Continuous Theta-Burst Stimulation of the Primary Motor Cortex Induces Specific Influence on Novel Vocabulary Acquisition in Different Learning Environments
- Authors: Perikova E.I.1, Blinova E.N.1, Andriushchenko E.A.1, Blagovechtchenski E.D.1,2, Shcherbakova .V.1, Shtyrov Y.Y.3
-
Affiliations:
- Saint Petersburg State University
- Pavlov Institute of Physiology, RAS
- Aarhus University
- Issue: Vol 49, No 3 (2023)
- Pages: 96-105
- Section: Articles
- URL: https://journals.rcsi.science/0131-1646/article/view/139822
- DOI: https://doi.org/10.31857/S0131164622600896
- EDN: https://elibrary.ru/GEOSNG
- ID: 139822
Cite item
Full Text
Abstract
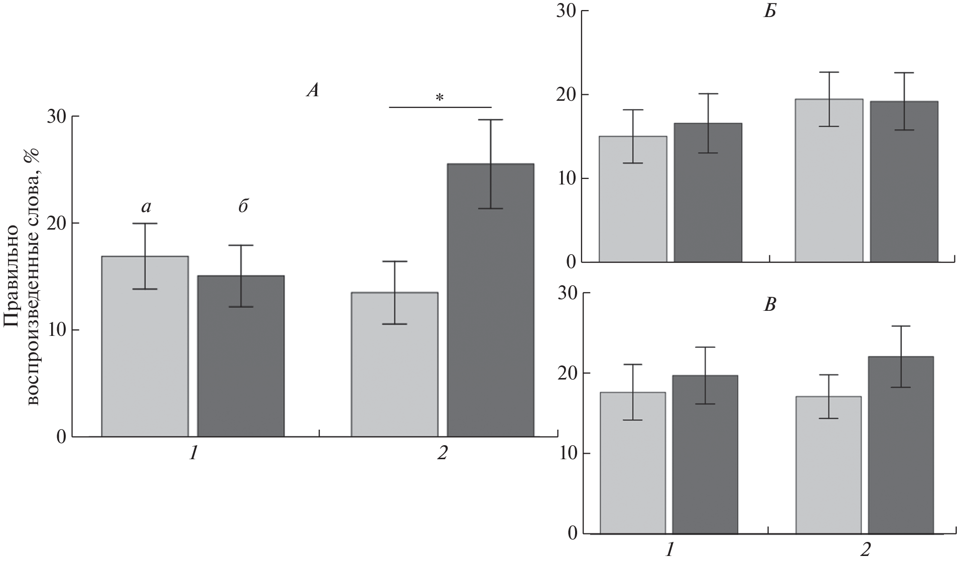
The primary motor cortex takes part in various stages of language learning accompanied by human motor activity. However, previous studies of causal relationships between the activation of primary motor cortex and efficiency of language tasks reveal contradictory results, likely due to diverging learning environments and specific movement patterns required by different experimental designs. The goal of this research was to comprehensively investigate the effect of continuous theta-burst magnetic stimulation (cTBS) of the primary motor cortex on the acquisition of new words while modulating the learning environment and the motor response during the learning process. Following cTBS of the primary motor cortex or control conditions (sham and active control cTBS), the subjects (n = 96) completed a novel word learning task, which involved associating visually presented objects with spoken word forms using a virtual reality (VR) or conventional computer monitor environment. In each environment, the subjects were exposed to eight novel words embedded into questions about visual stimulus properties in order to prompt novel associations. Responses to these questions could be performed either by distal or by proximal hand movements. The outcome of the word acquisition was measured using a free recall task immediately after the training and on the next day. The results showed significant differences in the success of recalling new words immediately after the learning session and on the next day only in those subjects who received cTBS of the primary motor cortex; furthermore, this effect was specific to proximal movements in both learning environments. The results suggest that the motor cortex is directly involved in acquiring novel vocabulary during active interaction with the learning material.
About the authors
E. I. Perikova
Saint Petersburg State University
Author for correspondence.
Email: e.perikova@spbu.ru
Russia, St. Petersburg
E. N. Blinova
Saint Petersburg State University
Email: e.perikova@spbu.ru
Russia, St. Petersburg
E. A. Andriushchenko
Saint Petersburg State University
Email: e.perikova@spbu.ru
Russia, St. Petersburg
E. D. Blagovechtchenski
Saint Petersburg State University; Pavlov Institute of Physiology, RAS
Email: e.perikova@spbu.ru
Russia, St. Petersburg; Russia, St. Petersburg
O. V. Shcherbakova
Saint Petersburg State University
Email: e.perikova@spbu.ru
Russia, St. Petersburg
Y. Y. Shtyrov
Aarhus University
Email: e.perikova@spbu.ru
Denmark, Aarhus
References
- Tulving E. Precis of Episodic Memory // Behav. Brain Sci. 1984. V. 7. № 2. P. 223.
- Barsalou L.W. Grounded cognition // Annu. Rev. Psychol. 2008. V. 59. P. 617.
- Pulvermüller F. Brain mechanisms linking language and action // Nat. Rev. Neurosci. 2005. V. 6. № 7. P. 576.
- Matheson H.E., Barsalou L.W. Embodiment and Grounding in Cognitive Neuroscience / Stevens’ Handbook of Experimental Psychology and Cognitive Neuroscience (4th ed.) // Eds. Wixted J.T., Phelps E.A., Davachi L. Wiley, 2018. P. 1.
- Ведясова О.А., Моренова К.А., Павленко С.И. Электроэнцефалографические и вегетативные корреляты воображаемых и реальных движений ног у правшей и левшей // Физиология человека. 2022. Т. 48. № 5. С. 38. Vedyasova O.A., Morenova K.A., Pavlenko S.I. Electroencephalographic and autonomic correlates of imaginary and real movements of legs in right-handers and left-handers // Human Physiology. 2022. V. 48. № 5. P. 516.
- Buccino G., Riggio L., Melli G. et al. Listening to action–related sentences modulates the activity of the motor system: A combined TMS and behavioral study // Cogn. Brain Res. 2005. V. 24. № 3. P. 355.
- Taylor L.J., Zwaan R.A. Action in cognition: The case of language // Lang. Cogn. 2009. V. 1. № 1. P. 45.
- Postle N., McMahon K.L., Ashton R. et al. Action word meaning representations in cytoarchitectonically defined primary and premotor cortices // Neuroimage. 2008. V. 43. № 3. P. 634.
- Clark G.M., Barham M.P., Ware A.T. et al. Dissociable implicit sequence learning mechanisms revealed by continuous theta-burst stimulation // Behav. Neurosci. 2019. V. 133. № 4. P. 341.
- Vukovic N., Feurra M., Shpektor A. et al. Primary motor cortex functionally contributes to language comprehension: An online rTMS study // Neuropsychologia. 2017. V. 96. P. 222.
- Нарышкин А.Г., Галанин И.В., Егоров А.Ю. Управляемая нейропластичность // Физиология человека. 2020. Т. 46. № 2. С. 112. Naryshkin A.G., Galanin I.V., Egorov A.Yu. Controlled Neuroplasticity // Human Physiology. 2020. V. 46. № 2. P. 216.
- Jannati A., Oberman L.M., Rotenberg A., Pascual-Leone A. Assessing the mechanisms of brain plasticity by transcranial magnetic stimulation // Neuropsychopharmacology. 2023. V. 48. № 1. P. 191.
- Huang Y.Z., Edwards M.J., Rounis E. et al. Theta burst stimulation of the human motor cortex // Neuron. 2005. V. 45. № 2. P. 201.
- Repetto C., Colombo B., Cipresso P., Riva G. The effects of rTMS over the primary motor cortex: The link between action and language // Neuropsychologia. 2013. V. 51. № 1. P. 8.
- Murteira A., Sowman P.F., Nickels L. Does TMS disruption of the left primary motor cortex affect verb retrieval following exposure to pantomimed gestures? // Front. Neurosci. 2018. V. 12. P. 920.
- Tomasino B., Fink G.R., Sparing R. et al. Action verbs and the primary motor cortex: A comparative TMS study of silent reading, frequency judgments, and motor imagery // Neuropsychologia. 2008. V. 46. № 7. P. 1915.
- Witt J.K., Kemmerer D., Linkenauger S.A., Culham J. A functional role for motor simulation in identifying tools // Psychol. Sci. 2010. V. 21. № 9. P. 1215.
- Xie Y., Chen Y., Ryder L.H. Effects of using mobile-based virtual reality on Chinese L2 students’ oral proficiency // Comput. Assist. Lang. Learn. 2021. V. 34. № 3. P. 225.
- Ковалев А.И., Роголева Ю.А., Егоров С.Ю. Сравнение эффективности применения технологий виртуальной реальности с традиционными образовательными средствами // Вестник Московского университета. Сер. 14: Психология. 2019. № 4. С. 44. Kovalev A.I., Rogoleva Yu.A., Egorov S.Yu. A Comparison of the effectiveness of learning using virtual reality and traditional educational methods // Moscow University Psychology Bulletin. 2019. № 4. P. 44.
- Legault J., Zhao J., Chi Y.A. et al. Immersive Virtual Reality as an Effective Tool for Second Language Vocabulary Learning // Languages. 2019. V. 4. № 1. P. 13.
- Repetto C., Di Natale A.F., Villani D. et al. The use of immersive 360° videos for foreign language learning: a study on usage and efficacy among high-school students // Interact. Learn. Envir. 2021. https://doi.org/10.1080/10494820.2020.1863234
- Alfadil M. Effectiveness of virtual reality game in foreign language vocabulary acquisition // Computers & Education. 2020. V. 153. P. 103893.
- Vázquez C., Xia L., Aikawa T., Maes P. Words in motion: Kinesthetic language learning in virtual reality / 2018 IEEE 18th International Conference on Advanced Learning Technologies. 09-13 July, 2018. P. 272.
- Vukovic N., Hansen B., Lund T.E. et al. Rapid microstructural plasticity in the cortical semantic network following a short language learning session // PLoS B-iol. 2021. V. 19. № 6. P. e3001290.
- Oldfield R.C. The assessment and analysis of handedness: The Edinburgh inventory // Neuropsychologia. 1971. V. 9. № 1. P. 97.
- Ясюкова Л.А. Тест Амтхауэра. Диагностика структуры интеллекта. СПб.: Питер, 2007. 80 с.
- Перикова Е.И., Блинова Е.Н., Андрющенко Е.А. Влияние обучающей среды на имплицитное и эксплицитное научение новым словам: результаты пилотажного исследования // Сибирский психологический журн. 2022. № 85. С. 174. Perikova E.I., Blinova E.N., Andriushchenko E.A. The Influence of the Learning Environment on Fast Mapping and Explicit Encoding of New Vocabulary: Results of a Pilot Study // Siber. J. Psychol. 2022. № 85. P. 174.
- Clark H.H. The language-as-fixed-effect fallacy: A critique of language statistics in psychological research // J. Verbal Learning Verbal Behav. 1973. V. 12. P. 335.
- Penfield W., Boldrey E. Somatic motor and sensory representation in the cerebral cortex of man as studied by electrical stimulation // Brain J. 1937. V. 60. № 4. P. 389.
- Yousry T.A., Schmid U.D., Alkadhi H. et al. Localization of the motor hand area to a knob on the precentral gyrus. A new landmark // Brain. 1997. V. 120. Pt. 1. P. 141.
- Cisek P., Pastor-Bernier A. On the challenges and mechanisms of embodied decisions // Philos. Trans. R. Soc. B: Biol. Sci. 2014. V. 369. № 1655. P. 20130479.
- Derosiere G., Zénon A., Alamia A., Duque J. Primary motor cortex contributes to the implementation of implicit value-based rules during motor decisions // Neuroimage. 2017. V. 146. P. 1115.
- Bhattacharjee S., Kashyap R., Abualait T. et al. The role of primary motor cortex: more than movement execution // J. Motor Behav. 2021. V. 53. № 2. P. 258.
- Barrett R.C.A., Poe R., O’Camb J.W. et al. Comparing virtual reality, desktop-based 3D, and 2D versions of a category learning experiment // PLoS One. 2022. V. 17. № 10. P. e0275119.
- Dumay N., Gaskell M.G. Overnight lexical consolidation revealed by speech segmentation // Cognition. 2012. V. 123. № 1. P. 119.
- Shtyrov Y., Kirsanov A., Shcherbakova O. Explicitly Slow, Implicitly Fast, or the Other Way Around? Brain Mechanisms for Word Acquisition // Front. Hum. Neurosci. 2019. V. 13. P. 116.
- Васильева М. Ю., Князева В. М., Александров А.А., Штыров Ю.Ю. Сверхбыстрое усвоение новой лексики: нейрофизиологические корреляты механизма “fast mapping” у детей и взрослых / От слова – к репрезентации. Нейрокогнитивные основы вербального научения. СПб.: Скифия-принт, 2022. С. 144.
- Papin K., Kaplan–Rakowski R. A study of vocabulary learning using annotated 360° pictures // Comput. Assist. Lang. Learn. 2022. https://doi.org/10.1080/09588221.2022.2068613




