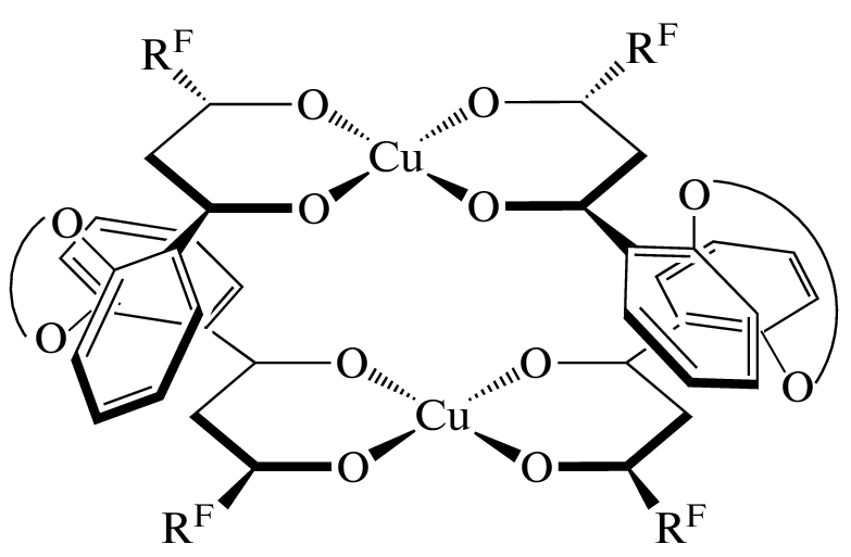
New binuclear complex 1,2-bis[2-(4,4,4-trifluoro-1-hydroxy-3-oxobut-1-enyl)phenoxy]ethanedi(dimethylformamide)dicopper(II) is synthesized, and its structure is studied by X-ray diffraction (XRD) (CIF file CCDC no. 2179252). A crystal of the complex is formed by centrosymmetric Cu2L2(DMF)2 molecules in which the coordination environment of each metallocenter is a distorted square pyramid, and the whole molecule is a metallomacrocycle containing the calixarene-like cavity. Its size is determined the distance between the Cu…Cu metallocenters (7.699 Å) and the distance between the planes of the opposite phenyl radicals in the cis position (8.200–8.323 Å). The cavity is a parallelogram. The carcass-type binuclear structure is formed due to an increase in the denticity of the ligand via the formation of the bis(triketone)-like structure that weakens the donor character of both functional groups of the β-diketone fragment.
About the authors
A. N. Patrina
Postovskii Institute of Organic Synthesis, Ural Branch, Russian Academy of Sciences, Yekaterinburg, Russia
Email: algalameb@gmail.com
Россия, Екатеринбург
E. A. Veretennikova
Postovskii Institute of Organic Synthesis, Ural Branch, Russian Academy of Sciences, Yekaterinburg, Russia; Ural Federal University named after the first President of Russia B.N. Yeltsin, Yekaterinburg, Russia
Email: algalameb@gmail.com
Россия, Екатеринбург; Россия, Екатеринбург
L. A. Khamidullina
Postovskii Institute of Organic Synthesis, Ural Branch, Russian Academy of Sciences, Yekaterinburg, Russia; Ural Federal University named after the first President of Russia B.N. Yeltsin, Yekaterinburg, Russia
Email: algalameb@gmail.com
Россия, Екатеринбург; Россия, Екатеринбург
I. S. Puzyrev
Postovskii Institute of Organic Synthesis, Ural Branch, Russian Academy of Sciences, Yekaterinburg, Russia
Email: algalameb@gmail.com
Россия, Екатеринбург
P. A. Slepukhin
Postovskii Institute of Organic Synthesis, Ural Branch, Russian Academy of Sciences, Yekaterinburg, Russia
Email: algalameb@gmail.com
Россия, Екатеринбург
A. V. Pestov
Postovskii Institute of Organic Synthesis, Ural Branch, Russian Academy of Sciences, Yekaterinburg, Russia; Ural Federal University named after the first President of Russia B.N. Yeltsin, Yekaterinburg, Russia
Author for correspondence.
Email: algalameb@gmail.com
Россия, Екатеринбург; Россия, Екатеринбург
References
- Vigato P.A., Peruzzo V., Tamburini S. // Coord. Chem. Rev. 2009. V. 253. P. 1099.
- Пестов А.В., Слепухин П.А., Чарушин В.Н. // Успехи химии 2015. Т. 84 № 3. С. 310 (Pestov A.V., Slepukhin P.A., Charushin V.N. // Russ. Chem. Rev. 2015. V. 84. № 3. P. 310). https://doi.org/10.1070/RCR4461
- Clegg J.K., Li F., Lindoy L.F. // Coord. Chem. Rev. 2013. V. 257. P. 2536.
- Pestov A.V., Khamidullina L.A., Sosnovskikh V.Y. et al. // Polyhedron. 2016. V. 106. P. 75.
- Bray D.J., Clegg J.K., Lindoy L.F. // Adv. Inorg. Chem. 2006. V. 59. P. 1.
- Rizzotto M. // A Search for Antibacterial Agents. Intech Open Access Publ., 2012. P. 73.
- Joksimović N., Baskić D., Popović S. et al. // Dalton Trans. 2016. V. 45. P. 15067.
- Tisato F., Marzano C., Porchia M. et al. // Med. Res. Rev. 2010. V. 30. № 4. P. 708.
- Lavanya M., Jagadeesh M., Haribabuc J. et al. // Inorg. Chim. Acta. 2018. V. 469. P. 76.
- Leung C.-H., Lin S., Zhong H.-J. et al. // Chem. Sci. 2015. V. 6. P. 871.
- Wang J., Sanchez-Rosello M., Aceñ J. et al. // Chem. Rev. 2014. V. 114. P. 2432.
- Viswanathan A., Sala A., Yli-Harja O. et al. // Eur. J. Pharm. Sci. 2015. V. 66. P. 83.
- Nishiyama T., Shiotsu S., Tsujita H. // Polym. Degrad. Stab. 2002. V. 76. P. 435.
- Bhise N.A., Al-horaibi S.A., Gaikwad S.T. et al. // Rasayan J. Chem. 2019. V. 12. P. 101.
- Khamidullina L.A., Puzyrev I.S., Glukhareva T.V. et al. // J. Mol. Struct. 2019. V. 1176. P. 515.
- Khamidullina L.A., Puzyrev I.S., Burygin G.L. et al. // Molecules. 2021. V. 26. P. 6466.
- Khamidullina L.A., Obydennov K.L., Slepukhin P.A. et al. // J. Mol. Struct. 2016. V. 1125. P. 550.
- Dolomanov O.V., Bourhis L.J., Gildea R.J. et al. // J. A-ppl. Cryst. 2009. V. 42. P. 339.
- Sheldrick G.M. // Acta Crystallogr. A. 2015. V. 71. P. 3.
- Park C., Chun S., Bartsch R.A. // J. Incl. Phenom. Macrocycl. Chem. 2010. V. 66. P. 95.
- Gutsche C.D., Bauer L.J. // J. Am. Chem. Soc. 1985. V. 107. P. 6052.
- Al-Anber M. A., Daoud H. M., Ruffer T. et al. // Arab. J. Chem. 2016. V. 9. P. 344.
- Crowder J.M., Han H., Wei Z. et al. // Polyhedron. 2019. V. 157. P. 33.
- Ульянова М.И., Баскакова С.А., Аксенова Т.В. и др. // Коорд. химия. 2015. Т. 41. № 4. С. 213 (Ul’yanova M.I., Baskakova S.A., Aksenova T.V. et al. // Russ. J. Coord. Chem. 2015. V. 41. P. 240). https://doi.org/10.1134/S1070328415040090
Supplementary files










