Differentiation of the Functional Systems of Speech and Language and the Study of the Differences of the Neural Networks That Support Them
- Authors: Malanchuk I.G.1, Orlov V.A.1, Kartashov S.I.1, Malakhov D.G.1
-
Affiliations:
- National Research Center “Kurchatov Institute”
- Issue: Vol 49, No 3 (2023)
- Pages: 106-116
- Section: Articles
- URL: https://journals.rcsi.science/0131-1646/article/view/139824
- DOI: https://doi.org/10.31857/S0131164623700224
- EDN: https://elibrary.ru/GEKMAD
- ID: 139824
Cite item
Full Text
Abstract
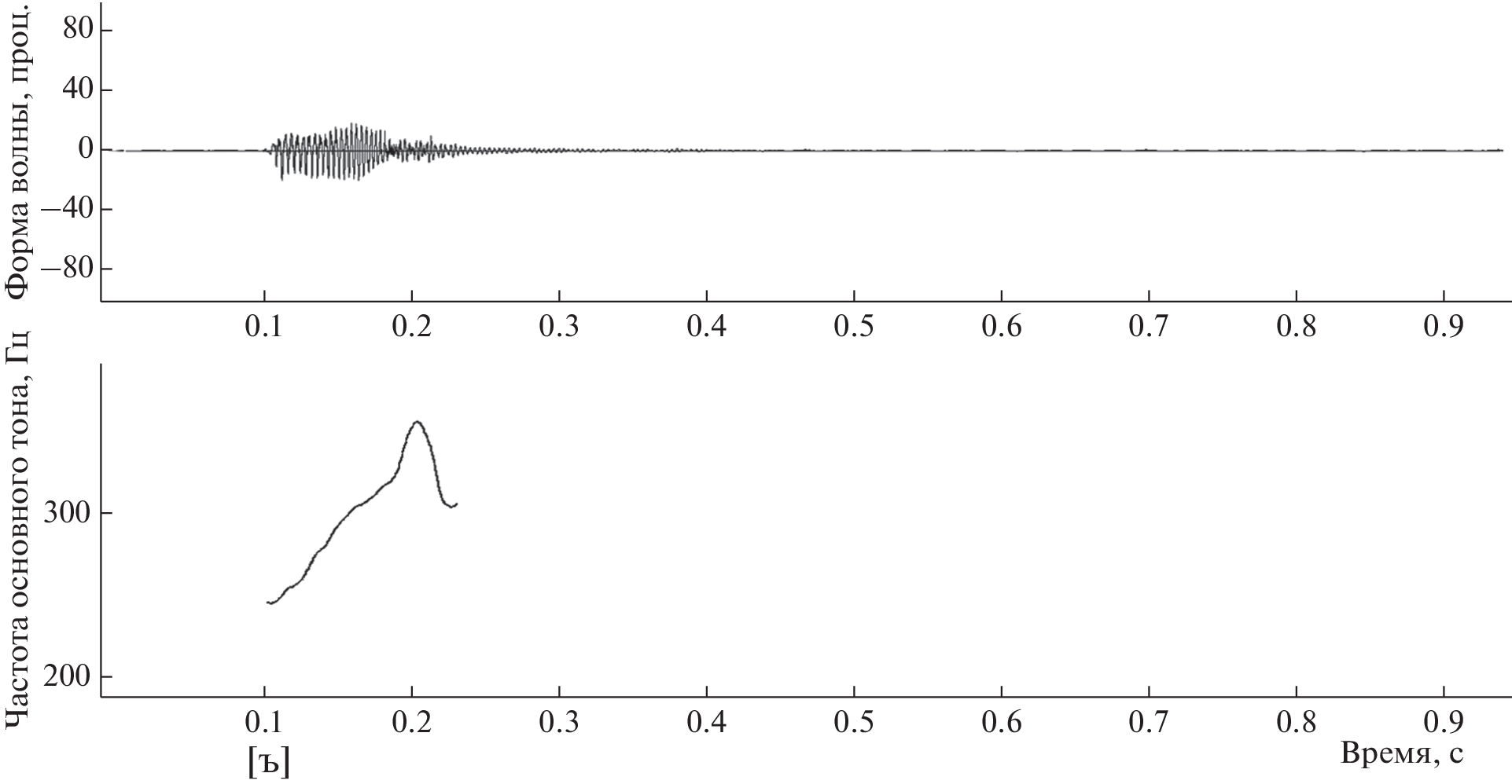
The paper deals with the problem of differentiation of human speech and language systems. Based on the modern ideas in the field of speech psychology, speech study, intonology, the concept of units (forms) of speech as non-linguistic phenomena is formed. These phenomena function as translators of illocutionary meanings in human communication, which mostly are communicative and social goals, as well as the quality of social relations. To support the concept of “Speech vs. Language”, the results of an fMRI study conducted on a sample collection of adults are presented. The differences between the neural networks of the human brain that provide the perception of natural forms of oral speech having the same pragmasemantic content – the actual speech and the minimal structure of speech-language signals are established. Due to the data obtained, the prospects of research related to the analysis of functional connectivity in the structures of two types of networks, as well as with the sequential complication of the speech and language components of the statement and the presentation of multimodal multilevel natural speech-communicative stimuli are discussed. The analysis of the differences between the processes and neural networks of speech and language is important for the development of speech synthesis technologies, diagnostic and communicative artificial intelligence.
About the authors
I. G. Malanchuk
National Research Center “Kurchatov Institute”
Author for correspondence.
Email: cora1@inbox.ru
Russia, Moscow
V. A. Orlov
National Research Center “Kurchatov Institute”
Email: cora1@inbox.ru
Russia, Moscow
S. I. Kartashov
National Research Center “Kurchatov Institute”
Email: cora1@inbox.ru
Russia, Moscow
D. G. Malakhov
National Research Center “Kurchatov Institute”
Email: cora1@inbox.ru
Russia, Moscow
References
- Heuvel M.P., Sporns O. Rich-club organization of the human connectome // J. Neurosci. 2011. V. 31. № 44. P. 15775.
- Poli D., Pastore V.P., Martinoia S., Massobrio P. From functional to structural connectivity using partial correlation in neuronal assemblies // J. Neural Eng. 2016. V. 13. № 2. P. 026023.
- Tremblay P., Dick A.S. Broca and Wernicke are dead, or moving past the classic model of language neurobiology // Brain Lang. 2016. V. 162. P. 60.
- Hamilton L.S., Oganian Yu., Hall J., Chang E.F. Parallel and distributed encoding of speech across human auditory cortex // Cell. 2021. V. 184. № 18. P. 4626.
- Берлов Д.Н., Никитина Е.А. Функциональные ансамбли в мозге человека и животных // Физиология человека. 2021. Т. 47. № 5. С. 118. Berlov D.N., Nikitina E.A. Functional ensembles in the brain of human and animals // Human Physiology. 2021. V. 47. № 5. P. 579.
- Steinschneider M., Nourski K.V., Rhone A.E. et al. Differential activation of human core, non-core and auditory-related cortex during speech categorization tasks as revealed by intracranial recordings // Front. Neurosci. 2014. V. 8. P. 240.
- Щемелева О.В., Жукова О.В., Шелепин Ю.Е. и др. Электрофизиологические показатели деятельности мозга в процессе вербального и невербального взаимодействия собеседников // Физиология человека. 2019. Т. 45. № 6. С. 16. Shchemeleva О.V., Zhukova О.V., Shelepin Yu.Е. et al. Electrophysiological indicators of brain activity in the process of verbal and non-verbal communication during the dialogue // Human Physiology. 2019. V. 45. № 6. P. 587.
- Weiller C., Bormann T., Saur D. et al. How the ventral pathway got lost – And what its recovery might mean // Brain and Lang. 2011. V. 118. № 1-2. P. 29.
- Больгина Т.А., Малютина С.А., Завьялова В.В. и др. Парадигма для определения латерализации языка в мозге: естественнонаучный метод на службе лингвистики // Вестник Российского фонда фундаментальных исследований. 2016. № 3(91). С. 83. Bolgina T.A., Malyutina S.A., Zavyalova V.V. et al. The paradigm of language lateralization in the brain: natural sciences method for linguistics // Russ. Found. Basic Res. J. 2016. № 3(91). P. 83.
- Жирнова В.А., Зырянов А.С., Гордеева Е.А. и др. Функциональное интраоперационное картирование левой височной доли: задание имеет значение / Когнитивная наука в Москве: новые исследования // Материалы конференции, Москва, 19 июня 2019 г. Издательство: БукиВеди, 2019. С. 609.
- Черниговская Т.В., Давтян С.Э., Петрова Н.Н., Стрельников К.Н. Специфика полушарной асимметрии восприятия интонаций в норме и при шизофрении // Физиология человека. 2004. Т. 30. № 4. С. 32. Chernigovskaya T.V., Davtian S.E., Petrova N.N., Strelnikov K.N. Hemispheric asymmetry in prosody perception by healthy subjects and schizophrenic patients // Human Physiology. 2004. V. 30. № 4. P. 403.
- Бахтин М.М. Проблема речевых жанров / Эстетика словесного творчества. М.: Искусство, 1979. С. 237.
- Шмелева Т.В. Модель речевого жанра / Жанры речи. Вып. 1. Саратов: “Колледж”, 1997. С. 88.
- Седов К.Ф. Общая и антропоцентрическая лингвистика. М.: Изд. Дом ЯСК, 2016. 440 с.
- Дементьев В.В. Теория речевых жанров: Монография. М.: Знак, 2010. 600 с.
- Балашова Л.В., Дементьев В.В. Русские речевые жанры. 2-е изд. М.: Изд. Дом ЯСК, 2022. 832 с.
- Брызгунова Е.А. Интонация / Русская грамматика. М.: Наука, 1980. Т. 1. С. 96.
- Кодзасов С.В. Исследования в области русской просодии. М.: Языки славянских культур, 2009. 491 с.
- Янко Т.Е. Интонационные стратегии русской речи в сопоставительном аспекте. М.: Языки славянских культур, 2008. 312 с.
- Янко Т.Е. Просодии и жесты как средства выражения иллокуций / Слово и жест. Научная конференция, посвященная памяти Е.А. Гришиной (“Гришинские чтения”), Москва, 8 февраля 2018 г. М.: Институт русского языка им. В.В. Виноградова РАН, 2018. С. 24.
- Yanko T.E. The system of the Russian prosody // Przegląd Wschodnioeuropejski. (East European Rew.) 2020. V. 11. № 1. P. 317.
- Янко Т.Е. Интеграция речевых актов в структуру дискурса: просодические стратегии // Когнитивные исследования языка. 2019. № 38. С. 587. Yanko T.E. [Speech acts in discourse: the prosodic strategies of marking the discourse links] // Cognitive Studies of Language. 2019. № 38. P. 587.
- Маланчук И.Г. Речь как психический процесс: Монография. Красноярск: КГПУ им. В.П. Астафьева, 2009. 285 с.
- Аннушкин В.И. История русской риторики: Хрестоматия. М.: Флинта, 2016. С. 246.
- Новое в зарубежной лингвистике. Вып. 17. Теория речевых актов. М.: Прогресс, 1986. 423 с.
- Вежбицка А. Речевые жанры / Жанры речи. Вып. 1. Саратов, Колледж, 1997. С. 99.
- Антология речевых жанров: повседневная коммуникация. Под ред. Седова К.Ф. М.: Лабиринт, 2007. 118 с.
- Эффективное речевое общение (базовые компетенции). Под ред. Сковородникова А.П. Красноярск: СФУ, 2014. 852 с.
- Веккер Л.М. Психика и реальность: Единая теория психических процессов. М.: Смысл, 1998. Гл. 21. 679 с.
- Львов М.Р. Язык и речь // Начальная школа. 2001. № 1. С. 83.
- Коваленко Н.А. Системный подход к фразовой просодии слова: автореф. дис. … д-ра филол. наук. М.: ИЯ РАН, 2002. 42 с.
- Попов М.Б. Фонетика современного русского языка: учеб. для вузов. СПб.: СПбГУ, 2014. 303 с.
- Беар М., Коннорс Б.В., Парадизо М.А. Нейронауки. Исследование мозга. 4-е изд., в 3-х т. Т. 3. Мозг и поведение. Изменяющийся мозг. М., СПб.: Диалектика, 2021. Гл. 20. С. 279.
- Баарс Б., Гейдж Н. Мозг, познание, разум: введение в когнитивные нейронауки: в 2-х т. Т. 2. 5-е изд. М.: Лаборатория знаний, 2021. 464 с.
- Циркин В.И., Трухина С.И., Трухин А.Н. Нейрофизиология: основы психофизиологии: учебник для вузов. 2-е изд. М.: Юрайт, 2022. 577 с.
- Больгина Т.А., Малютина С.А., Завьялова В.В. и др. Русскоязычная фМРТ-парадигма для локализации речевых зон в мозге / Седьмая международная конференция по когнитивной науке. Светлогорск, 20–24 июня 2016 г. Тезисы докладов. 2016. С. 163.
- Egorova N., Shtyrov Yu., Pulvermüller F. Brain basis of communicative action in language // Neuroimage. 2016. V. 125. P. 857.
- Guex R., Grandjean D., Frühholz S. Behaioral correlates of temporal attention biases during emotional prosody perception // Sci. Rep. 2022. V. 12. № 1. P. 16754.
- Sheppard S., Stockbridge M., Murray L., Blake M. The company prosodic deficits keep following right hemisphere stroke: a systematic review // J. Int. Neuropsychol. Soc. 2022. V. 28. № 10. P. 1075.
- Petkov C.I., Jarvis E.D. Birds, primates, and spoken language origins: behavioral phenotypes and neurobiological substrates // Front. Evol. Neurosci. 2012. V. 4. P. 12.
- Scharff C., Friederici A.D., Petrides M. Neurobiology of human language and its evolution: primate and non-primate perspectives // Front. Evol. Neurosci. 2013. V. 5. P. 1.
- Searcy W.A., Nowicki S. Birdsong learning, avian cognition and the evolution of language // Anim. Behav. 2019. V. 151. P. 217.
- Lipkind D., Geambasu A., Levelt C. The development of structured vocalizations in songbirds and humans: a comparative analysis // Top. Cogn. Sci. 2020. V. 12. № 3. P. 894.
- Bruno J.H., Jarvis E.D., Liberman M., Tchernichovski O. Birdsongs learning and culture: analogies with human spoken language // Ann. Rew. Ling. 2021. V. 7. № 1. P. 449.
- Jüchter C., Beutelmann R., Klump G.M. Speech sound discrimination by Mongolian gerbils // Hear. Res. 2022. V. 418. P. 108472.
- Scott S.K., Wise R.J.S. The functional neuroanatomy of prelexical processing in speech perception // Cognition. 2004. V. 92. № 1–2. P. 13.
- Ляксо Е.Е. Вокально-речевое развитие ребенка в первый год жизни // Рос. физиол. журн. им. И.М. Сеченова. 2003. Т. 89. № 2. С. 207. Lyakso E.E. [Vocal and speech development of a child in the first year of life] // Ross. Fiziol. Zh. Im. I. M. Sechenova. 2003. V. 89. № 2. P. 207.
- Цейтлин С.Н. Некоторые особенности начального детского синтаксиса / Русское слово и русский текст: история и современность. Сб. науч. статей. СПб.: РГПУ им. А.И. Герцена, 2007. С. 189.
- Mahmoudzadeh M., Dehaene–Lambertz G., Fournier M. et al. Sillabic discrimination in premature human infants prior to complete formation of cortical layers // PNAS. 2013. V. 110. № 12. P. 4846.
- Friedrich M., Friederici A.D. The origins of word learning: Brain responses of 3-month-olds indicate their rapid association of object and words // Dev. Sci. 2015. V. 20. № 2. P. e12357.
- Dehaene–Lambertz G. The human infant brain: A neural architecture able to learn language // Psychon. Bull. Rev. 2017. V. 24. № 1. P. 48.
- Fló A., Benjamin L., Palu M., Dehaene–Lambertz G. Sleeping neonates track transitional probabilities in speech but only retain the first syllable of words // Sci. Rep. 2022. V. 12. № 1. P. 4391.
- Menn K.H., Michel C., Meyer L. et al. Natural infant-directed speech facilitates neural tracking of prosody // Neuroimage. 2022. V. 251. P. 118991.
- Stern D.N. The first relationship: infant and mother. Cambridge: Harvard Univ. Press, 1977. 149 p.
- Маланчук И.Г. Развитие диалогических форм речи у ребенка на первом году жизни / Детская речь как предмет лингвистического исследования: материалы междунар. конф. Отв. ред. С.Н. Цейтлин. СПб., 2004. С. 163.
- Dore J. The development of speech acts. The Hague: Mouton, 1975.
- Николаева Т.М. О “лингвистике речи” (в частности, о междометии) // Вопросы языкознания. 2015. № 4. С. 7. Nikolaeva T.M. [On the “linguistics of speech”] // Voprosy Jazykoznanija. 2015. № 4. P. 7.
- Выпуск 5: Жанр и культура / Жанры речи. Отв. ред. В.В. Дементьев. Саратов: ИЦ “Наука”, 2007. 440 с.
- Сидоренко А.В. Детская клятва в советскую эпоху: речежанровые характеристики // Жанры речи. 2016. № 2(14). С. 72. Sidorenko A.V. Children’s oath in the Soviet era: speech genre characteristics // Speech Genres. 2016. № 2(14). P. 72.
- Кощеева О.В. Ребенок, речевой жанр и творчество: к проблеме становления жанров в детской речи / Жанры речи: сб. науч. ст. Саратов; М.: Лабиринт, 2012. Вып. 8. С. 237.
- Пешковский А.М. Русский синтаксис в научном освещении. 8-е изд., доп. М.: Языки славянской культуры, 2001. 544 с.
- Рабенко Т.Г. Инвариантные и вариантные признаки жанров естественной письменной речи (на материале жанров “личный дневник”, “личное письмо”, “личная записка”) // Жанры речи. 2020. № 1(25). С. 6. Rabenko T.G. The genres of natural writing “personal diary”, “personal letter”, “personal note”: invariant and variant // Speech Genres. 2020. № 1(25). P. 6.
- Gillis M., Vanthornhout J., Simon J.Z. et al. Neural markers of speech comprehension: measuring EEG tracking of linguistic speech representations, controlling the speech acoustics // J. Neurosci. 2021. V. 41. № 50. P. 10316.
- Broderick M.P., Zuk N.J., Anderson A.J., Lalor E.C. More than words: neurophysiological correlates of semantic dissimilarity depend on comprehension of the speech narrative // Eur. J. Neurosci. 2022. V. 56. № 8. P. 5201.
- Preisig B.C., Riecke L., Hervais-Adelman A. Speech sound categorization: The contribution of non-auditory and auditory cortical regions // Neuroimage. 2022. V. 258. P. 119375.
- Tomasello R., Grisoni L., Boux I. et al. Instantaneous neural processing of communicative functions conveyed by speech prosody // Cereb. Cortex. 2022. V. 32. № 21. P. 4885.
- Кантер Л.А. Просодические характеристики речи как объект системного анализа: автореф. дис. … докт. филол. наук. М.: ИЯ АН СССР, 1990. 52 с.
- Ischebeck A.K., Friederici A.D., Alter K. Processing prosodic boundaries in natural and hummed speech: an fMRI study // Cereb. Cortex. 2008. V. 18. № 3. P. 541.
- Steinhauer K., Alter K., Friederici A.D. Brain potentials indicate immediately use of prosodic cues in natural speech processing // Nat. Neurosci. 1999. V. 2. № 2. P. 191.
- Ćwiek A., Fuchs S., Draxler Ch. et al. Novel vocalizations are understood across cultures // Sci. Rep. 2021. V. 11. № 1. P. 1.
- Aso M., Takamichi Sh., Takamune N., Saruwatari H. Acoustic model-based subword tokenization and prosodic-context extraction without language knowledge for text-to-speech synthesis // Speech Comm. 2020. V. 125. P. 53.
- Dick A.S., Bernal B., Tremblay P. The language connectome: new pathways, new concepts // Neuroscientist. 2014. V. 20. № 5. P. 453.
- Gansonre C., Højlund A., Leminen A. et al. Task-free auditory EEG paradigm for probing multiple levels of speech processing in the brain // Psychophysiology. 2018. V. 55. № 11. P. e13216.
- Brown E.C., Stedelin B., Koike S. et al. Speech-related auditory salience detection in the posterior superior temporal region // Neuroimage. 2022. V. 248. P. 118840.
- Soltani A., Koechlin E. Computational models of adaptive behavior and prefrontal cortex // Neuropsychopharmacol. 2022. V. 47. № 1. P. 58.
- Schmahmann J.D., Guell X., Stoodley C.J., Halko M.A. The theory and neuroscience of cerebellar cognition // Annu. Rev. Neurosci. 2019. V. 42. P. 337.
- Runnqvist E., Chanoine V., Strijkers K. et al. The cerebellum is involved in internal and external speech error monitoring // Cereb. Cortex Comm. 2021. V. 2. № 2. P. tgab038.
- LeBel A., Jain S., Huth A.G. Voxelwise encoding models show that cerebellar language representations are highly conceptual // J. Neurosci. 2021. V. 41. № 50. P. 10341.
- Morales M., Patel T., Tamm A. et al. Similar neural networks respond to coherence during comprehension and production of discourse // Cereb. Cortex. 2022. V. 32. № 19. P. 4317.
- Battiston F., Guillon J., Chavez M. et al. Multiplex core-periphery organization of the human connectome // J. R. Soc. Interface. 2018. V. 15. № 146. P. 20180514.
- Severijnen G.G.A., Bosker H.R., Piai V., McQueen J.M. Listeners track talker-specific prosody to deal with talker-variability // Brain Res. 2021. V. 1769. P. 147605.
Supplementary files






