Thin Films of Cobalt(II) Clathrochelate for Molecular Spintronic Devices
- Authors: Zlobin I.S.1,2, Aisin R.R.1,2, Sinel’nikov A.N.1,2, Novikov V.V.1,2, Nelyubina Y.V.1,2
-
Affiliations:
- Nesmeyanov Institute of Organoelement Compounds, Russian Academy of Sciences, Moscow, Russia
- Moscow Institute of Physics and Technology, Dolgoprudny, Moscow oblast, Russia
- Issue: Vol 49, No 2 (2023)
- Pages: 67-72
- Section: Articles
- URL: https://journals.rcsi.science/0132-344X/article/view/137255
- DOI: https://doi.org/10.31857/S0132344X22700153
- EDN: https://elibrary.ru/BNZPDR
- ID: 137255
Cite item
Full Text
Abstract
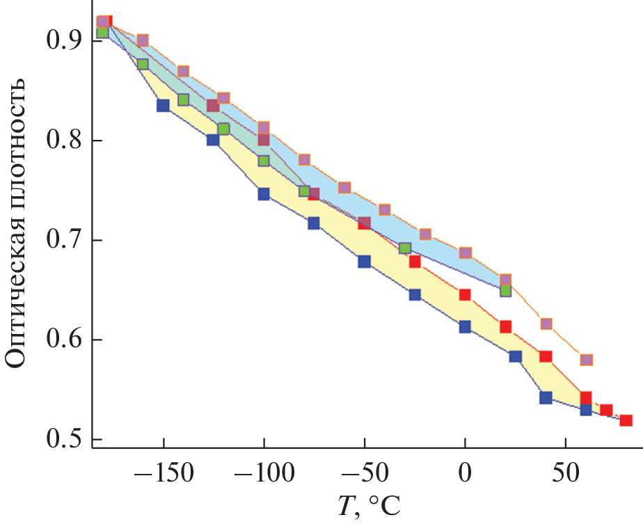
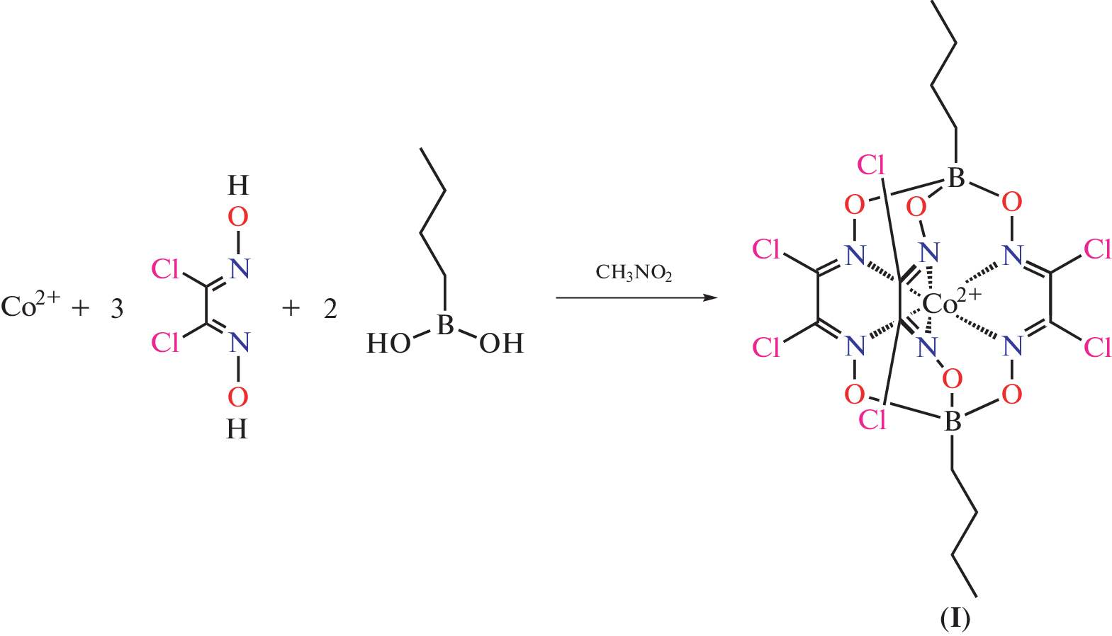
The possibility of preparing thin films of cobalt(II) cage complex (clathrochelate) that undergoes a temperature-induced spin transition by thermal sublimation was demonstrated using UV spectroscopy. The films were more uniform and more thermally stable than the films formed by centrifugation of the solution on a substrate surface. In combination with scanning electron microscopy data, this revealed the dependence of the spin transition temperature on the method of film preparation and dependence of the supramolecular organization in the films on the substrate material, indicating that transition metal clathrochelates show the spinterface effect at the interface with a metal electrode. In addition to the possibility of controlling the magnetic properties of this unique class of coordination compounds by molecular design methods, this effect opens up broad opportunities for creating molecular spintronic devices with characteristics tailored for the researcher requirements.
About the authors
I. S. Zlobin
Nesmeyanov Institute of Organoelement Compounds, Russian Academy of Sciences, Moscow, Russia;Moscow Institute of Physics and Technology, Dolgoprudny, Moscow oblast, Russia
Email: unelya@ineos.ac.ru
Россия, Москва; Россия, Московская область, Долгопрудный,
R. R. Aisin
Nesmeyanov Institute of Organoelement Compounds, Russian Academy of Sciences, Moscow, Russia;Moscow Institute of Physics and Technology, Dolgoprudny, Moscow oblast, Russia
Email: unelya@ineos.ac.ru
Россия, Москва; Россия, Московская область, Долгопрудный,
A. N. Sinel’nikov
Nesmeyanov Institute of Organoelement Compounds, Russian Academy of Sciences, Moscow, Russia;Moscow Institute of Physics and Technology, Dolgoprudny, Moscow oblast, Russia
Email: unelya@ineos.ac.ru
Россия, Москва; Россия, Московская область, Долгопрудный,
V. V. Novikov
Nesmeyanov Institute of Organoelement Compounds, Russian Academy of Sciences, Moscow, Russia;Moscow Institute of Physics and Technology, Dolgoprudny, Moscow oblast, Russia
Email: unelya@ineos.ac.ru
Россия, Москва; Россия, Московская область, Долгопрудный,
Yu. V. Nelyubina
Nesmeyanov Institute of Organoelement Compounds, Russian Academy of Sciences, Moscow, Russia;Moscow Institute of Physics and Technology, Dolgoprudny, Moscow oblast, Russia
Author for correspondence.
Email: unelya@ineos.ac.ru
Россия, Москва; Россия, Московская область, Долгопрудный,
References
- Baibich M.N., Broto J.M., Fert A. et al. // Phys. Rev. Lett. 1988. V. 61. № 21. P. 2472.
- Binasch G., Grünberg P., Saurenbach F. et al. // Phys. Rev. B. 1989. V. 39. № 7. P. 4828.
- Žutić I., Fabian J., Das Sarma S. // Rev. Mod. Phys. 2004. V. 76. № 2. P. 323.
- Wolf S.A., Chtchelkanova A.Y., Treger D.M. // IBM J. Res. Dev. 2006. V. 50. № 1. P. 101.
- Wolf S.A., Awschalom D.D., Buhrman R.A. et al. // Science. 2001. V. 294. № 5546. P. 1488.
- Ney A., Pampuch C., Koch R. et al. // Nature. 2003. V. 425. № 6957. P. 485.
- Dery H., Dalal P., Cywiński Ł., Sham L.J. // Nature. 2007. V. 447. № 7144. P. 573.
- Burkard G., Engel H.A., Loss D. // Fortschr. Phys. 2000. V. 48. № 9–11. P. 965.
- Clemente-Juan J.M., Coronado E., Gaita-Ariñoa A. // Chem. Soc. Rev. 2012. V. 41. № 22. P. 7464.
- Kim Y., Yun J.G., Park S.H. et al. // IEEE Trans. Electron Devices. 2012. V. 59. № 1. P. 35.
- Khvalkovskiy A.V., Apalkov D., Watts S. et al. // J. Phys. D. 2013. V. 46. № 13. P. 074001.
- Rizzo N.D., Houssameddine D., Janesky J. et al. // IEEE Trans. Magn. 2013. V. 49. № 7. P. 4441.
- Bhatti S., Sbiaa R., Hirohata A. et al. // Mater. Today. 2017. V. 20. № 9. P. 530.
- Sanvito S. // Chem. Soc. Rev. 2011. V. 40. № 6. P. 3336.
- Naber W.J.M., Faez S., van der Wiel W.G. // J. Phys. D. 2007. V. 40. № 12. P. 205.
- Devkota J., Geng R., Subedi R.C., Nguyen T.D. // Adv. Funct. Mater. 2016. V. 26. № 22. P. 3881.
- Real J.A., Gaspar A.B., Carmen Muñoz M. // Dalton Trans. 2005. № 12. P. 2062.
- Prieto-Ruiz J.P., Miralles S.G., Prima-García H. et al. // Adv. Mater. 2019. V. 31. № 10. P. 1806817.
- Coronado E. // Nat. Rev. Maters. 2020. V. 5. № 2. P. 87.
- Dediu, V., Murgia, M., Matacotta F.C. et al. // Solid State Commun. 2002. V. 122. № 3–4. P. 181.
- Xiong Z.H., Wu D., Valy Vardeny Z., Shi J. // Nature. 2004. V. 427. № 6977. P. 821.
- Bogani L., Wernsdorfer W. // Nanosci. Technol. 2009. P. 194.
- Cinchetti M., Dediu V.A., Hueso L.E. // Nat. Mater. 2017. V. 16. № 5. P. 507.
- Forment-Aliaga A., Coronado E. // Chem. Rec. 2018. V. 18. № 7. P. 737.
- Delprat S., Galbiati M., Tatay S. et al. // J. Phys. D. 2018. V. 51. № 47.
- Bayliss S.L., Laorenza D.W., Mintun P.J. et al. // Science. 2020. V. 370. № 6522. P. 1309.
- Sanvito S. // Nature Phys. 2010. V. 6. № 8. P. 562.
- Galb M., Tatay S., Barraud C. et al. // MRS Bull. 2014. V. 39. № 7. P. 602.
- Bergenti I., Dediu V. // Nano Mater. Sci. 2019. V. 1. № 3. P. 149.
- Yamada R., Noguchi M., Tada H. // Appl. Phys. Lett. 2011. V. 98. № 5. P. 053110.
- Lefter C., Davesne V., Salmon L. et al. // Magnetochemistry. 2016. V. 2. № 1. P. 18.
- Senthil Kumar K., Ruben M. // Coord. Chem. Rev. 2017. V. 346. P. 176.
- Christou G., Gatteschi D., Hendrickson D.N. et al. // MRS Bull. 2000. V. 25. № 11. P. 66.
- Candini A., Klyatskaya S., Ruben M. et al. // Nano Lett. 2011. V. 11. № 7. P. 2634.
- Urdampilleta M., Nguyen N.V., Cleuziou J.P. et al. // Int. J. Mol. Sci. 2011. V. 12. № 10. P. 6656.
- Aravena D., Ruiz E. // J. Am. Chem. Soc. 2012. V. 134. № 2. P. 777.
- Baadji N., Sanvito S. // Phys. Rev. Lett. 2012. V. 108. № 21. P. 217201.
- Ding S., Tian Y., Hu W. // Nano Res. 2021. V. 14. № 11. P. 3653.
- Kipgen L., Bernien M., Tuczek F., Kuch W. // Adv. Mater. 2021. V. 33. № 24. P. 2008141.
- Wang K., Yang Q., Duan J. et al. // Adv. Mater. Interfaces. 2019. V. 6. № 19. P. 1.
- Bedoya-Pinto A., Miralles S.G., Vélez S. et al. // Adv. Funct. Mater. 2018. V. 28. № 16. P. 1.
- Long G.J., Grandjean F., Reger D.L. // Spin Crossover in Pyrazolylborate and Pyrazolylmethane Complexes. Berlin, Heidelberg: Springer, 2004. P. 91.
- Naggert H., Bannwarth A., Chemnitz S. et al. // Dalton Trans. 2011. V. 40. № 24. P. 6364.
- Mahfoud T., Molnár G., Cobo S. et al. // Appl. Phys. Lett. 2011. V. 99. № 5. P. 053307.
- Voloshin Y.Z., Kostromina N.A., Krämer R.K. Clathrochelates: Synthesis, Structure and Properties. Elsevier Lt., 2002.
- Novikov V.V., Ananyev I.V., Pavlov A.A. et al. // J. Phys. Chem. Lett. 2014. V. 5. № 3. P. 496.
- Novikov V.V., Pavlov A.A., Nelyubina Y.V. et al. // J. Am. Chem. Soc. 2015. V. 137. № 31. P. 9792.
- Nehrkorn J., Veber S.L., Zhukas L.A. et al. // Inorg. Chem. 2018. V. 57. № 24. P. 15330.
- Aleshin D.Y., Pavlov A.A., Belova S.A. et al. // Russ. J. Inorg. Chem. 2019. V. 64. № 12. P. 1532.
- Pavlov A.A., Nelyubina Y.V., Kats S.V. et al. // J. Phys. Chem. Lett. 2016. V. 7. № 20. P. 4111.
- Voloshin Y.Z., Belov A.S., Vologzhanina A.V. et al. // Dalton Trans. 2012. V. 41. № 20. P. 6078.
- Voloshin Y.Z., Varzatskii O.A., Novikov V.V. et al. // Eur. J. Inorg. Chem. 2010. V. 2010. № 34. P. 5401.
- Aisin R.R., Belov A.S., Belova S.A. et al. // Russ. J. Coord. Chem. 2021. V. 47. № 1. P. 52.
- Molnár G., Rat S., Salmon L. et al. // Adv. Mater. 2018. V. 30. № 5. P. 1703862.
- Halcrow M.A. // Chem. Lett. 2014. V. 43. № 8. P. 1178.
- Bousseksou A., Molnár G. // Compt. Rend. Chim. 2003. V. 6. № 8. P. 1175.
Supplementary files






