Interindividual Similarity of the Spatial Organization of the EEG: an Ontogenetic Study
- Authors: Panasevich Е.А.1, Tsitseroshin M.N.1
-
Affiliations:
- Sechenov Institute of Evolutionary Physiology and Biochemistry, RAS
- Issue: Vol 50, No 4 (2024)
- Pages: 3-21
- Section: Articles
- URL: https://journals.rcsi.science/0131-1646/article/view/268049
- DOI: https://doi.org/10.31857/S0131164624040019
- EDN: https://elibrary.ru/BTPCFO
- ID: 268049
Cite item
Full Text
Abstract
In this study took part 39 adult subjects, 28 children 12 years old, 21 children 8–9 years old, 26 children 5–6 years old and 19 newborns. In each age group, the coefficient of interindividual similarity (CIS) of the spatial organisation of the electroencephalogram (EEG) was calculated using Pearson's crosscorrelation algorithm. Results reveal high level of interindividual similarity of spatial structure of EEG distant connections. Both in adults and children CIS exceeded 0.80. In women, compared with men, a significantly higher level of interindividual similarity of the spatial organization of the EEG was revealed for all studied combinations of EEG connections. The obtained data shows that relative stability in ontogenesis of the spatial structure of dynamic activity of the cortex is apparently provided mainly through determined by a genotype distant intra- and interhemispheric interconnections that forming certain morfofunctional “skeleton” of neocortex. The functionally specific interactions realizable across more plastic “local chains” of near intercortical interrelations are carried out on basis of the dynamic activity of the brain hemispheres that ordered by means of such “global” interactions. Such system organization of intercortical interactions can provide both safety of individual properties of personality and the ability of the brain to effectively adapt to various influences of environment at phenotype formation in ontogenesis.
Full Text
На основе анализа морфологических данных V. Braitenberg [1] показал, что связи между различными областями коры обеспечиваются двумя разновидностями волоконных систем: короткими – в пределах серого вещества – и длинными, которые обеспечиваются аксонамии и формируют морфофункциональный каркас неокортекса. P.L. Nunez перекинул концептуальный мостик между результатами морфологических исследований V. Braitenberg и сведениями о закономерностях пространственного распределения когерентности биопотенциалов [2, 3]. В его работах определялись различные роли локальных и глобальных взаимосвязей («global versus local») кортикальных полей в генерации электроэнцефалограммы (ЭЭГ) человека. Затем вопросы пространственно-временной организации α-активности на основе сочетанного действия длинных и коротких кортикальных взаимосвязей были подробно исследованы R.W. Thatcher et al. [4–7]. Они разработали модель пространственной организации ритмической активности мозга, в основе которой лежат принципиально различные механизмы дистантного и локального взаимодействия биоэлектрической активности кортикальных полей. В наших работах была показана гетерохронность формирования в онтогенезе человека длинных и коротких систем функциональных связей и их различия в обеспечении тех или иных сторон интегративной деятельности мозга [8–10], а также высказано предположение о возможной генетической детерминации организации длинных продольных и поперечных волоконных систем конечного мозга и преимущественном влиянии внешней среды на развитие коротких межкортикальных связей. Это предположение получило подтверждение в дальнейших наших исследованиях, проведенных совместно с сотрудниками Института физиологии имени И.П. Павлова РАН (г. Санкт-Петербург) с использованием близнецового метода [11, 12], где была показана высокая генотипическая обусловленность становления длинных межкортикальных связей в отличие от относительно коротких, развитие которых, согласно этим данным, в большей степени зависит от влияния факторов внешней среды. Подобные результаты были получены ранее и в работе [13].
Таким образом, целесообразно объединить рассмотрение двух фундаментальных проблем нейрофизиологии и психогенетики – связать вопросы об особенностях формирования в онтогенезе «глобальных» и «локальных» волоконных путей конечного мозга с вопросами о преобладающей роли в их развитии генетической детерминации или преимущественного влияния окружающей среды. Речь идет о концептуальном синтезе двух наиболее известных в биологических науках дихотомий – «global versus local» и «nature versus nurture» – в рамках учения о развитии человеческого мозга. Если в основании первой («global versus local») в нейрофизиологии лежат работы V. Braitenberg и P.L. Nunez, то приоритет в формулировке второй («nature versus nurture») принадлежит знаменитому английскому естествоиспытателю XIX в. F. Galton [14–16]. Необходимо подчеркнуть, что при попытке концептуального синтеза этих проблем особое значение следует придавать экспериментальным данным, свидетельствующим о морфофункциональном строении мозга человека с точки зрения именно общевидовых, а не индивидуальных особенностей изучаемых признаков. Следует обратить внимание на то, что большинство современных исследований влияния наследственных факторов на нейрофизиологическую организацию мозга человека, в особенности исследования с использованием близнецового метода, в основном были направлены на изучение степени генетической обусловленности индивидуальной изменчивости изучаемых признаков. Проблема генетической детерминации общевидовых признаков, типичных для мозга человека как вида Homo sapiens sapiens, не только в значительно меньшей мере подвергалась систематическому изучению [17, 18], но даже и методология такого исследования крайне мало разработана [19]. Исходя из этих положений, в настоящем исследовании была предпринята попытка приблизиться к ответу на вопрос об оценке степени генетической детерминации формирования в онтогенезе человека различных по протяженности волоконных систем конечного мозга. Решение этой задачи осуществлялось с помощью анализа оценок межиндивидуального сходства пространственной структуры биопотенциалов мозга, регистрируемых в различных комбинациях дистантных связей многоканальной ЭЭГ у взрослых и у детей, начиная с периода новорожденности.
Методика
В исследовании принимали участие 108 испытуемых: 38 взрослых (от 18 лет до 41 года) и 70 детей. Из них были сформированы четыре возрастные группы: взрослые (15 мужчин и 23 женщины, средний возраст 25 и 26 лет соответственно), дети 12 лет (14 мальчиков и 14 девочек), дети 8–9 лет (17 мальчиков и 11 девочек), дети 5–6 лет (12 мальчиков и 14 девочек) и 16 новорожденных в возрасте до 1 мес. (9 мальчиков и 7 девочек). Все взрослые испытуемые и дети 5–6, 8–9 и 12 лет были правшами (по методике М. Аннет, модифицированный вариант по Л.И. Вассерману).
Регистрацию ЭЭГ осуществляли на 24-канальном компьютерном электроэнцефалографе (полоса пропускания – 0.5–30 Гц, 185 Гц – частота квантования, монополярно, от 20 отведений). Объединенные электроды на мочках ушей использовали в качестве референта. 16 электродов из 20 располагали по международной схеме 10–20 симметрично в переднелобных (Fp1, Fp2), заднелобных (F3, F4), нижнелобных (F7, F8), центральных (C3, C4), средневисочных (T3, T4), задневисочных (T5, T6), теменных (Р3, Р4) и затылочных областях (O1, O2). 4 электрода устанавливали дополнительно – по два в передневисочных областях (T1, T2), и в зонах ТРО обоих полушарий, т.е. в зонах перекрытия височной, теменной и затылочной областей (TР1, TР2). Для новорожденных использовали 12-канальную схему отведений ЭЭГ, с расположением электродов по международной схеме 10–20 симметрично в переднелобных (Fp1, Fp2), нижнелобных (F7, F8), центральных (C3, C4), задневисочных (T5, T6), теменных (Р3, Р4) и затылочных областях (O1, O2). Во время регистрации ЭЭГ (от 3–4 до 10 мин) испытуемые лежали на спине с закрытыми глазами в специально оборудованной камере (затемнение и звукоизоляция). Новорожденные находились на руках матерей. На протяжении всего времени обследования для своевременного обнаружения и устранения возможных артефактов за записью ЭЭГ на экране монитора непрерывно следил опытный экспериментатор-энцефалографист.
Далее в последовательных эпохах анализа (по 4 с), не содержащих артефактов, вычисляли матрицы коэффициентов кросскорреляции (КК) между ЭЭГ от всех отведений попарно (размерность матриц у взрослых, подростков 12 лет и у детей 8–9 и 5–6 лет – 20 × 20, у новорожденных – 12 × 12). В каждой записи обрабатывали от 30 до 90 эпох анализа (в среднем около 60), так как длительность анализируемых периодов ЭЭГ составляла от 2 до 6 мин. Для выявления статистически однородных участков ЭЭГ в пределах исследуемого состояния спокойного бодрствования с закрытыми глазами (у новорожденных глаза могли быть открытыми) с помощью иерархического агломеративного кластерного анализа проводили сопоставление статистического сходства между матрицами кросскорреляционных связей ЭЭГ, соответствующих всем 4-секундным эпохам анализа в данном наблюдении. Те матрицы КК ЭЭГ, которые по статистическим характеристикам значимо отличались от общей группы матриц (обычно не более 2–7 матриц, и не у каждого испытуемого), исключали из дальнейшего анализа, не вызывая значительного изменения среднего количества матриц для одного испытуемого (около 60). Таким образом исключали кратковременные периоды изменений функционального состояния. Процедуру иерархического агломеративного кластерного анализа проводили с помощью созданных в лаборатории оригинальных программ, она подробно описана в работе [8].
Затем поэлементные значения кросскорреляционных матриц многоканальной ЭЭГ, зарегистрированной у каждого из испытуемых, усредняли (с применением z-преобразования Фишера) по всем отобранным эпохам анализа ЭЭГ, вычисляя средние значения и дисперсии КК ЭЭГ.
В каждой из возрастных групп, отдельно для лиц мужского и женского пола производили вычисление коэффициентов межиндивидуального сходства (далее – КМС) пространственной структуры величин КК ЭЭГ, оцениваемых как для всей совокупности дистантных взаимосвязей биопотенциалов мозга (при использовании 20 отведений – 190 КК ЭЭГ, при 12 – 66КК), так и для различных комбинаций связей ЭЭГ (см. схемы комбинаций на рис. 1 – «основные» – и рис. 4 – «дополнительные»). Подробнее с методикой вычисления КМС можно ознакомиться в работах, выполненных с участием нашей лаборатории [11, 12], в том числе с исследованием КМС в группах моно- и дизиготных близнецов, а также неродственных пар испытуемых. В настоящей работе коэффициент межиндивидуального сходства вычисляли по алгоритму кросскорреляции Пирсона между матрицами кросскорреляции попарно (190 значений для комбинации «Все» – полная матрица, выборочные значения матрицы – 10 значений для комбинации «Мс», 90 для комбинации «Мк» и т.д.) для всех испытуемых в группе (например, девочки 12 лет или мальчики 5–6 лет), а затем усредняли по группе с вычислением среднеквадратичных отклонений и дисперсии. Интервалы достоверности полученных средних значений КМС в каждой возрастной группе лиц мужского и женского пола оценивали по t-критерию Стьюдента с применением z-преобразования Фишера, при p = 0.05. В группе мужчин (n = 15) средние значения КМС были получены при усреднении 105 значений межиндивидуальных корреляций, вычисляемых для выделенных пространственных структур попарно для всех мужчин в группе, у женщин в группе из 23 чел. – при усреднении 253 значений попарных кросскорреляций. Количество усредняемых значений рассчитывали по формуле:
n × (n – 1)/ 2. (1)
Рис. 1. Межиндивидуальное сходство пространственной организации ЭЭГ у мужчин и женщин (половые различия). А – средние величины коэффициентов межиндивидуального сходства 11 выделенных пространственных структур дистантных взаимосвязей ЭЭГ в группе мужчин (серые столбики) и в группе женщин (белые столбики) в основных комбинациях связей ЭЭГ. По вертикали – средние значения оценок межиндивидуальной корреляции R, анализируемые в группе из 15 мужчин по 105 внутрипарным корреляциям, а в группе из 23 женщин – по 253 корреляциям; по горизонтали – обозначения комбинаций связей ЭЭГ. Доверительные интервалы оценивались по t-критерию Стьюдента с применением z-преобразования Фишера, при p = 0.05. Б – схемы 11 выделенных комбинаций межрегиональных связей ЭЭГ (обозначения в тексте методики). В – половые различия в степени межиндивидуального сходства 11 пространственных структур дистантных взаимосвязей ЭЭГ, оцениваемых в группах мужчин (n = 15) и женщин (n = 23), по вертикали – средние значения межиндивидуальной корреляции R.
У детей 12 лет в группах мальчиков (n = 14) и девочек (n = 14) при усреднении 91 значений межиндивидуальных попарных корреляций в каждой группе. У детей 8–9 лет в группах мальчиков (n = 17) и девочек (n = 11) при усреднении 136 и 55 значений межиндивидуальных попарных корреляций соответственно. У детей 5–6 лет – при усреднении 66 и 91 значений КМС в группах мальчиков (n = 12) и девочек (n = 14). В группе новорожденных средние значения КМС были получены у мальчиков (n = 9) и у девочек (n = 7) при усреднении 36 и 21 значений КМС соответственно. Таким образом, в исследуемых возрастных группах средние значения оценок межиндивидуального сходства пространственной организации ЭЭГ (R), формировали с помощью усреднения значений КМС среди испытуемых одного пола в пределах каждой из возрастных групп. Для всех полученных средних значений R вычисляли интервалы достоверности (при p = 0.05) с использованием z-преобразования Фишера (табл. 1). Комбинаций связей ЭЭГ, по которым оценивали уровень КМС в каждой возрастной группе (отдельно у лиц разного пола – т.е. в восьми группах), было 17–11 основных и 6 дополнительных (схемы комбинаций приведены на рис. 1 и рис. 4).
Таблица 1. Значения коэффициентов межиндивидуального сходства пространственных структур дистантных взаимосвязей электроэнцефалограммы (ЭЭГ), оцениваемые по 11 основным и 6 дополнительным комбинациям связей ЭЭГ в группах лиц мужского пола и лиц женского пола разного возраста (у взрослых, детей 12 лет, 5–6 лет и у новорожденных)
| Комбинации связей | Взрослые | Дети 12 лет | Дети 8–9 лет | Дети 5–6 лет | Новорожденные | |||||||||||||||
| Мужчины | Женщины | Мальчики | Девочки | Мальчики | Девочки | Мальчики | Девочки | Мальчики | Девочки | |||||||||||
| Сред. | Довер. | Сред. | Довер. | Сред. | Довер. | Сред. | Довер. | Сред. | Довер. | Сред. | Довер | Сред. | Довер. | Сред. | Довер. | Сред. | Довер. | Сред | Довер. | |
| знач. | интер- | знач | интер- | знач. | интер- | знач. | интер- | знач. | интер- | знач. | интер- | знач. | интер- | знач. | интер- | знач. | интер- | знач. | интер- | |
| вал | вал | вал | вал | вал | вал | вал | вал | вал | вал | |||||||||||
| Все | 0.84 | +0.014 | 0.88 | +0.002 | 0.87 | +0.002 | 0.89 | +0.001 | 0.89 | +0.003 | 0.88 | +0.002 | 0.89 | +0.003 | 0.91 | +0.002 | 0.84 | +0.003 | 0.84 | +0.007 |
| −0.015 | −0.002 | −0.002 | −0.002 | −0.003 | −0.002 | −0.003 | −0.002 | −0.003 | −0.008 | |||||||||||
| Мс | 0.91 | +0.014 | 0.97 | +0.001 | 0.90 | +0.005 | 0.94 | +0.003 | 0.95 | +0.002 | 0.95 | +0.003 | 0.96 | +0.003 | 0.96 | +0.001 | 0.92 | +0.014 | 0.89 | +0.020 |
| −0.017 | −0.001 | −0.005 | −0.004 | −0.002 | −0.003 | −0.003 | −0.002 | −0.018 | −0.024 | |||||||||||
| Мк | 0.79 | +0.019 | 0.85 | +0.003 | 0.80 | +0.004 | 0.84 | +0.003 | 0.86 | +0.003 | 0.83 | +0.004 | 0.85 | +0.003 | 0.87 | +0.003 | 0.81 | +0.005 | 0.84 | +0.008 |
| 0.021 | −0.003 | −0.004 | −0.003 | −0.003 | −0.004 | −0.003 | −0.003 | −0.005 | −0.009 | |||||||||||
| Бл | 0.43 | +0.039 | 0.65 | +0.005 | 0.51 | +0.006 | 0.56 | +0.006 | 0.61 | +0.009 | 0.62 | +0.009 | 0.72 | +0.008 | 0.71 | +0.005 | 0.58 | +0.013 | 0.55 | +0.037 |
| −0.041 | −0.005 | −0.006 | −0.006 | −0.009 | −0.009 | −0.009 | −0.005 | −0.014 | −0.039 | |||||||||||
| Дл | 0.75 | +0.022 | 0.77 | +0.004 | 0.77 | +0.004 | 0.79 | +0.007 | 0.78 | +0.007 | 0.73 | +0.009 | 0.79 | +0.007 | 0.81 | +0.006 | 0.81 | +0.009 | 0.68 | +0.032 |
| −0.024 | −0.004 | −0.004 | −0.007 | −0.007 | −0.010 | −0.007 | −0.007 | −0.010 | −0.035 | |||||||||||
| Лп+Пп | 0.85 | +0.003 | 0.85 | +0.002 | 0.85 | +0.002 | 0.87 | +0.003 | 0.85 | +0.006 | 0.84 | +0.004 | 0.86 | +0.003 | 0.88 | +0.003 | 0.81 | +0.005 | 0.78 | +0.012 |
| −0.000 | −0.003 | −0.002 | −0.003 | −0.006 | −0.004 | −0.004 | −0.003 | −0.006 | −0.013 | |||||||||||
| Лв | 0.85 | +0.014 | 0.87 | +0.003 | 0.90 | +0.003 | 0.91 | +0.002 | 0.90 | +0.003 | 0.90 | +0.003 | 0.92 | +0.003 | 0.93 | +0.002 | 0.86 | +0.007 | 0.82 | +0.010 |
| −0.016 | −0.003 | −0.003 | −0.002 | −0.004 | −0.003 | −0.003 | −0.002 | −0.007 | −0.011 | |||||||||||
| Пв | 0.82 | +0.018 | 0.87 | +0.003 | 0.89 | +0.003 | 0.89 | +0.004 | 0.88 | +0.004 | 0.87 | +0.005 | 0.91 | +0.003 | 0.92 | +0.002 | 0.80 | +0.009 | 0.86 | +0.009 |
| −0.020 | −0.003 | −0.003 | −0.004 | −0.004 | −0.005 | −0.003 | −0.002 | −0.009 | −0.009 | |||||||||||
| Фр | 0.89 | +0.015 | 0.94 | +0.002 | 0.86 | +0.006 | 0.93 | +0.004 | 0.95 | +0.003 | 0.95 | +0.003 | 0.93 | +0.003 | 0.94 | +0.002 | 0.86 | +0.006 | 0.86 | +0.009 |
| −0.018 | −0.002 | −0.006 | −0.004 | −0.003 | −0.003 | −0.004 | −0.002 | −0.006 | −0.010 | |||||||||||
| Цн | 0.80 | +0.021 | 0.91 | +0.002 | 0.89 | +0.003 | 0.91 | +0.001 | 0.89 | +0.002 | 0.89 | +0.002 | 0.89 | +0.005 | 0.93 | +0.002 | 0.82 | +0.007 | 0.80 | +0.013 |
| −0.024 | −0.002 | −0.003 | −0.001 | −0.002 | −0.002 | −0.006 | −0.002 | −0.007 | −0.014 | |||||||||||
| Окц | 0.88 | +0.012 | 0.91 | +0.002 | 0.88 | +0.003 | 0.91 | +0.002 | 0.89 | +0.005 | 0.88 | +0.004 | 0.87 | +0.004 | 0.91 | +0.003 | 0.77 | +0.023 | 0.76 | +0.016 |
| −0.013 | −0.003 | -0.003 | −0.003 | −0.005 | −0.004 | -0.004 | −0.003 | −0.025 | −0.017 | |||||||||||
| Данные с учетом «гемисферного» принципа | ||||||||||||||||||||
| Лп | 0.87 | +0.011 | 0.87 | +0.002 | 0.88 | +0.003 | 0.91 | +0.002 | 0.88 | +0.006 | 0.88 | +0.004 | 0.90 | +0.002 | 0.91 | +0.002 | 0.87 | +0.005 | 0.83 | +0.009 |
| −0.012 | −0.003 | −0.004 | −0.002 | −0.006 | −0.004 | −0.002 | −0.002 | −0.006 | −0.009 | |||||||||||
| Пп | 0.87 | +0.013 | 0.87 | +0.003 | 0.87 | +0.002 | 0.89 | +0.004 | 0.86 | +0.006 | 0.87 | +0.004 | 0.88 | +0.003 | 0.89 | +0.003 | 0.81 | +0.010 | 0.87 | +0.004 |
| −0.015 | −0.003 | −0.002 | −0.004 | −0.006 | −0.004 | −0.003 | −0.003 | −0.011 | −0.004 | |||||||||||
| Дл_Л | 0.81 | +0.006 | 0.82 | +0.005 | 0.82 | +0.007 | 0.87 | +0.005 | 0.85 | +0.008 | 0.81 | +0.007 | 0.86 | +0.004 | 0.88 | +0.004 | 0.83 | +0.024 | 0.84 | +0.019 |
| −0.006 | −0.005 | −0.007 | −0.005 | −0.008 | −0.007 | −0.004 | −0.004 | −0.028 | −0.021 | |||||||||||
| Дл_П | 0.77 | +0.008 | 0.81 | +0.004 | 0.83 | +0.004 | 0.84 | +0.006 | 0.81 | +0.008 | 0.80 | +0.008 | 0.82 | +0.005 | 0.83 | +0.006 | 0.91 | +0.007 | 0.86 | +0.009 |
| −0.009 | −0.005 | −0.005 | −0.006 | −0.008 | −0.008 | −0.005 | −0.006 | −0.008 | −0.009 | |||||||||||
| Бл_Л | 0.46 | +0.011 | 0.70 | +0.008 | 0.62 | +0.007 | 0.67 | +0.007 | 0.66 | +0.012 | 0.69 | +0.010 | 0.81 | +0.007 | 0.79 | +0.005 | 0.69 | +0.017 | 0.62 | +0.028 |
| −0.011 | −0.009 | −0.007 | −0.008 | −0.013 | −0.010 | −0.008 | −0.005 | −0.018 | −0.032 | |||||||||||
| Бл_П | 0.49 | +0.014 | 0.67 | +0.005 | 0.49 | +0.012 | 0.56 | +0.009 | 0.63 | +0.009 | 0.64 | +0.013 | 0.71 | +0.009 | 0.72 | +0.006 | 0.58 | +0.023 | 0.70 | +0.014 |
| −0.014 | −0.005 | −0.012 | −0.009 | −0.009 | −0.013 | −0.010 | −0.006 | −0.024 | −0.015 | |||||||||||
Примечание: интервалы достоверности полученных средних значений КМС оценивали по t-критерию Стьюдента с применением z-преобразования Фишера, при p = 0.05. Обозначения комбинаций связей ЭЭГ см. в разделе Методика.
Комбинация связей ЭЭГ, названная условно «Все» (что значит – все связи), была сформирована из полной матрицы корреляций ЭЭГ (размерностью 20 × 20 – 190 значений, 12 × 12 – 66 значений). К «выборочным» основным комбинациям относятся:
«Мс» – межполушарные связи ЭЭГ между билатерально симметричными областями коры (например, Fp1–Fp2, C3–C4 и т.д.) – всего 10 связей при использовании 20 отведений, 6 – при 12;
«Мк» – межполушарные «косые» связи;
«Бл» – «ближние связи» – дистантные связи ЭЭГ, оцениваемые для рядом находящихся отведений в каждом из полушарий;
«Дл» – «длинные связи» – внутриполушарные связи ЭЭГ дистантно удаленных зон коры в обоих полушариях, т.е. связи через одно и более отведений в каждом из полушарий;
«Лп+Пп» – все внутриполушарные связи ЭЭГ в пределах левого и правого полушарий;
«Лв» – «левые височные» – связи ЭЭГ височных отделов левого полушария с ЭЭГ от других отведений обоих полушарий (за исключением височных отделов правого полушария);
«Пв» – «правые височные» – связи ЭЭГ височных отделов правого полушария с ЭЭГ от других отведений обоих полушарий (за исключением височных отделов левого полушария);
«Фр» – «фронтальные» – межполушарные связи биопотенциалов и относительно короткие внутриполушарные связи ЭЭГ в пределах фронтальных отделов коры обоих полушарий;
«Цн» – «центральные»– межполушарные связи биопотенциалов и относительно короткие внутриполушарные связи ЭЭГ в пределах центрально-теменных отделов коры обоих полушарий;
«Окц» – «окципитальные – межполушарные и относительно короткие внутриполушарные связи биопотенциалов в затылочных областях обоих полушарий.
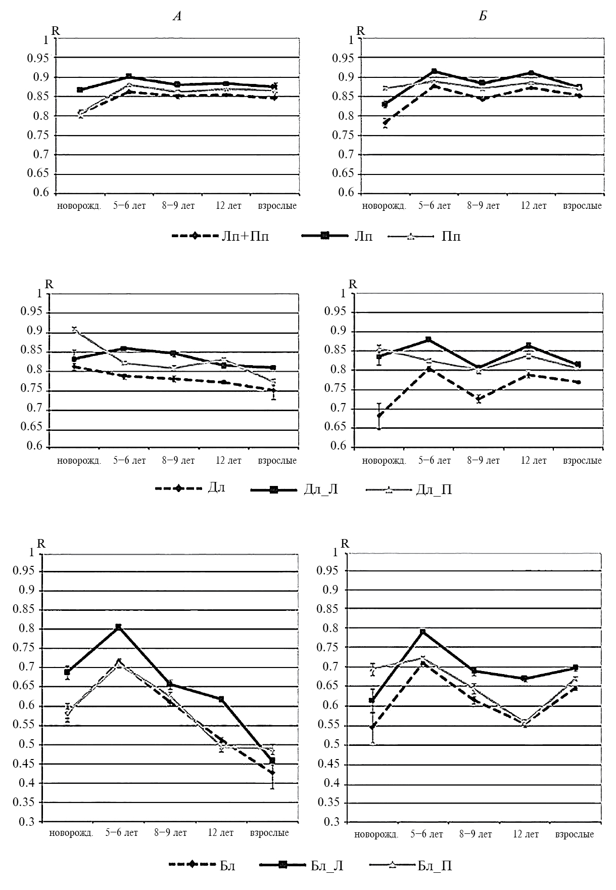
Дополнительно исследовали межиндивидуальное сходство в следующих шести комбинациях связей ЭЭГ: «Лп», «Пп», «Дл_Л», «Дл_П», «Бл_Л», «Бл_П» (схема на рис. 4). Эти комбинации были получены разделением по полушариям описанных ранее комбинаций «Лп+Пп», «Дл» и «Бл» (рис. 1).
Результаты исследования
Наиболее важным результатом настоящего исследования стало выявление высокого уровня межиндивидуального сходства пространственной организации ЭЭГ во всех обследованных группах – у детей и у взрослых. По всем выделенным комбинациям связей биопотенциалов мозга (кроме комбинации «Бл» – ближних связей ЭЭГ) коэффициенты сходства в группах взрослых испытуемых достигали высоких величин, превышая значения 0.75–0.80 (рис. 1, табл. 1, Взрослые, Мужчины и Женщины). Отличия от нуля значений КМС были значимыми с высокой степенью статистической достоверности – при p ≤ 0.01. Самый высокий уровень КМС был выявлен для комбинации связей «Мс» (межполушарные связи ЭЭГ между симметричными областями полушарий) в группе женщин – 0.97, в группе мужчин – 0.91 (рис. 1, А, Б). Для понимания различной роли в организации системной деятельности мозга межкорковых и корково-подкорковых интегративных систем, осуществляющих разные способы межполушарного взаимодействия, немаловажным следует считать выявляющиеся значительные и достоверные отличия коэффициентов межиндивидуального сходства, оцениваемых в отдельности для комбинаций «прямых» («Мс») и «диагональных» гетеротопических («Мк») связей ЭЭГ-полушарий. В последнем случае КМС оказывались значительно ниже (в группе мужчин – 0.79, в группе женщин – 0.85, табл. 1).
Высокими значениями КМС, превышающими в группе женщин уровень 0.90, характеризовались также комбинации дистантных связей биопотенциалов, выделенных в пределах передних и задних отделов обоих полушарий мозга. Это – комбинации связей ЭЭГ фронтальных отделов «Фр» (с КМС у мужчин – 0.89, а у женщин – 0.94) и окципитальных отделов «Окц» (с КМС = 0.88, 0.91 соответственно). Также высоким уровнем межиндивидуального сходства отличалась и комбинация связей ЭЭГ, выделенных в пределах центрально-теменных отделов обоих полушарий, – «Цн» (у мужчин КМС – 0.80, у женщин – 0.91). Существенно, что все эти три комбинации включали как межполушарные связи ЭЭГ соответствующих им билатерально-симметричных отделов коры, так и относительно короткие и длинные внутриполушарные связи ЭЭГ.
Наименьшие значения межиндивидуального сходства были характерны для комбинации «Бл» (КМС = 0.43 у мужчин и 0.65 у женщин), это комбинация ближних внутриполушарных связей ЭЭГ, оценки коэффициентов межиндивидуального сходства для которой производили совместно для обоих полушарий. В свою очередь, относительно небольшими значениями коэффициентов межиндивидуального сходства отличалась комбинация длинных внутриполушарных связей ЭЭГ – комбинация «Дл», т.е. связей, оцениваемых в каждом из полушарий через один и более электрод. Эти оценки, хотя и превышали уровень 0.70–0.75 у мужчин и 0.78 у женщин, но оказывались также ниже КМС, характерных для остальных комбинаций связей ЭЭГ (рис. 1). Очевидно, относительно невысокие значения коэффициентов межиндивидуального сходства пространственной структуры межрегиональных связей биопотенциалов для этих двух комбинаций связей ЭЭГ («Бл» и «Дл») указывают на повышенную вариабельность у разных индивидуумов пространственной организации биопотенциалов, опосредуемых в обоих полушариях мозга через морфофункциональные системы, лежащие в основе обеспечения дистантного взаимодействия активности зон коры в пределах каждого из полушарий, как достаточно удаленных, так и в особой мере – ближних межкортикальных взаимодействий.
К наиболее интересным результатам нашего исследования можно отнести выявление ярких половых различий уровня межидивидуального сходства пространственной организации ЭЭГ. У взрослых испытуемых для всех комбинаций связей КМС устойчиво и достоверно был выше у женщин (рис. 1). Наибольшие различия у лиц разного пола оказались характерны для комбинации ближних связей ЭЭГ «Бл», со значениями КМС в группе мужчин 0.43+0.04-0.04, а в группе женщин – 0.65+0.01-0.01 (табл. 1). Разность этих величин составляет 0.22, что, как видно из рис. 1, В, является максимальным различием значений КМС среди всех комбинаций связей ЭЭГ, оцениваемых в группах мужчин и женщин. Также довольно высокий уровень половых различий (0.12) наблюдался для комбинации «Цн» (межполушарные и внутриполушарные связи ЭЭГ в пределах центрально-теменных отделов полушарий). Менее выраженными, но достоверными различиями значений КМС у лиц разного пола выделялись обе комбинации межполушарных связей ЭЭГ – «Мс» и «Мк» (рис. 1). Обе эти комбинации (включающие в отдельности межполушарные связи ЭЭГ между билатерально-симметричными и несимметричными отделами коры) также отличаются достоверным превышением значений КМС у женщин.
В комбинациях дистантных связей ЭЭГ височных отделов левого «Лв» и правого «Пв» полушарий КМС также был достоверно выше у женщин. При этом выявился интересный аспект половых различий — в группе женщин значение КМС, как для связей ЭЭГ височных отделов левого полушария «Лв», так и правого «Пв», было одинаковым — 0.88+0.01-0.01, в то время как в группе мужчин наблюдались значимые полушарные отличия этого показателя за счет достоверно более низких значений КМС для «Пв» — 0.82+0.02-0.02, при 0.85+0.01-0.02 для «Лв».
Особый интерес представляет изучение особенностей межиндивидуального сходства пространственной организации ЭЭГ в онтогенезе. В обследованных нами четырех группах детей был выявлен высокий уровень КМС – у детей 5-6, 8-9 и 12 лет он превышал уровень 0.8, а по многим комбинациям и достигал уровня 0.9 (рис. 2, табл. 1). У детей младшей из обследованных возрастной группы (от рождения до одного месяца) КМС для большинства комбинаций превышал уровень 0.7, часто достигая уровня 0.8, а для комбинации «Мс» превышая 0.9. Важно отметить, что во всех возрастных группах уровень КМС для комбинации межполушарных связей между билатерально симметричными областями коры был максимальным среди всех комбинаций связей ЭЭГ (рис. 1 и 2, табл. 1). Минимальный уровень КМС был характерен для комбинации «Бл» (короткие внутриполушарные связи) – и это также прослеживалось во всех четырех возрастных группах (на самом деле – в восьми группах, так как КМС в каждой возрастной группе вычислялись отдельно для лиц мужского и женского пола). Постоянство этих соотношений обуславливает сходство профилей КМС для различных комбинаций связей ЭЭГ в группах испытуемых разных возрастов.
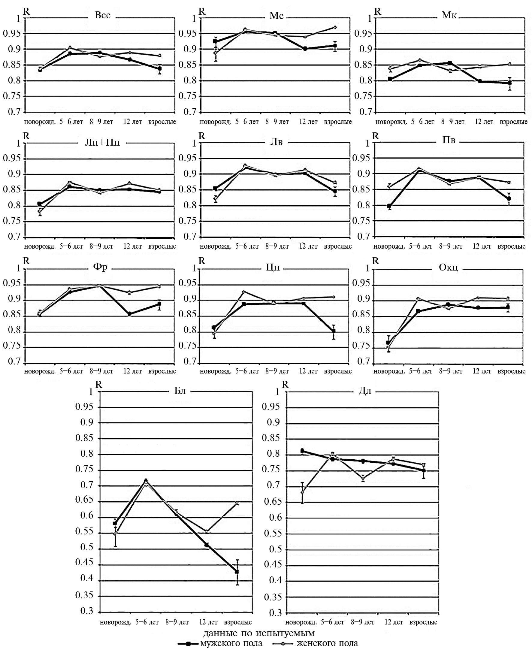
Рис. 2. Средние величины коэффициентов межиндивидуального сходства пространственных структур дистантных взаимосвязей ЭЭГ в группах мальчиков (серые столбики) и в группах девочек (белые столбики) разного возраста, оцениваемые в 11 выделенных комбинациях связей ЭЭГ. Доверительные интервалы оценивались по t-критерию Стьюдента с применением z-преобразования Фишера, при p = 0.05. Обозначения структур см. рис. 1.
Половые различия уровней межиндивидуального сходства пространственной организации ЭЭГ в различных комбинациях связей, так отчетливо выраженные в группе взрослых испытуемых, наблюдались и среди детей разного возраста. Наиболее схожими с наблюдаемыми у взрослых они оказались в группах детей 5-6 и 12 лет – практически во всех комбинациях связей ЭЭГ КМС был достоверно выше у девочек. У детей 8–9 лет половые различия были сглажены, а у новорожденных для многих комбинаций носили обратный характер.
Интересно, что комбинация дистантных связей «Дл» особенно выделялась во всех возрастных группах различиями КМС у лиц разного пола: среди новорожденных и детей 8–9 лет уровень КМС был достоверно выше у мальчиков, а у взрослых эта комбинация характеризовалась минимальными половыми различиями (после комбинации «Лп+Пп» — внутриполушарные связи ЭЭГ в пределах левого и правого полушарий – наиболее близкой к «Дл»). У детей 5–6 и 12 лет именно для этой комбинации связей различия значений КМС в группах мальчиков и девочек были минимальны. Комбинация «Дл» включает в себя внутриполушарные связи ЭЭГ дистантно удаленных зон коры в обоих полушариях — так называемые «длинные связи».
Возрастная динамика межидивидуального сходства пространственной организации ЭЭГ (рис. 3) заключалась в низком относительно других возрастных групп, но в целом достаточно высоком уровне значений КМС у новорожденных, затем в наиболее высоком уровне КМС у детей 5–6 лет и постепенном (для большинства комбинаций) или резком (в случае ближних связей) снижении КМС к взрослому возрасту. Однако нужно напомнить, что во всех возрастных группах уровень КМС для всех рассмотренных комбинаций связей (кроме «Бл») остается высоким (табл. 1.)
Рис. 3. Возрастная динамика коэффициентов межиндивидуального сходства пространственных структур дистантных взаимосвязей ЭЭГ в группах лиц мужского пола (черная линия) и лиц женского пола (серая линия) разного возраста, оцениваемых в 11 выделенных комбинациях связей ЭЭГ. Обозначения см. рис. 1.
Также при рассмотрении значений КМС в разных возрастных группах в отдельных комбинациях связей ЭЭГ выявились некоторые интересные особенности. Так, КМС по комбинации «Фр» – меж- и внутриполушарные связи фронтальных и передневисочных отделов коры – у детей 8–9 лет достигает уровня 0.95 (рис. 3, табл. 1), т.е. такого же, как по комбинации «Мс» – межполушарные связи между симметричными отделами коры (а по комбинации «Мс» межиндивидуальное сходство максимально во всех исследованных нами возрастных группах – рис. 1 и 2, табл. 1). По комбинации «Фр» наблюдается повышение значений КМС с периода новорожденности до 8-9 лет, при этом у мальчиков и девочек значения КМС очень близки – половых различий практически нет. Затем в возрасте 12 лет наблюдается снижение уровня КМС – резкое у мальчиков и более плавное у девочек. У взрослых уровень межиндивидуального сходства по комбинации «Фр» снова возрастает: у женщин до уровня 0.94, у мужчин – 0.89, т.е. прочно занимает второе место после комбинации «Мс».
Отдельного внимания заслуживает динамика уровня КМС по комбинации «Окц» у мужчин: достигая уровня 0.87 у детей 5–6 лет (после 0.77 у новорожденных), КМС выходит на плато – держится на этом уровне во всех возрастных группах с очень небольшими колебаниями (0.89 у мальчиков 8–9 лет, 0.88 – у 12-летних, 0.88 – у взрослых испытуемых, рис. 3, табл. 1). Это самая «стабильная» комбинация у лиц мужского пола.
Резкий перепад значений КМС между группами 8–9 и 12 лет у мальчиков наблюдался для комбинаций «Мс», «Мк», «Фр» и «Бл». Затем у взрослых, в группе мужчин, он стабилизировался для межполушарных связей («Мс» и «Мк»), для фронтальных значительно вырос, а для ближних связей упал до уровня 0.43 (минимального для всех обследованных возрастных групп и всех изучаемых комбинаций ЭЭГ).
У лиц и мужского, и женского пола по комбинации ближних связей («Бл») КМС, начиная с возраста 5-6 лет, значительно понижался до 12 лет (у мальчиков – 0.72–0.61–0.51, у девочек – 0.71–0.62–0.56), а затем – половые различия проявляются очень резко – у мужчин он продолжает интенсивно снижаться и опускается до 0.43, а у женщин, наоборот, резко возрастает до 0.65.
По комбинациям «Лв» и «Пв» в группе взрослых, по сравнению с группой 12 лет, наблюдалось значительное снижение КМС у мужчин, а у женщин – более плавное, особенно для височных связей зон правого полушария. По комбинации «Цн» у женщин КМС остался на прежнем уровне 0.91 (по сравнению с группой 12 лет), а у мужчин значительно понизился – с 0.89 до 0.80 (табл. 1).
Особый интерес представляет изучение степени сходства у разных индивидуумов пространственной организации межрегиональных взаимодействий потенциалов мозга при оценке КМС в отдельности по каждому из полушарий. Из трех комбинаций внутриполушарных связей, оцениваемых одновременно в пределах обоих полушарий – «Лп+Пп», «Дл» и «Бл» – были сформированы шесть дополнительных комбинаций дистантных связей ЭЭГ, выделенных в отдельности для левого и правого полушария: «Лп», «Пп», «Дл_Л», «Дл_П», «Бл_Л», «Бл_П». Оценки межиндивидуального сходства организации ЭЭГ как у взрослых, так и у детей показали, что при «разделении по полушариям» дистантных связей ЭЭГ величины КМС значимо увеличиваются для тех же самых групп испытуемых (рис. 4, табл. 1). Существенно, что такой «гемисферный принцип» выполняется как для оценок КМС, проведенных для удаленных внутриполушарных взаимодействий («Дл_Л», «Дл_П»), так и для ближних связей ЭЭГ («Бл_Л», «Бл_П»), так и при их объединении в общую структуру связей в пределах каждого из полушарий («Лп», «Пп»). Такой принцип повышения межиндивидуального сходства пространственной организации ЭЭГ в пределах одной и той же группы испытуемых при разделении межрегиональных связей потенциалов мозга на принадлежащие в отдельности либо левому, либо правому полушарию выполняется как в группах мужчин, так и женщин, мальчиков и девочек разного возраста, т.е. независимо от пола испытуемых. Однако следует подчеркнуть, что для комбинации ближних связей ЭЭГ («Бл») гемисферный принцип как у лиц мужского пола, так и у лиц женского пола во всех изучаемых нами возрастных группах, даже у новорожденных, выполняется в основном только по левому полушарию, т.е. для комбинации «Бл_Л». По правому полушарию значения КМС для «Бл_П» и «Бл» почти полностью совпадают (рис. 5).
Рис. 4. Средние величины коэффициентов межиндивидуального сходства пространственных структур дистантных взаимосвязей ЭЭГ в группах лиц мужского пола (серые столбики) и женского пола (белые столбики) в трех основных («Лп+Пп», «Дл» и «Бл») и шести дополнительных комбинациях связей ЭЭГ («Лп», «Пп», «Дл_Л», «Дл_П», «Бл_Л», «Бл_П»). Обозначения см. раздел Методика.
Рис. 5. Возрастная динамика коэффициентов межиндивидуального сходства пространственных структур дистантных взаимосвязей ЭЭГ в группах лиц мужского пола (черная линия) и в лиц женского пола (серая линия) разного возраста, оцениваемых в каждом из полушарий в отдельности в трех основных («Лп+Пп», «Дл» и «Бл») и шести дополнительных комбинациях связей ЭЭГ («Лп», «Пп», «Дл_Л», «Дл_П», «Бл_Л», «Бл_П»). А – данные по лицам мужского пола, Б – данные по лицам женского пола.
Таким образом, к наиболее важным результатам настоящего исследования относятся следующие: высокий уровень КМС у испытуемых во всех возрастных группах; наибольший уровень межиндивидуального сходства – в организации межполушарных связей между симметричными областями полушарий мозга, наименьший – в организации ближних связей ЭЭГ; достоверные половые отличия в уровнях КМС.
ОБСУЖДЕНИЕ РЕЗУЛЬТАТОВ
По образному выражению R. Plomin, каждый человек представляет собой уникальный генетический эксперимент, который никогда не повторится [20]. Помимо уникального, только ему присущего набора генов (исключение составляют однояйцевые близнецы), определяющего его развитие, человек попадает в особую среду, которая может влиять на него, в очень широком диапазоне модифицируя проявление унаследованных признаков. И эта среда оказывается также уникальной для каждого человека (и близнецы здесь не являются исключением), так как, формируя личность определенным образом, она быстро становится одновременно и объектом формирования со стороны развивающейся личности. Даже в одной семье среда является индивидуально-специфической для каждого ее члена [21]. Изучая генетическую детерминацию системной деятельности мозга человека, целесообразно выделять два относительно независимых аспекта: нормативные (универсальные, общевидовые) закономерности и межиндивидуальные вариации реализации этих закономерностей, т.е. формирование индивидуальных различий [17]. В нашей работе в фокусе внимания был первый аспект.
Высокий уровень межиндивидуального сходства пространственной организации ЭЭГ во всех обследованных возрастных группах позволяет предполагать наличие значительной генетической обусловленности системной организации биоэлектрической активности головного мозга человека на разных этапах онтогенеза. В пользу такого предположения свидетельствует также подобие профилей значений КМС во всех десяти независимых подгруппах испытуемых (пять возрастов, два пола): наиболее высокий уровень межиндивидуального сходства – для межполушарных связей симметричных отделов коры, наименьший – для ближних внутриполушарных связей ЭЭГ.
Обоснованием допустимости рассматривать результаты как применимые к человеческой популяции в целом может служить статистическая достоверность полученных данных и большое число усредняемых значений межиндивидуальных корреляций при подсчете КМС для выбранных комбинаций связей ЭЭГ (так, в группе женщин (n = 23) результаты были получены при усреднении 253 значений межиндивидуальных попарных кросскорреляций, в группе мужчин (n = 15) – 105). В отдельном, проведенном ранее исследовании (с применением 12-ти отведений ЭЭГ [22]) с целью выявления межиндивидуального сходства пространственной организации ЭЭГ нами были обследованы 59 взрослых испытуемых – 27 мужчин и 32 женщины, т.е. КМС оценивались по 351 и 496 внутрипарным корреляциям соответственно. Следует отметить, что и в этих группах наблюдался высокий уровень межиндивидуального сходства пространственной организации ЭЭГ в целом для различных комбинаций связей ЭЭГ (выше 0.7, кроме комбинации «Бл»), максимальный уровень КМС для межполушарных связей симметричных зон полушарий, минимальный – для ближних связей ЭЭГ, т.е. все основные результаты оказались взаимоподтверждающими в независимых друг от друга исследованиях. Подтвердилось и достоверное превышение уровня КМС у женщин по сравнению с мужчинами по всем аналогичным комбинациям связей, а также и по другим, новым комбинациям, а именно дистантным связям ЭЭГ для каждого из отведений с ЭЭГ всех остальных отведений: уровень КМС был выше у женщин во всех этих комбинациях, кроме P3 и P4 (связи теменных зон со всеми остальными). Максимальный уровень половых различий так же, как и в настоящем исследовании, наблюдался для комбинации «Бл» – для связей ЭЭГ близлежащих областей коры. В обеих группах – и мужчин, и женщин – наблюдался интересный феномен: максимальных значений КМС достигал в четырех комбинациях связей ЭЭГ – лобных и затылочных отведений Fp1, Fp2 и О1, О2 со всеми остальными отведениями. Эти связи ЭЭГ соответствуют длинным ассоциативным фронто-окципитальным путям полушарий, и высокий уровень межиндивидуального сходства, оцениваемый по большому числу попарных корреляций, и у мужчин, и у женщин подтверждает значительную генетическую обусловленность их становления. Ранее по этим связям были получены подобные результаты [12]. Согласно работам [8, 9], эти длинные фронто-окципитальные пути, наряду с комиссуральными и транскаллозальными связями, формируют основную часть продольно-поперечного морфофункционального каркаса неокортекса.
Взаимодействию генетических и средовых факторов формирования индивидуальных морфофункциональных мозговых различий, а также интеллекта, психологических характеристик индивидуума, различных заболеваний уделяется много внимания в современных исследованиях [23, 24]. В обзорной работе [25] структурные характеристики мозга (объем головного мозга в целом, объем белого и серого вещества в различных областях мозга и т.п.) рассматриваются как эндофенотипы поведенческих фенотипов. Приводятся данные исследований об общих генетических факторах ковариации вербального и невербального интеллекта с серым веществом лобных, затылочных и парагиппокампальных областей и волокон белого вещества верхнего затылочно-лобного пучка и мозолистого тела [26]. Показан существенный вклад генетических факторов в индивидуальные особенности толщины коры во фронтальной и париетальной областях [27–30]. Выявлены высокие показатели наследуемости для плотности серого вещества в областях Брока и Вернике, лобной коре, извилине Гешля, левой затылочной и левой теменной поясных областях, средней височной коре и миндалине [26, 31, 32] и очень высокие – для индивидуальных различий в плотности белого вещества кортикоспинального тракта, мозолистого тела, верхнего продольного и окципито-фронтального пучков [26, 32, 33]. При этом важно учитывать, что влияние генетических факторов может ослабляться или усиливаться под воздействием среды – генотип-средовое взаимодействие играет важную роль в формировании индивидуальных особенностей конкретного человека. Пол, возраст, социально-экономический статус, IQ [23, 24] оказывают влияние на степень реализации генетической обусловленности. Индивидуальный фенотип формируется как результат накопления и генетических особенностей, и средовых влияний, и результатов их сложного взаимодействия [17].
В обзоре [25] анализируется роль генетических и средовых факторов в формировании индивидуальных различий структурных характеристик мозга, на генетическом уровне связанных с поведенческими характеристиками индивида (интеллект, шизофрения, биполярное расстройство и т.п.) и исследуемых с применением магнитно-резонансной томографии и диффузно-тензорной визуализации. Отмечается весомый вклад близнецовых исследований в доказательство значительной роли генетических факторов в формировании индивидуальных различий структурных характеристик мозга (общий объем мозга, толщина и площадь поверхности коры головного мозга, объем серого и белого вещества в мозге и др.). В настоящее время переход к масштабным исследованиям на базе международных коллабораций в формате многоцентровых консорциумов и сопутствующему росту исследуемых выборок, а также переход к новым типам молекулярно-генетических исследований (вариация числа копий генов, полногеномные и всегеномные) позволит в обозримом будущем выявить новые молекулярно-генетические механизмы, лежащие в основе индивидуальных различий структурных характеристик мозга.
Целью настоящего исследования являлось выявление именно межиндивидуального сходства (а не индивидуальных различий) организации системной деятельности мозга человека в онтогенезе. Выявленный высокий уровень межиндивидуального сходства пространственной организации ЭЭГ во всех обследованных группах детей и взрослых, по всей вероятности, может указывать на высокую степень генетической обусловленности системной организации биоэлектрической активности головного мозга человека (как вида) на разных этапах онтогенеза.
Как было описано в результатах исследования, наибольшим межиндивидуальным сходством во всех без исключения обследованных группах детей и взрослых обоего пола характеризовались межполушарные связи ЭЭГ симметричных отделов больших полушарий головного мозга («Мс»). Уже начиная с периода новорожденности КМС по этой комбинации связей достигает максимальных (по отношению к другим комбинациям связей ЭЭГ) значений: 0.92 и 0.89 у новорожденных мальчиков и девочек, 0.96 у детей 5–6 лет, 0.95 у 8–9-летних, 0.90 и 0.94 у мальчиков и девочек 12-ти лет, 0.91 и 0.97 (!) у мужчин и женщин. Согласованность деятельности, скоординированность функционирования обоих полушарий головного мозга настолько важна для выживания и развития, что нейрофизиологические механизмы, обеспечивающие ее с самых ранних этапов онтогенеза, в наибольшей степени генетически детерминированы. Исследование связей мозга с использованием диффузионной визуализации с высоким угловым разрешением у 328 близнецов (70 пар монозиготных и 91 пара дизиготных) показало, что межполушарные связи более наследуемы, чем внутриполушарные и кортикоспинальные [34]. Как следует из теории системогенеза П.К. Анохина [35–37], становление тех функциональных систем, которые наиболее необходимы для выживания организма, должно опережать формирование морфофункционального обеспечения других функций. Полученные данные находятся в полном соответствии с этим утверждением. По мнению А.Н. Шеповальникова, М.Н. Цицерошина [9], межполушарные связи между симметричными отделами полушарий, наряду с длинными продольными, образуют основной "каркас" единой пространственно-распределенной динамической системы мозговой активности, которая в силу генетической детерминированности и относительной зрелости к моменту рождения обеспечивает уже на самых ранних этапах онтогенеза возможность координированной деятельности больших полушарий мозга. Другая функциональная система – относительно коротких межкортикальных связей – развивается в тесном взаимодействии с окружающей организм средой [9].
Формирование системы ближних связей ЭЭГ в большей степени определяется средовыми влияниями – эти связи более пластичны и обеспечивают возможности обучения, гибкого приспособления к меняющимся условиям. В настоящем исследовании именно по комбинации «Бл» (связи ЭЭГ между близлежащими зонами коры) во всех возрастных группах отмечался наименьший уровень межиндивидуального сходства, т.е. максимальная вариабельность пространственной организации ЭЭГ. Ранее в работах [11–13] с помощью близнецового метода были получены результаты, позволяющие утверждать, что по сравнению с другими волоконными путями коры формирование ближних межкортикальных взаимосвязей осуществляется под преимущественным влиянием окружающей индивида среды, спонтанного и целенаправленного обучения, совокупности индивидуального опыта. Высокая пластичность "ближних связей" неокортекса относится к важнейшим механизмам обеспечения способности мозга к адаптации и обучению [8, 9].
Известно, что не только у человека, но и у многих других видов изменчивость по широкому спектру признаков выше у самцов нежели у самок [38]. Для мужчин характерна бóльшая фенотипическая и генетическая изменчивость по признакам, определяющимися мужскими гормонами [39]. При изучении показателей более 55 000 новорожденных (Норвегия, 2008) было обнаружено, что при рождении мальчики имеют больший разброс по показателю массы тела [40]. Бóльшая дисперсия обнаружена и по показателям крови, физической работоспособности и оценкам успеваемости в университете у юношей по сравнению с девушками [41].
Отличия по результатам измерения IQ между женщинами и мужчинами невелики, если брать средние значения, однако число мужчин значительно превышает число женщин на обоих концах нормального распределения [42], т.е. подтверждается большая вариабельность характеристик у лиц мужского пола. Аналогичные результаты были получены и при исследованиях интеллектуального развития больших выборок школьников и военнослужащих США (масштабные национальные проекты, включающие и лонгитюдные исследования) – по средним значениям успешности выполнения тестов половые различия были невелики (хотя и стабильны на протяжении 32-х лет), а результаты у лиц мужского пола всегда отличались большей дисперсией, чем у лиц женского пола [43]. В другом исследовании на очень большой выборке детей Шотландии (n = 80 000) по средним значениям когнитивных тестов половые различия не были выявлены, но обнаружилась значительная разница в стандартных отклонениях – и низкие, и высокие показатели IQ чаще были у мальчиков [44]. При обследовании двух с половиной тысяч сиблингов выявлены половые различия в некоторых способностях: у мужчин выше оценки в тестах по информатике и арифметике, у женщин – в языковых тестах; и снова подтвердились данные по дисперсии оценок: в два раза больше мужчин, чем женщин, оказалось на периферии распределения, с максимальными и минимальными результатами выполнения тестов [45]. По данным большого количества исследований, бóльшая изменчивость особей мужского пола характерна не только для человека, но и для многих других представителей животного мира. Причем у человека эта изменчивость распространяется на широкий круг параметров – как физических, не связанных непосредственно с влиянием социума (показатели крови, вес тела при рождении, физическая работоспособность и т.п.), так и психофизиологических (параметры интеллекта, оценки успеваемости, уровень общих и специальных способностей). Бóльшая внутриполовая вариабельность показателей и степени выраженности различных свойств у представителей мужского пола является фундаментальным аспектом различия между полами [38, 41].
В настоящем исследовании выявлены половые различия межиндивидуального сходства пространственной организации ЭЭГ – у взрослых испытуемых и у детей 5–6 и 12 лет наблюдалось достоверное (p = 0.05) превышение КМС у лиц женского пола по всем комбинациям связей. То есть интериндивидуальная вариабельность статистической взаимосвязи биопотенциалов мозга была достоверно выше у лиц мужского пола, а лица женского пола характеризовались более высокой степенью межиндивидуального сходства пространственной организации ЭЭГ. Таким образом, пространственная организация ЭЭГ (степень сходства которой оценивали у лиц мужского и женского пола с помощью попарных корреляций) также относится к показателям, по которым лица мужского пола демонстрируют бóльшую изменчивость по сравнению с лицами женского пола.
Наибольшие половые различия степени межиндивидуального сходства пространственной организации ЭЭГ выявились по комбинации ближних связей – у мужчин КМС составил всего 0.43 (у женщин – 0.65). То есть вариабельность пространственной структуры статистических связей между биопотенциалами близлежащих зон коры оказалась намного выше у лиц мужского пола. Принимая во внимание, что ближние связи формируются в большей степени под воздействием окружающей среды, нежели генотипа [11–13], и, рассматривая пространственную организацию ЭЭГ в качестве одного из эндофенотипов личности [46, 47], можно утверждать, что и в процессе формирования фенотипа лица мужского пола характеризуются более широким разбросом индивидуальных особенностей и психофизиологических характеристик.
Общепринятые представления о половых различиях в выраженности тех или иных интеллектуальных способностей (например, лучшей вербальной беглости у женщин и более высоких пространственных способностях у мужчин) постоянно дополняются новыми исследованиями с использованием современных методов. Лучшие пространственные способности мужчин связывают со структурными и функциональными особенностями головного мозга, с пренатальным и пубертатным гормональным влиянием на мозг, с социальными и образовательными стереотипами. С использованием диффузионной тензорной визуализации и моделирования структурного коннектома было показано, что для мужского мозга характерно преобладание внутриполушарной связанности, а для женского – межполушарной [48]. Авторы объясняют это тем, что мозг лиц мужского пола максимально адаптирован к обеспечению наиболее эффективной связи между восприятием и скоординированными действиями, а для лиц женского пола в наибольшей мере важно обеспечение связи между аналитическим и интуитивным режимом обработки информации. В настоящем исследовании у лиц мужского пола во всех возрастных группах, начиная с 5–6 лет, по комбинации «Окц» (условно «окципитальные» – межполушарные и относительно короткие внутриполушарные связи ЭЭГ задневисочных, теменных, затылочных и TPO-зон обоих полушарий) был выявлен стабильно высокий уровень межиндивидуального сходства (0.88 ± 0.01). Ранее в исследовании [22] с использованием 12 отведений ЭЭГ и анализом межиндивидуального сходства по комбинациям связей каждого отведения со всеми остальными, именно по комбинациям для теменных отведений Р3 и Р4 наблюдалось превышение уровня КМС у мужчин по сравнению с женщинами. Таким образом, более высокий уровень пространственных способностей у лиц мужского пола получает еще одну нейрофизиологическую составляющую для своего объяснения.
Известно, что генотип и типизирует, и индивидуализирует развитие [17], в связи с этим интересно проследить, как меняется степень межиндивидуального сходства пространственной организации межкортикальных взаимодействий в онтогенезе. Упорядоченность пространственно-временной организации биоэлектрической активности мозга постепенно и неуклонно возрастает в процессе развития головного мозга как результат формирования интегративных межцентральных связей коры и субкортикальных структур, создающих стабильную морфофункциональную основу для эффективной реализации процессов обучения и оптимизации приспособительных реакций организма [8–10]. При этом межиндивидуальное сходство пространственной организации ЭЭГ, как показывает настоящее исследование, не линейно изменяется от одной возрастной группы к другой. Сначала уровень КМС увеличивается (от группы новорожденных к группе детей 5–6 лет), затем выходит на плато (группы 5–6, 8–9 и 12 лет) и постепенно снижается (группа взрослых испытуемых). Для разных комбинаций связей эта схема неодинакова, особенно здесь отличаются "ближние связи" – после резкого скачка вверх от показателей у новорожденных к показателям у детей 5–6 лет оценки КМС существенно снижаются от группы к группе, достигая минимума у мужчин, а у женщин, напротив, опять возрастая.
В целом у детей 5–6, 8–9 и 12 лет по многим комбинациям связей ЭЭГ уровень межиндивидуального сходства был несколько выше, чем у взрослых, например, уровень 0.90 у женщин был превышен для четырех комбинаций связей, у мужчин для одной, а у детей 5-6 лет – для восьми у девочек, для пяти у мальчиков. Тенденция к снижению уровня межиндивидуального сходства пространственной организации потенциалов мозга как в целом, так и в различных комбинациях дистантного взаимодействия потенциалов у лиц как мужского, так и женского пола, начиная с возраста 5–6 лет, очевидно, связана с накоплением разного опыта, формированием на его основе своего набора приспособительных реакций и индивидуальных стратегий познавательной деятельности. Индивидуальные особенности морфофункционального обеспечения адаптации к условиям существования и отражаются, по-видимому, в снижении с возрастом уровня межиндивидуального сходства пространственной организации межрегиональных взаимодействий коры головного мозга, при этом межиндивидуальная вариабельность здесь существенно выше у лиц мужского пола. Снижение уровня межиндивидуального сходства пространственной организации ЭЭГ с возрастом испытуемых обусловлено накоплением индивидуального опыта жизни и обучения и согласуется с представлениями о возрастной минимизации областей мозга, участвующих в системном обеспечении психических функций [49], и выработке индивидуальных стратегий когнитивной деятельности.
ЗАКЛЮЧЕНИЕ
Выявление высокого уровня межиндивидуального сходства пространственной организации ЭЭГ в группах взрослых и детей разного возраста позволяет подтвердить определяющую роль общевидовых генетических факторов в формировании упорядоченной динамической мозговой активности, обеспечиваемой преимущественно длинными внутри- и межполушарными (билатерально-симметричными) кортико-кортикальными взаимосвязями. В то же время функционально-специфическая активность "локальных цепей" неокортекса отличается выраженной интериндивидуальной вариабельностью во всех возрастных группах, что отражает преимущественное влияние средовых воздействий на их формирование и позволяет индивидуумам успешно адаптироваться к разнообразным окружающим условиям и успешно обучаться. Достоверно более высокий уровень межиндивидуальной вариабельности пространственной организации ЭЭГ у мужчин по сравнению с женщинами ставит организацию биоэлектрической активности мозга в ряд тех многочисленных параметров, по которым мужчины демонстрируют бóльшую изменчивость и более широкий разброс показателей как одно из основных проявлений своего пола.
Финансирование работы. ГЗ ИЭФБ РАН № 075-00967-23-00.
Соблюдение этических стандартов. Все исследования проводились в соответствии с принципами биомедицинской этики, изложенными в Хельсинкской декларации 1964 г. и последующих поправках к ней. Они также были одобрены Этическим комитетом Института эволюционной физиологии и биохимии имени И.М. Сеченова РАН (Санкт-Петербург). Исследования проводились на базе ИЭФБ РАН, а также детских садов и школ г. Санкт-Петербурга.
Каждый участник исследования дал добровольное письменное информированное согласие после получения разъяснений о потенциальных рисках и преимуществах, а также о характере предстоящего исследования. За несовершеннолетних испытуемых согласие давали родители (или опекуны).
Конфликт интересов. Авторы данной работы заявляют, что у них нет конфликта интересов.
About the authors
Е. А. Panasevich
Sechenov Institute of Evolutionary Physiology and Biochemistry, RAS
Author for correspondence.
Email: panek1@yandex.ru
Russian Federation, St. Petersburg
M. N. Tsitseroshin
Sechenov Institute of Evolutionary Physiology and Biochemistry, RAS
Email: panek1@yandex.ru
Russian Federation, St. Petersburg
References
- Braitenberg V. Cortical architectonics: general and areal // Architectonics of the cerebral cortex. Brazier M.A.B., Petsche H. Raven Press. New York, 1978. P. 443.
- Nunez P.L. Generation of human EEG by a combination of long and short range neocortical interactions // Brain Topographic. 1989. V. 1. № 3. P. 199.
- Nunez P.L. Neocortical dynamics and human EEG rhythms. New York, Oxford: Oxford. Univ. Press, 1995. 708 p.
- Thatcher R.W. Maturation of the human frontal lobes: physiological evidence for staging // Dev. Neurophysiol. 1991. V. 7. № 3. P. 397.
- Thatcher R.W. Cyclic cortical reorganization during early childhood // Brain Cogn. 1992. V. 20. № 1. P. 24.
- Thatcher R.W. Are rhythms of human cerebral development “travelling waves”? // Behav. Brain Sci. 1992b. V. 14. № 4. P. 575.
- Thatcher R.W., Biver C., McAlaster R., Salazar A. Biophysical linkage beetween MRI and EEG coherence in closed head injury // Neuroimage. 1998. V. 8. № 4. P. 307.
- Shepoval’nikov A.N., Tsitseroshin M.N., Pogosian A.A. [Principles of integration of bioelectric activity of spatially distributed areas of the neocortex into a whole dynamic system] // Fiziologiia Cheloveka. 1995. V. 21. № 5. P. 36.
- Shepoval’nikov A.N., Tsitseroshin M.N. [Evolutionary aspects of development of the integrative activity in the human brain] // Ross. Fiziol. Zh. Im. I.M. Sechenova. 1999. V. 85. № 9–10. P. 1187.
- Tsitseroshin M.N., Shepovalnikov A.N. [The formation of integrative brain function] / Ed. Bekhtereva N.P. St. Petersburg: Nauka, 2009. 249 p.
- Ivonin A.A., Tsitseroshin M.N., Pogosyan A.A., Shuvaev V.T. Genetic detrermination of neurophysiological mechanisms of cortical-subcortical integration of bioelectrical brain activity // Neurosci. Behav. Physiol. 2004. V. 34. № 4. P. 369.
- Tsitseroshin M.N., Ivonin A.A., Pogosian A.A. et al. The role of the genotype in the development of neurophysiological mechanisms involved in the space integration of the neocortex bioelectric activity // Human Physiology. 2003. V. 29. № 4. P. 393.
- Van Baal G.C., de Geus E.J., Boomsma D.I. Genetic influences on EEG coherence in 5-year-old twins // Behav. Genet. 1998. V. 28. № 1. Р. 9.
- Galton F. On men of science, their nature and their nurture // Proc. Royal Inst. 1874. V. 7. P. 227.
- Galton F. The history of twins, as a criterion of the relative powers of nature and nurture // Fraser’s Magazine. 1875. V. 12. P. 566.
- Galton F. Arithmetic notation of kinship (Letter) // Nature. 1883. V. 28. P. 435.
- Maryutina T.M. [Species and individual in human development]. Moscow, 2007. (Electronic resource: Ethology.ru).
- Ravich-Shcherbo I.V., Maryutina T.M., Grigorenko E.L. [Psychogenetics]. M.: Aspect-Press, 1999. 447 p.
- Vogel F., Motulski A. [Human genetics]. M.: Mir, 1990. V. 3. P. 111.
- Plomin R. Development, genetics, and psychology. Hillsdale, N.J.: L. Erlbaum Associates, 1986. 372 p.
- Plomin R., Daniels D. Why are children in the same family so different from one another? // Int. J. Epidemiol. 2011. V. 40. № 3. P. 563.
- Panasevich E.A. [Sexual features of the spatiotemporal organization of the interaction of brain biopotentials in adults and children. Cand. of biol. sci. diss. St. Petersburg, 2009. 202 p.
- Hackman D.A., Farah M.J. Socioeconomic status and the developing brain // Trends Cogn. Sci. 2009. V. 13. № 2. P. 65.
- Zavala C., Beam C.R., Finch B.K. et al. Attained SES as a moderator of adult cognitive performance: Testing gene–environment interaction in various cognitive domains // Dev. Psychol. 2018. V. 54. № 12. P. 2356.
- Zakharov I.M., Maljich S.B. [Studies of the structural characteristics of the brain in psychogenetics] // Ross. Fiziol. Zh. Im. I.M. Sechenova. 2020. V. 17. № 2. P. 17.
- Hulshoff Pol H.E., Schnack H.G., Posthuma D. et al. Genetic contributions to human brain morphology and intelligence // J. Neurosci. 2006. V. 26. № 40. P. 10235.
- Joshi A.A., Leporé N., Joshi S.H. et al. The contribution of genes to cortical thickness and volume // NeuroReport. 2011. V. 22. № 3. P. 101.
- Lenroot R.K., Schmitt J.E., Ordaz S.J. et al. Differences in genetic and environmental influences on the human cerebral cortex associated with development during childhood and adolescence // Hum. Brain Mapp. 2009. V. 30. № 1. P. 163.
- Rimol L.M., Agartz I., Djurovic S. et al. Sex-dependent association of common variants of microcephaly genes with brain structure // Proc. Natl. Acad. Sci. U.S.A. 2010. V. 107. № 1. P. 384.
- Yoon U., Fahim C., Perusse D., Evans A.C. Lateralized genetic and environmental influences on human brain morphology of 8-year-old twins // NeuroImage. 2010. V. 53. № 3. P. 1117.
- Cannon T.D., Thompson P.M., van Erp T.G.M. et al. Mapping heritability and molecular genetic associations with cortical features using probabilistic brain atlases: Methods and applications to schizophrenia // Neuroinformatics. 2006. V. 4. № 1. P. 5.
- Thompson P.M., Cannon T.D., Narr K.L. et al. Genetic influences on brain structure // Nat. Neurosci. 2001. V. 4. № 12. P. 1253.
- Peper J.S., Zwiers M.P., Boomsma D.I. et al. Human brain volume: What is in the genes? // Handbook of Behavior Genetics. New York: Springer, 2009. P. 137.
- Shena K.-K., Rosea S., Frippa J. et al. Investigating brain connectivity heritability in a twin study using diffusion imaging data // Neuroimage. 2014. V. 100. P. 628.
- Anokhin P.K. [Systemogenesis as a general regularity of the evolutionary process] // Bul. Exp. Biol. Med. 1948. V. 26. Pt. 2. P. 81.
- Anokhin A.P. [Analysis of the variability of some indicators of bioelectric activity of the human brain / Systemogenesis and problems of brain genetics]. Moscow: Nauka, 1983. P. 181.
- Anokhin P.K. [Essays on the physiology of functional systems]. Moscow: Medicine. 1975. 448 p.
- [Two sexes. Wherefore and why? The evolutionary theory of sex] / Ed. Geodakian S.V. Moscow, 2012. 250 p.
- Rowe L., Houle D. The lek paradox, condition dependence and genetic variance in sexually selected traits // Proc. R. Soc. Lond. Ser. B: Biol. Sci. 1996. V. 263. № 1375. P. 1415.
- Lehre A.C., Laake P., Sexton J.A. Differences in birth weight by sex using adjusted quantile distance functions // Stat. Med. 2013. V. 32. № 17. P. 2962.
- Lehre A.C., Lehre K.P., Laake P., Danbolt N.C. Greater intrasex phenotype variability in males than in females is a fundamental aspect of the gender differences in humans // Dev. Psychobiol. 2009. V. 51. № 2. P. 198.
- Hart R. Children’s experience of Place: A Developmental Study. New York: Irvington Publishers, 1978. 518 р.
- Hedges L.V., Nowell A. Sex differences in mental test scores, variability, and numbers of high-scoring individuals // Science. 1995. V. 269. № 5220. P. 41.
- Deary I.J., Thorpe G., Wilson V. et al. Population sex differences in IQ at the age 11: The Scottish mental survey 1932 // Intelligence. 2003. V. 31. № 6. P. 533.
- Deary I.J., Irwing P., Der G., Bates T.C. Brother–sister differences in the g factor in intelligence: Analysis of full, opposite-sex siblings from the NLSY1979 // Intelligence. 2007. V. 35. № 5. P. 451.
- Malykh S.B., Egorova M.S., Meshkova T.A. [Psychogenetics]. St. Petersburg: Piter, 2008. 336 p.
- Iacono W.G. Genome-wide scans of genetic variants for psychophysiological endophenotypes: Introduction to this special issue of Psychophysiology // Psychophysiology. 2014. V. 51. № 12. P. 1201.
- Ingalhalikar M., Smith A., Parker D. et al. Sex differences in the structural connectome of the human brain // Proc. Natl. Acad. Sci. U.S.A. 2013. V. 111. № 2. P. 823.
- Shepoval’nikov A.N., Tsitseroshin M.N., Levinchenko N.V. [The “age-related minimization” of areas of the brain participating in the systems support of mental functions: the arguments pro and con] // Fiziologiia Cheloveka. 1991. V. 17. № 5. P. 28.
Supplementary files







