Coordination Compounds in Devices of Molecular Spintronics
- Authors: Zlobin I.S.1,2, Novikov V.V.1,2, Nelyubina Y.V.1,2
-
Affiliations:
- Nesmeyanov Institute of Organoelement Compounds, Russian Academy of Sciences, Moscow, Russia
- Moscow Institute of Physics and Technology (National Research University), Dolgoprudnyi, Moscow oblast, Russia
- Issue: Vol 49, No 1 (2023)
- Pages: 3-12
- Section: Articles
- URL: https://journals.rcsi.science/0132-344X/article/view/137256
- DOI: https://doi.org/10.31857/S0132344X22700013
- EDN: https://elibrary.ru/ERNBVV
- ID: 137256
Cite item
Full Text
Abstract
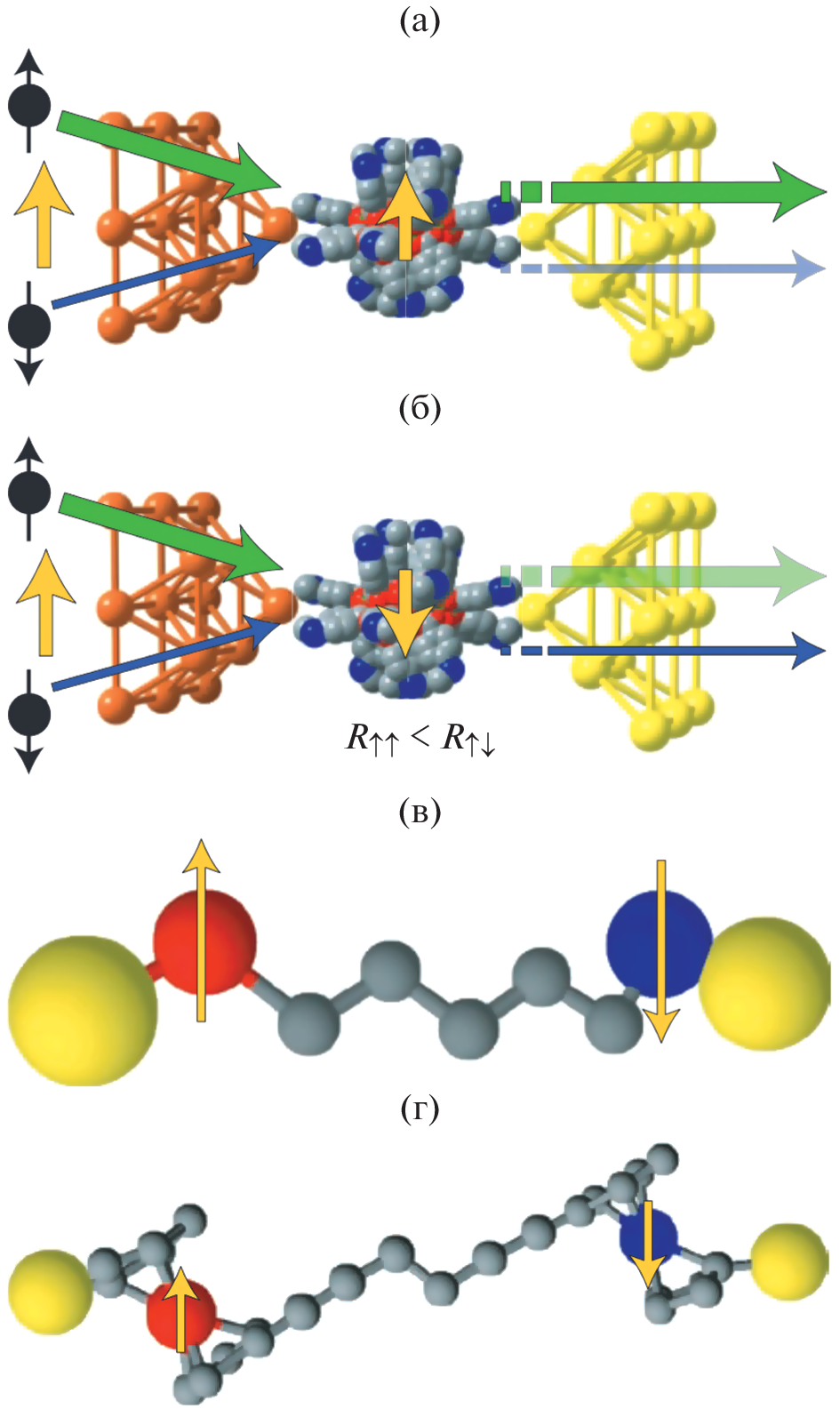
Spintronics, being one of the youngest fields of microelectronics, is applied already for several decades to enhance the efficiency of components of computer equipment and to develop units of quantum computer and other electronic devices. The use of molecular material layers in a spintronic device makes it possible to substantially deepen the understanding of the spin transport mechanisms and to form foundation for a new trend at the nexus of physics and chemistry: molecular spintronics. Since the appearance of this trend, various coordination compounds, including semiconductors, single-molecule magnets, complexes with spin transitions, and metal-organic frameworks, are considered as molecular materials of spintronic devices with diverse unusual characteristics imparted by these materials. Specific features of using the earlier described representatives of the listed classes of compounds or their analogs, which are still “kept on the shelves” in chemical laboratories, for manufacturing polyfunctional devices of molecular spintronics are briefly reviewed.
About the authors
I. S. Zlobin
Nesmeyanov Institute of Organoelement Compounds, Russian Academy of Sciences, Moscow, Russia; Moscow Institute of Physics and Technology (National Research University), Dolgoprudnyi, Moscow oblast, Russia
Email: novikov84@ineos.ac.ru
Россия, Москва; Россия, Московская обл., Долгопрудный
V. V. Novikov
Nesmeyanov Institute of Organoelement Compounds, Russian Academy of Sciences, Moscow, Russia; Moscow Institute of Physics and Technology (National Research University), Dolgoprudnyi, Moscow oblast, Russia
Email: novikov84@ineos.ac.ru
Россия, Москва; Россия, Московская обл., Долгопрудный
Yu. V. Nelyubina
Nesmeyanov Institute of Organoelement Compounds, Russian Academy of Sciences, Moscow, Russia; Moscow Institute of Physics and Technology (National Research University), Dolgoprudnyi, Moscow oblast, Russia
Author for correspondence.
Email: novikov84@ineos.ac.ru
Россия, Москва; Россия, Московская обл., Долгопрудный
References
- Yates J.T. // Science. 1998. V. 279. № 5349. P. 335.
- Zantye P.B., Kumar A., Sikder A.K. // Sci. Eng. Ineering. 2004. V. 45. № 3. P. 89.
- Wolf S.A., Chtchelkanova A.Y., Treger D.M. // IBM J. Res. Dev. 2006. V. 50. № 1. P. 101.
- Wolf S.A., Awschalom D.D., Buhrman R.A. et al. // Science. 2001. V. 294. № 5546. P. 1488.
- Žutić I., Fabian J., Das Sarma S. // Rev. Mod. Phys. 2004. V. 76. № 2. P. 323.
- Baibich M.N., Broto J.M., Fert A. et al. // Phys. Rev. Lett. 1988. V. 61. № 21. P. 2472.
- Binasch G., Grünberg P., Saurenbach F. et al. // Phys. Rev. B. 1989. V. 39. № 7. P. 4828.
- Ney A., Pampuch C., Koch R. et al. // Nature. 2003. V. 425. № 6957. P. 485.
- Behin-Aein B., Datta D., Salahuddin S., Datta S. // Nat. Nanotechnol. 2010. V. 5. № 4. P. 266.
- Burkard G., Engel H.A., Loss D. // Fortschr. Phys. 2000. V. 48. № 9–11. P. 965.
- Rao C.N.R., Cheetham A.K. // Science. 1996. V. 272. № 5260. P. 369.
- Khvalkovskii A.V., Zvezdin K.A. // J. Magn. Magn. Mater. 2006. V. 300. № 1. P. 270.
- Parkin S.S.P., Roche K.P., Samant M.G. et al. // J. A-ppl. Phys. 1999. V. 85. № 8. P. 5828.
- Tehrani S., Engel B., Slaughter J.M. et al. // IEEE Trans. Magn. 2000. V. 36. № 5. P. 2752.
- Khvalkovskiy A.V., Apalkov D., Watts S. et al. // J. Phys. D: Appl. Phys. 2013. V. 46. № 13.
- Rizzo N.D., Houssameddine D., Janesky J. et al. // IEEE Trans. Magn. 2013. V. 49. № 7. P. 4441.
- Kim Y., Yun J.G., Park S.H. et al. // IEEE Trans. Electron Devices. 2012. V. 59. № 1. P. 35.
- Gajek M., Nowak J.J., Sun J.Z.et al. // Appl. Phys. Lett. 2012. V. 100. № 13. P. 1.
- Devkota J. et al. Organic Spin Valves: A Review // Adv. Funct. Mater. 2016. V. 26. № 22. P. 3881.
- Camarero J., Coronado E. // J. Mater. Chem. 2009. V. 19. № 12. P. 1678.
- Felser C., Fecher G.H., Balke B. // Angew. Chem. Int. Ed. 2007. V. 46. № 5. P. 668.
- Sanvito S. // Chem. Soc. Rev. 2011. V. 40. № 6. P. 3336.
- Clemente-Juan J.M., Coronado E., Gaita-Ariñoa A. // Chem. Soc. Rev. 2012. V. 41. № 22. P. 7464.
- Coronado E. // Nat. Rev. Mater. 2020. V. 5. № 2. P. 87.
- Xiong Z.H., Wu D., Valy Vardeny Z., Shi J. // Nature. 2004. V. 427. № 6977. P. 821.
- Coronado E., Yamashita M. // Dalton Trans. 2016. V. 45. № 42. P. 16553.
- Sanvito S. // Nature Phys. 2010. V. 6. № 8. P. 562.
- Barthélémy A., Fert A., Contour J.P. et al. // J. Magn. Magn. Mater. 2002. V. 242–245. P. 68.
- Fert A., Barthélémy A., Petroff F. // Elsevier. 2006. V. 1. P. 153.
- Wang F.J., Yang C.G., Vardeny Z.V., Li X.G. // Phys. Rev. B Condens. Matter. 2007. V. 75. № 24.
- Yoo J.W., Jang H.W., Prigodin V.N. et al. // Synth. Met. 2010. V. 160. P. 216.
- Raman K.V. // Appl. Phys. Rev. 2014. V. 1. № 3. P. 031101.
- Cinchetti M., Dediu V.A., Hueso L.E. // Nat. Mater. 2017. V. 16. № 5. P. 507.
- Bedoya-Pinto A., Miralles S.G., Vélez S. et al. // Adv. Funct. Mater. 2018. V. 28. № 16. P. 1.
- Barraud C., Seneor P., Mattana R. et al. // Nat. Phys. 2010. V. 6. № 8. P. 615.
- Forment-Aliaga A., Coronado E. // Chem. Rec. 2018. V. 18. № 7. P. 737.
- Brütting W. // Physica Status Solidi. 2005. P. 1.
- Friend R.H., Gymer R.W., Holmes A.B. et al. // Nature. 1999. V. 397. № 6715. P. 121.
- Forrest S., Burrows P., Thompson M. // IEEE Spectr. 2000. V. 37. № 8. P. 29.
- Ding S., Tian Y., Hu W. // Nano Res. 2021.
- Wang F.J., Xiong Z.H., Wu D. et al. // Synth. Met. 2005. V. 155. № 1. P. 172.
- Santos T.S., Lee J.S., Migdal P. et al. // Phys. Rev. Lett. 2007. V. 98. № 1. P. 016601.
- Prezioso M., Riminucci A., Bergenti I. et al. // Adv. Mater. 2011. V. 23. № 11. P. 1371.
- Jiang S.W., Chen B.B., Wang P. et al. // Appl. Phys. Lett. 2014. V. 104. № 26. Art. 262402.
- Jiang S.W., Shu D.J., Lin L. et al. // New J. Phys. 2014. V. 16. № 1. P. 013028.
- Mondal P.C., Fontanesi C., Waldeck D.H. et al. // Acc. Chem. Res. 2016. V. 49. № 11. P. 2560.
- Delprat S., Galbiati M., Tatay S. et al. // J. Phys. D: Appl. Phys. 2018. V. 51. № 47.
- Yang W., Shi Q., Miao T. et al. // Nat. Commun. 2019. V. 10. № 1. P. 1.
- Xia H., Zhang S., Li H. et al. // Results Phys. 2021. V. 22. P. 103963.
- Droghetti A., Steil S., Großmann N. et al. // Phys. Rev. B. 2014. V. 89. № 9. P. 094412.
- Bergenti I., Borgatti F., Calbucci M. et al. // ACS Appl. Mater. Interfaces. 2018. V. 10. № 9. P. 8132.
- Riminucci A., Yu Z.G., Prezioso M. et al. // ACS Appl. Mater. Interfaces. 2019. V. 11. № 8. P. 8319.
- Sun D., Miller J.S., Liu F. et al. // World Scientific 2018. V. 2. P. 167.
- Bedoya-Pinto A., Prima-García H., Casanova F. et al. // Adv. Electron. Mater. 2015. V. 1. № 6. P. 1.
- Sun X., Bedoya-Pinto A., Mao Z. et al. // Adv. Mater. 2016. V. 28. № 13. P. 2609.
- Yu D.E.C., Matsuda M., Tajima H. et al. // J. Mater. Chem. 2009. V. 19. № 6. P. 718.
- Yu D.E.C., Matsuda M., Tajima H. et al. // Dalton Trans. 2011. V. 40. № 10. P. 2283.
- Black N., Daiki T., Matsushita M.M. et al. // Phys. Chem. Chem. Phys. 2018. V. 20. № 1. P. 514.
- Pilia L., Serri M., Matsushita M.M. et al. // Adv. Funct. Mater. 2014. V. 24. № 16. P. 2383.
- Christou G., Gatteschi D., Hendrickson D.N. et al. // MRS Bull. 2000. V. 25. № 11. P. 66.
- Novikov V., Nelyubina Yu. // Russ. Chem. Rev. 2021. V. 90. № 10. P. 1330.
- Bogani L., Wernsdorfer W. // Nanosci. Technol. 2009. P. 194.
- Leuenberger M.N., Loss D. // Nature. 2001. V. 410. № 6830. P. 789.
- Elste F., Timm C. // Phys. Rev. B. 2006. V. 73. № 23. P. 235305.
- Timm C., Elste F. // Phys. Rev. B. 2006. V. 73. № 23. P. 235304.
- Ishikawa N., Sugita M., Ishikawa T. et al. // J. Am. Chem. Soc. 2003. V. 125. № 29. P. 8694.
- Ishikawa N., Sugita M., Wernsdorfer W. // Ang. Chem. Int. Ed. 2005. V. 44. № 19. P. 2931.
- Katoh K., Komeda T., Yamashita M. // The Chem. Rec. 2016. V. 16. № 2. P. 987.
- Jo M.H., Grose J.E., Baheti K. et al. // Nano Lett. 2006. V. 6. № 9. P. 2014.
- Stepanow S., Honolka J., Gambardella P. et al. // J. Am. Chem. Soc. 2010. V. 132. № 34. P. 11900.
- Candini A., Klyatskaya S., Ruben M. et al. // Nano Lett. 2011. V. 11. № 7. P. 2634.
- Urdampilleta M., Nguyen N.V., Cleuziou J.P. et al. // Int. J. Mol. Sci. 2011. V. 12. № 10. P. 6656.
- Shao D., Wang X.-Y. // Chin. J. Chem. 2020. V. 38. № 9. P. 1005.
- Mannini M., Pineider F., Sainctavit P. et al. // Nature Mater. 2009. V. 8. № 3. P. 194.
- Cini A., Mannini M., Totti F. et al. // Nat. Commun. 2018. V. 9. № 1. P. 480.
- Mitcov D., Pedersen A.H., Ceccato M. et al. // Chem. Sci. 2019. V. 10. № 10. P. 3065.
- Cucinotta G., Poggini L., Pedrini A. et al. // Adv. Funct. Mater. 2017. V. 1703600. P. 1.
- Miralles S.G., Bedoya-Pinto A., Baldoví J.J. et al. // Chem. Sci. 2018. V. 9. № 1. P. 199.
- Senthil Kumar K., Ruben M. // Coord. Chem. Rev. 2017. V. 346. P. 176.
- Shepherd H.J., Molnár G., Nicolazzi W. et al. // Eur. J. Inorg. Chem. 2013. V. 2013. № 5–6. P. 653.
- Cavallini M. // Phys. Chem. Chem. Phys. 2012. V. 14. № 34. P. 11867.
- Zlobin I.S., Aisin R.R., Novikov V.V. // Russ. J. Coord. Chem. 2022. V. 48. № 1. P. 33.
- Long G.J., Grandjean F., Reger D.L. //. Springer. 2004. P. 91.
- Mahfoud T., Molnár G., Cobo S. et al. // Appl. Phys. Lett. 2011. V. 99. № 5. P. 053307.
- Naggert H., Bannwarth A., Chemnitz S. et al. // Dalton Trans. 2011. V. 40. № 24. P. 6364.
- Aisin R.R., Belov A.S., Belova S.A. et al. // Russ. J. Coord. Chem. 2021. V. 47. № 1. P. 52.
- Niel V., Gaspar A.B., Muñoz M.C. et al. // Inorg. Chem. 2003. V. 42. № 15. P. 4782.
- Aravena D., Ruiz E. // J. Am. Chem. Soc. 2012. V. 134. № 2. P. 777.
- Baadji N., Sanvito S. // Phys. Rev. Lett. 2012. V. 108. № 21. P. 217201.
- Lefter C., Davesne V., Salmon L. et al. // Magnetochemistry. 2016. V. 2. № 1. P. 18.
- Lee K., Park J., Song I., Yoon S.M. // Bull. Korean. Chem. Soc. 2021. V. 42. № 9. P. 1170.
- Dong R., Zhang Z., Tranca D.C. et al. // Nat. Commun. 2018. V. 9. № 1. P. 2637.
- Yang C., Dong R., Wang M. et al. // Nat. Commun. 2019. V. 10. № 1. P. 3260.
- Yoon S.M., Park J.H., Grzybowski B.A. // Ang. Chem. 2017. V. 129. № 1. P. 133.
- Dong R., Zhang T., Feng X. // Chem. Rev. 2018. V. 118. № 13. P. 6189.
- Song X., Liu J., Zhang T., Chen L. // Sci. China Chem. 2020. V. 63. № 10. P. 1391.
- Wang P., Jiang X., Hu J. et al. // Phys. Chem. Chem. Phys. 2020. V. 22. № 19. P. 11045.
- Chakravarty C., Mandal B., Sarkar P.J. // Phys. Chem. C. 2016. V. 120. № 49. P. 28307.
- Mandal B., Sarkar P. // Phys. Chem. Chem. Phys. 2015. V. 17. № 26. P. 17437.
- Song X. et al. // Ang. Chem. Int. Ed. 2020. V. 59. № 3. P. 1118.
- Aulakh D. et al. // J. Am. Chem. Soc. 2015. V. 137. № 29. P. 9254.
- Aulakh D. et al. // Inorg. Chem. 2017. V. 56. № 12. P. 6965.
- Aulakh D. et al. // J. Am. Chem. Soc. 2019. V. 141. № 7. P. 2997.
Supplementary files







