Effects of Single Noninvasive Spinal Cord Stimulation in Patients with Post-Stroke Motor Disorders
- Authors: Skvortsov D.V.1,2, Bogacheva I.N.3, Shcherbakova N.A.3, Grishin A.A.3, Kaurkin S.N.1,2, Moshonkina .R.3, Gerasimenko Y.P.3
-
Affiliations:
- Federal Research Clinical Center of the FMBA of Russia
- Federal Center of Brain Research and Neurotechnologies of the FMBA of Russia
- Pavlov Institute of Physiology RAS
- Issue: Vol 49, No 4 (2023)
- Pages: 70-78
- Section: Articles
- URL: https://journals.rcsi.science/0131-1646/article/view/139845
- DOI: https://doi.org/10.31857/S0131164622700199
- EDN: https://elibrary.ru/MWTUUI
- ID: 139845
Cite item
Full Text
Abstract
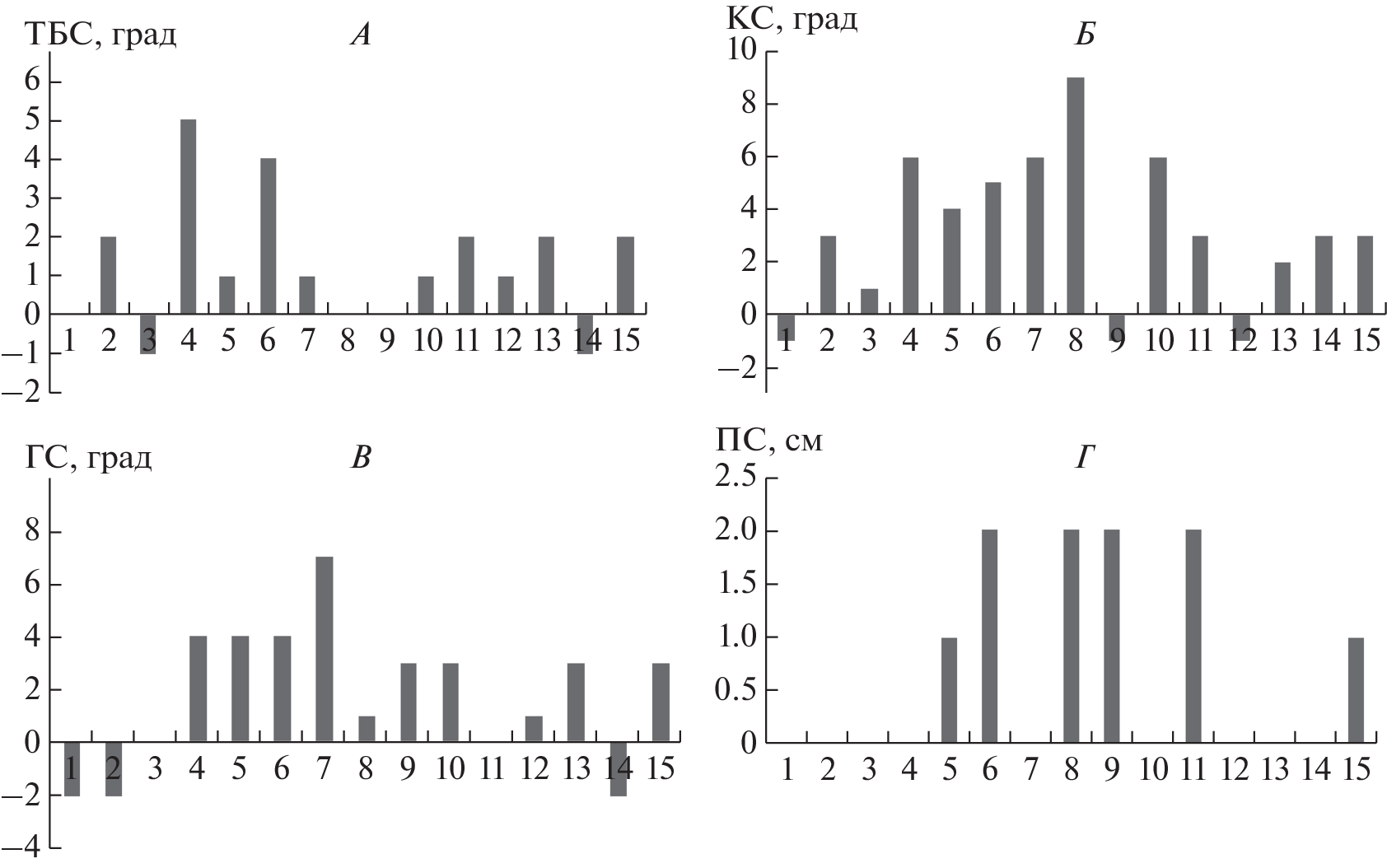
Post-stroke gait disorders are often characterized by abnormal kinematic and kinetic patterns, deviations in spatio-temporal features, altered muscle activation and increased power requirements during walking. The investigation is aimed at determining the possibility of using transcutaneous electrical spinal cord stimulation (scTS) to influence the kinematics of walking in stroke patients with hemiparesis in the early and late recovery periods (1–12 months) after stroke. Continuous and phasic stimulation was used during motor training on a treadmill. For stimulation a spinal neuroprosthesis including a multichannel stimulator for scTS (“Cosima”, Russia) with sensors for determining the phases of walking was used. The biomechanical study of the walking function was carried out with the complex “Stadis” (“Neurosoft”, Russia). The study involved 15 patients (age from 33 to 79 years). We analyzed the parameters of stepping movements when walking on the floor without stimulation before and after training on a treadmill using scTS. A comparative analysis of the kinematics of walking before and after training showed an increase in walking speed, the length of the step cycle, an increase in the range of movements in the hip, knee and ankle joints, in 40% patients the height of the paretic foot lift increased by 1–2 cm. The obtained results show that the training with the use of scTS can be considered as a rehabilitation method for correcting walking after a stroke.
Keywords
About the authors
D. V. Skvortsov
Federal Research Clinical Center of the FMBA of Russia; Federal Center of Brain Research and Neurotechnologies of the FMBA of Russia
Email: gerasimenko@infran.ru
Russia, Moscow; Russia, Moscow
I. N. Bogacheva
Pavlov Institute of Physiology RAS
Author for correspondence.
Email: bogacheva@infran.ru
Russia, St. Petersburg
N. A. Shcherbakova
Pavlov Institute of Physiology RAS
Email: gerasimenko@infran.ru
Russia, St. Petersburg
A. A. Grishin
Pavlov Institute of Physiology RAS
Email: gerasimenko@infran.ru
Russia, St. Petersburg
S. N. Kaurkin
Federal Research Clinical Center of the FMBA of Russia; Federal Center of Brain Research and Neurotechnologies of the FMBA of Russia
Email: gerasimenko@infran.ru
Russia, Moscow; Russia, Moscow
T. R. Moshonkina
Pavlov Institute of Physiology RAS
Email: gerasimenko@infran.ru
Russia, St. Petersburg
Yu. P. Gerasimenko
Pavlov Institute of Physiology RAS
Author for correspondence.
Email: gerasimenko@infran.ru
Russia, St. Petersburg
References
- Mohan D.M., Khandoker A.H., Wast S.A. et al. Assessment Methods of Post-stroke Gait: A Scoping Review of Technology-Driven Approaches to Gait Characterization and Analysis // Front. Neurol. 2021. V. 12. P. 650024.
- Minassian K., Hofstoetter U.S., Danner S.M. et al. Spinal Rhythm Generation by Step-Induced Feedback and Transcutaneous Posterior Root Stimulation in Complete Spinal Cord–Injured // Neurorehabil. Neural Repair. 2016. V. 30. № 3. P. 233.
- Calvert J.S., Manson G.A., Grahn P.J., Sayenko D.G. Preferential activation of spinal sensorimotor networks via lateralized transcutaneous spinal stimulation in neurologically intact humans // J. Neurophysiol. 2019. V. 122. № 5. P. 2111.
- Shapkova E.Y., Pismennaya E.V., Emelyannikov D.V., Ivanenko Y. Exoskeleton walk training in paralyzed individuals benefits from transcutaneous lumbar cord tonic electrical stimulation // Front. Neurosci. 2020. V. 14. P. 416.
- Gill M.L, Grahn P.J., Calvert J.S. et al. Neuromodulation of lumbosacral spinal networks enables independent stepping after complete paraplegia // Nat. Med. 2018. V. 24. № 11. P. 1677.
- Seáñez I., Capogrosso M. Motor improvements enabled by spinal cord stimulation combined with physical training after spinal cord injury: review of experimental evidence in animals and humans // Bioelectron. Med. 2021. V. 7. № 1. P. 16.
- Gerasimenko Y.P., Lu D.C., Modaber M. et al. Noninvasive Reactivation of Motor Descending Control after Paralysis // J. Neurotrauma. 2015. V. 32. № 24. P. 1968.
- Solopova I.A., Sukhotina I.A., Zhvansky D.S. et al. Effects of spinal cord stimulation on motor functions in children with cerebral palsy // Neurosci. Letter. 2017. V. 639. P. 192.
- Sayenko D.G., Atkinson D.A., Dy C.J. et al. Spinal segment-specific transcutaneous stimulation differentially shapes activation pattern among motor pools in humans // J. Appl. Physiol. 2015. V. 118. № 11. P. 1364.
- Городничев Р.М., Пухов А.М., Моисеев С.А. и др. Регуляция фаз шагательного цикла при неинвазивной электрической стимуляции спинного мозга // Физиология человека. 2021. Т. 47. № 1. С. 73. Gorodnichev R.M., Pukhov A.M., Moiseev S.A et al. Regulation of gait cycle phases during noninvasive electrical stimulation of the spinal cord // Human Physiology. 2021. V. 47. № 1. P. 60.
- Danner S.M., Hofstoetter U.S., Ladenbauer J. et al. Can the human lumbar posterior columns be stimulated by transcutaneous spinal cord stimulation? A modeling study // Artif. Organs. 2011. V. 35. № 3. P. 257.
- Hofstoetter U.S., Freundl B., Binder H., Minassian K. Common neural structures activated by epidural and transcutaneous lumbar spinal cord stimulation: elicitation of posterior root-muscle reflexes // PLoS One. 2018. V. 13. № 1. P. e0192013.
- Дамулин И.В., Екушева Е.В. Процессы нейропластичности после инсульта // Неврология, нейропсихиатрия, психосоматика. 2014. Т. 6. № 3. С. 69. Damulin I.V., Ekusheva E.V. Neuroplasticity processes after stroke // Neurology, Neuropsychiatry, Psychosomatics. 2014. V. 6. № 3. P. 69.
- Hermens H.J., Freriks B., Disselhorst-Klug C., Rau G. Development of recommendations for SEMG sensors and sensor placement procedures // J. Electromyogr. Kinesiol. 2000. V. 10. № 5. P. 361.
- Grishin A.A., Bobrova E.V., Reshetnikova V.V. et al. A System for Detecting Stepping Cycle Phases and Spinal Cord Stimulation as a Tool for Controlling Human Locomotion // Biomed. Eng. 2021. V. 54. № 5. P. 312.
- Hsu A.L., Tang P.F., Jan M.H. Analysis of impairments influencing gait velocity and asymmetry of hemiplegic patients after mild to moderate stroke // Arch. Phys. Med. Rehabil. 2003. V. 84. № 8. P. 1185.
- Nadeau S., Arsenault A.B., Gravel D., Bourbonnais D. Analysis of the clinical factors determining natural and maximal gait speeds in adults with a stroke // Am. J. Phys. Med. Rehabil. 1999. V. 78. № 2. P. 123.
- Баскакова Н.В., Витензон А.С. Влияние темпа и длины шага на основные параметры ходьбы человека / Биомеханика. 1975, сб. трудов вып. 13, РНИИТО. С. 242. Baskakova N.V., Vitenzon A.S. [The influence of pace and step length on the basic parameters of human walking] / Biomechanics. 1975, collection of works V. 13, RNIITO. P. 242.
- Simonsen E.B. Contributions to the understanding of gait control // Dan. Med. J. 2014. T. 61. № 4. P. B4823.
- Богачева И.Н., Щербакова Н.А., Савохин А.А. и др. Эффекты фазозависимой чрескожной стимуляции спинного мозга в регуляции кинематики шагательных движений человека // Биофизика. 2021. Т. 66. № 4. С. 802. Bogacheva I.N., Shcherbakova N.A., Savokhin A.A. et al. Phase-Dependent Effects of Transcutaneous Spinal Cord Stimulation on Regulation of Kinematics of Human Stepping Motions // Biophysics. 2021. V. 66. № 4. P. 681.
- Скворцов Д.В. Диагностика двигательной патологии инструментальными методами: анализ походки, стабилометрия. М.: Т.М. Андреева, 2007. 617 c. Skvortsov D.V. Diagnostics of motor pathology by instrumental methods: gait analysis, stabilometry. M.: Т.М. Andreeva, 2007. 617 р.
- Burridge J.H., McLellan D.L. Relation between abnormal patterns of muscle activation and response to common peroneal nerve stimulation in hemiplegia // J. Neurol. Neurosurg. Psychiatry. 2000. V. 69. № 3. P. 353.
- Gervasoni E., Parelli R., Uszynski M. et al. Effects of functional electrical stimulation on reducing falls and improving gait parameters in multiple sclerosis and stroke // PMR. 2017. V. 9. № 4. P. 339.
Supplementary files





