Relation of Neural Beta-Oscillations of the Subthalamic Nucleus to Clinical Symptoms of Parkinson’s Disease
- Authors: Sayfulina K.E.1, Filyushkina V.I.1, Gamaleya A.A.2, Tomskiy A.A.2, Sedov A.S.1, Belova E.M.1
-
Affiliations:
- Semenov Federal Research Center for Chemical Physics, RAS
- Burdenko National Medical Research Center of Neurosurgery,
- Issue: Vol 49, No 5 (2023)
- Pages: 43-52
- Section: Articles
- URL: https://journals.rcsi.science/0131-1646/article/view/139838
- DOI: https://doi.org/10.31857/S0131164623700364
- EDN: https://elibrary.ru/XCUXMI
- ID: 139838
Cite item
Full Text
Abstract
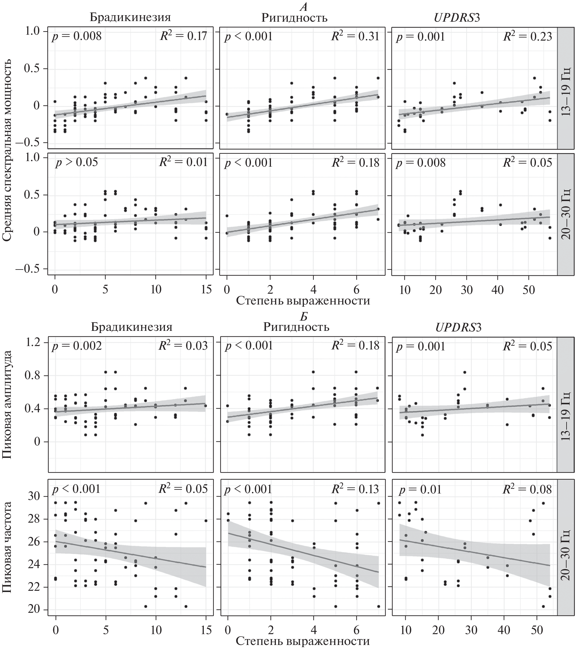
Beta oscillations within the subthalamic nucleus (STN) are proposed to serve as biomarker for Parkinson’s disease. A wealth of data indicate essential functional differences between two subbands – low beta (13–19 Hz) and high beta (20–30 Hz), but there is still no full understanding of their specialization. We collected postoperative LFP data using externalized leads from 6 PD patients with implanted bilateral STN DBS electrodes before and after levodopa administration. We studied the relationship between parameters of low and high beta activity and motor symptom scales (UPDRS3, bradykinesia and rigidity). Mean PSD in both subbands decreased after levodopa administration. Low beta mean PSD was positively correlated with all three inspected motor scales (UPDRS3, rigidity and bradykinesia), while high beta mean PSD correlated only with rigidity. Most of the oscillatory peaks were concentrated within the high beta band. Their number decreased after levodopa administration, still leaving a prominent part unaffected. Almost all the low beta peaks compiling small initial number have disappeared after levodopa administration, thus we analyzed only high beta peak parameters. High beta peak frequency and amplitude changed with OFF-ON transition and were correlated with only rigidity scores. Our findings indicate that, although both low and high beta respond to medication state, there are functional differences between the subbands: low beta reflects motor symptoms non-specifically, while high beta is more specialized and reflects rigidity.
About the authors
K. E. Sayfulina
Semenov Federal Research Center for Chemical Physics, RAS
Author for correspondence.
Email: kseniasayfulina@gmail.com
Russia, Moscow
V. I. Filyushkina
Semenov Federal Research Center for Chemical Physics, RAS
Email: kseniasayfulina@gmail.com
Russia, Moscow
A. A. Gamaleya
Burdenko National Medical Research Center of Neurosurgery,
Email: kseniasayfulina@gmail.com
Russia, Moscow
A. A. Tomskiy
Burdenko National Medical Research Center of Neurosurgery,
Email: kseniasayfulina@gmail.com
Russia, Moscow
A. S. Sedov
Semenov Federal Research Center for Chemical Physics, RAS
Email: kseniasayfulina@gmail.com
Russia, Moscow
E. M. Belova
Semenov Federal Research Center for Chemical Physics, RAS
Email: kseniasayfulina@gmail.com
Russia, Moscow
References
- Бриль Е.В., Белова Е.М., Седов А.С. и др. Современные представления о механизмах нейростимуляции при болезни Паркинсона // Анналы клинической и экспериментальной неврологии. 2022. Т. 16. № 2. С. 89. Bril E.V., Belova E.M., Sedov A.S. et al. Current understanding of neurostimulation for Parkinson’s disease // Ann. Clin. Exp. Neurol. 2022. V. 16. № 2. P. 89.
- Armstrong M.J., Okun M.S. Diagnosis and Treatment of Parkinson Disease: A Review // JAMA. 2020. V. 323. № 6. P. 548.
- Chung C.L., Mak M.K., Hallett M. Transcranial Magnetic Stimulation Promotes Gait Training in Parkinson Disease // Ann. Neurol. 2020. V. 88. № 5. P. 933.
- Zhang W., Deng B., Xie F. et al. Efficacy of repetitive transcranial magnetic stimulation in Parkinson’s disease: A systematic review and meta-analysis of randomised controlled trials // eClinicalMedicine. 2022. V. 52. P. 101589.
- Deng Z.-D., Lisanby S.H., Peterchev A.V. Coil design considerations for deep transcranial magnetic stimulation // Clin. Neurophysiol. 2014. V. 125. № 6. P. 1202.
- Levy R., Ashby P., Hutchison W.D. et al. Dependence of subthalamic nucleus oscillations on movement and dopamine in Parkinson’s disease // Brain. 2002. V. 125. Pt. 6. P. 1196.
- Little S., Brown P. The functional role of beta oscillations in Parkinson’s disease // Parkinsonism Relat. Disord. 2014. V. 20. Suppl 1. P. S44.
- Wang D.D., de Hemptinne C., Miocinovic S. et al. Subthalamic local field potentials in Parkinson’s disease and isolated dystonia: An evaluation of potential biomarkers // Neurobiol. Dis. 2016. V. 89. P. 213.
- Geraedts V.J., Boon L.I., Marinus J. et al. Clinical correlates of quantitative EEG in Parkinson disease: A systematic review // Neurology. 2018. V. 91. № 19. P. 871.
- Melgari J.-M., Curcio G., Mastrolilli F. et al. Alpha and beta EEG power reflects L-dopa acute administration in parkinsonian patients // Front. Aging Neurosci. 2014. V. 6. P. 302.
- He X., Zhang Y., Chen J. et al. The patterns of EEG changes in early-onset Parkinson’s disease patients // Int. J. Neurosci. 2017. V. 127. № 11. P. 1028.
- Stanzione P., Marciani M.G., Maschio M. et al. Quantitative EEG changes in non-demented Parkinson’s disease patients before and during L-dopa therapy // Eur. J. Neurol. 1996. V. 3. № 4. P. 354.
- Marceglia S., Foffani G., Bianchi A.M. et al. Dopamine-dependent non-linear correlation between subthalamic rhythms in Parkinson’s disease: Dopamine-dependent segregation between STN rhythms // J. Physiol. 2006. V. 571. Pt. 3. P. 579.
- Oswal A., Beudel M., Zrinzo L. et al. Deep brain stimulation modulates synchrony within spatially and spectrally distinct resting state networks in Parkinson’s disease // Brain. 2016. V. 139. Pt. 5. P. 1482.
- Gramfort A., Luessi M., Larson E. et al. MEG and EEG data analysis with MNE-Python // Front. Neurosci. 2013. V. 7. P. 267.
- Donoghue T., Haller M., Peterson E.J. et al. Parameterizing neural power spectra into periodic and aperiodic components // Nat. Neurosci. 2020. V. 23. № 12. P. 1655.
- Linear Mixed-Effects Models: Basic Concepts and Examples / Mixed-Effects Models in S and S-PLUS: Statistics and Computing. N.Y.: Springer-Verlag, 2000. P. 3.
- Bates D., Mächler M., Bolker B., Walker S. Fitting Linear Mixed-Effects Models Using lme4 // J. Stat. Softw. 2015. V. 67. № 1. P. 1.
- Kuznetsova A., Brockhoff P.B., Christensen R.H.B. lmerTest Package: Tests in Linear Mixed Effects Models // J. Stat. Softw. 2017. V. 82. № 13. P. 1.
- Halekoh U., Højsgaard S. A Kenward-Roger Approximation and Parametric Bootstrap Methods for Tests in Linear Mixed Models – The R Package pbkrtest // J. Stat. Softw. 2014. V. 59. № 9. P. 1.
- van Wijk B.C.M., de Bie R.M.A., Beudel M. A systematic review of local field potential physiomarkers in Parkinson’s disease: from clinical correlations to adaptive deep brain stimulation algorithms // J. Neurol. 2022. V. 270. № 2. P. 1162.
- Kilavik B.E., Ponce-Alvarez A., Trachel R. et al. Context-Related Frequency Modulations of Macaque Motor Cortical LFP Beta Oscillations // Cereb. Cortex. 2012. V. 22. № 9. P. 2148.
- Canessa A., Palmisano C., Isaias I.U., Mazzoni A. Gait-related frequency modulation of beta oscillatory activity in the subthalamic nucleus of parkinsonian patients // Brain Stimul. 2020. V. 13. № 6. P. 1743.
- Foffani G., Bianchi A.M., Baselli G., Priori A. Movement-related frequency modulation of beta oscillatory activity in the human subthalamic nucleus: Movement-related FM in the human STN // J. Physiol. 2005. V. 568. Pt. 2. P. 699.
- Feldmann L.K., Lofredi R., Neumann W.-J. et al. Toward therapeutic electrophysiology: beta-band suppression as a biomarker in chronic local field potential recordings // NPJ Parkinsons Dis. 2022. V. 8. № 1. P. 44.
- Iskhakova L., Rappel P., Deffains M. et al. Modulation of dopamine tone induces frequency shifts in cortico-basal ganglia beta oscillations // Nat. Commun. 2021. V. 12. № 1. P. 7026.
- Johnson M.D., Zhang J., Ghosh D. et al. Neural targets for relieving parkinsonian rigidity and bradykinesia with pallidal deep brain stimulation // J. Neurophysiol. 2012. V. 108. № 2. P. 567.
Supplementary files






