Neurophysiological Characteristics of “Transferring” the Metaphorical Meaning of Images Into Original Titles
- Authors: Nagornova Z.V.1, Galkin V.A.1, Shemyakina N.V.1
-
Affiliations:
- Sechenov Institute of Evolutionary Physiology and Biochemistry, RAS
- Issue: Vol 49, No 3 (2023)
- Pages: 52-66
- Section: Articles
- URL: https://journals.rcsi.science/0131-1646/article/view/139808
- DOI: https://doi.org/10.31857/S0131164623700236
- EDN: https://elibrary.ru/GHXLHN
- ID: 139808
Cite item
Full Text
Abstract
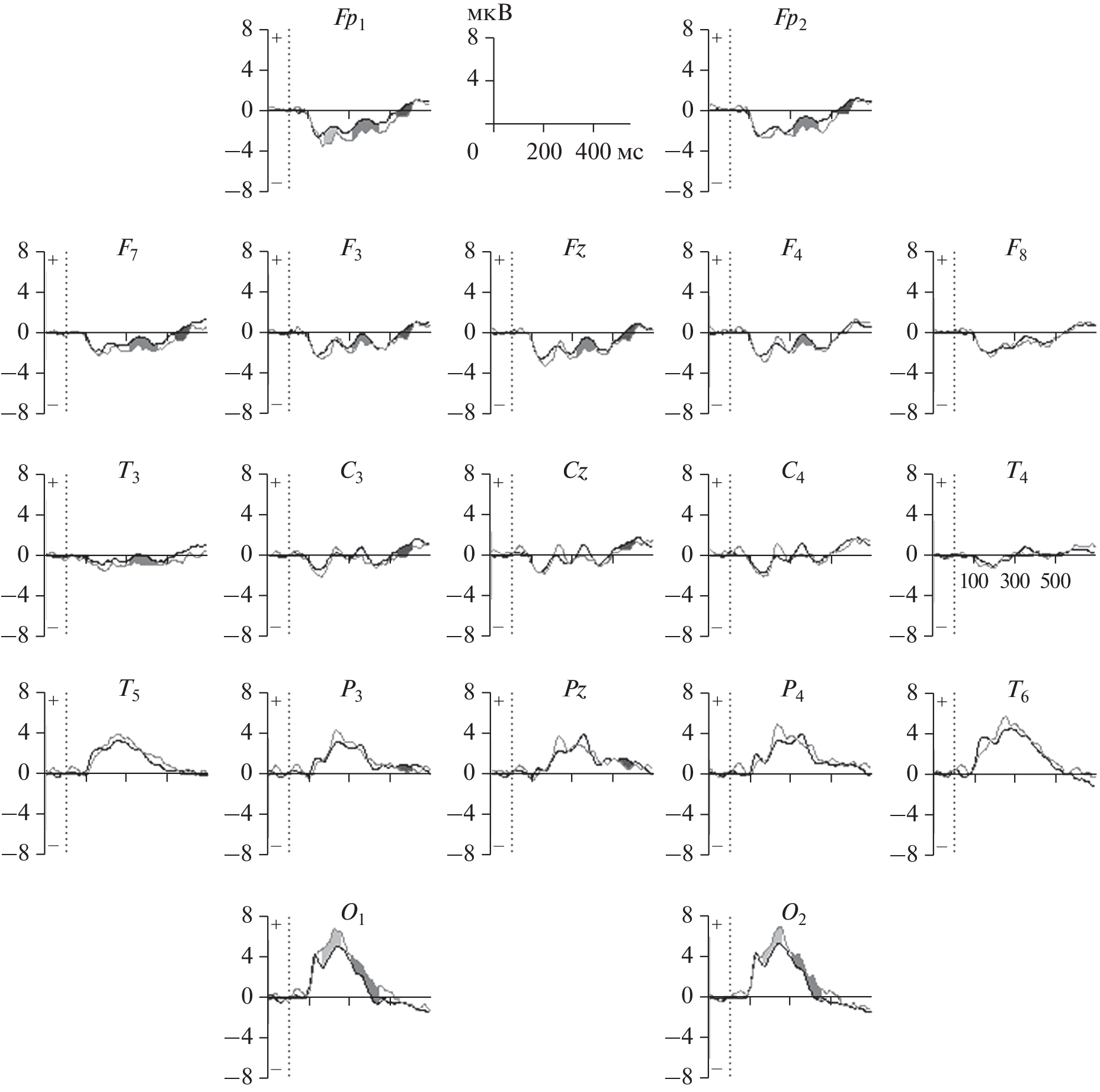
In the ERP study we aimed to find differences between creating titles for artistic images distinguishing by their meaning and stylistics. Thirty six adolescents (16 m; 20 f. Mean age: 15.9 ± 1.1 years) took part in two studies. Images from three categories – “cartoons”, “plot sketches”, “paintings” – full of metaphors and symbols were used as the stimuli. We considered creating titles for “cartoons” and “plot sketches” of modern artists as convergent creative task based on guessing of artists thought, at the same time the task – creating the titles for “paintings” was considered by us as more open and divergent creative task. During creating titles ERP’s amplitude for the “plot sketches” vs “cartoons” was higher in parietal-occipital and frontal, central, parietal areas on intervals 116–208 and 492–656 ms respectively. During creating titles for the paintings in the author’s style vs realistic paintings differences in ERP’s amplitude were found in occipital areas (152–264 ms), frontal and occipital areas bilateral (208–440 ms) and in frontal, temporal, central, parietal areas with maximum in the left hemisphere (544–600 ms). Late positive wave with different latency, was found in two studies – “plot sketches” vs “cartoons”(492–656 ms) and – “author’s style” vs realistic images (544–600 ms) and suggested to be connected with the extraction and analysis of the metaphorical meaning and symbols in the images for creating of the verbal interpretation (title). Only in performing a convergent creative task (closely related to the interpretation of the artist’s idea), finding the answer was accompanied by a smaller amplitude of late differences in the interval of 1300–1650 ms (more than 1500 ms before the moment when the answer was marked as have been found), while there were no significant differences between finding and not finding the answer in the second study. With the same task and in the conditions of finding/not finding the answer, we assumed that in the first study a process of comparing one’s own ideas with a certain desired (laid down by the author) meaning, that was expressed more strongly than in the second study, was needed.
About the authors
Zh. V. Nagornova
Sechenov Institute of Evolutionary Physiology and Biochemistry, RAS
Author for correspondence.
Email: nagornova_zh@mail.ru
Russia, St. Petersburg
V. A. Galkin
Sechenov Institute of Evolutionary Physiology and Biochemistry, RAS
Email: nagornova_zh@mail.ru
Russia, St. Petersburg
N. V. Shemyakina
Sechenov Institute of Evolutionary Physiology and Biochemistry, RAS
Email: nagornova_zh@mail.ru
Russia, St. Petersburg
References
- Fink A., Benedek M., Grabner R.H. Creativity meets neuroscience: experimental tasks for the neuroscientific study of creative thinking // Methods. 2007. V. 42. № 1. P. 68.
- Luo J., Knoblich G. Studying insight problem solving with neuroscientific methods // Methods. 2007. V. 42. № 1. P. 77.
- Dietrich A., Kanso R. A review of EEG, ERP, and neuroimaging studies of creativity and insight // Psychol. Bull. 2010. V. 136. № 5. P. 822.
- Pidgeon L.M., Grealy M., Duffy A.H. et al. Functional neuroimaging of visual creativity: a systematic review and meta-analysis // Brain Behav. 2016. V. 6. № 10. P. e00540.
- Бехтерева Н.П. Магия творчества и психофизиология. Факты, соображения, гипотезы, СПб.: Институт мозга человека РАН, 2006. 79 с.
- Runco M.A., Jaeger G.J. The standard definition of creativity // Creat. Res. J. 2012. V. 24. № 1. P. 92.
- Шемякина Н.В., Данько С.Г., Нагорнова Ж.В. и др. Динамика спектров мощности и когерентности ритмических компонентов ЭЭГ при решении вербальной творческой задачи преодоления стереотипа // Физиология человека. 2007. Т. 33. № 5. С. 14. Shemyakina N.V., Danko S.G., Nagornova Zh.V. et al. Changes in the power and coherence spectra of the EEG rhythmic components during solution of a verbal creative task of overcoming a stereotype // Human Physiology. 2007. V. 33. № 5. P. 524.
- Shemyakina N.V., Nagornova Z.V. EEG “Signs” of Verbal Creative Task Fulfillment with and without Overcoming Self-Induced Stereotypes // Behav. Sci. 2019. V. 10. № 1. P. 17.
- Camarda A., Salvia É., Vidal J. et al. Neural basis of functional fixedness during creative idea generation: An EEG study // Neuropsychologia. 2018. V. 118. Pt. A. P. 4.
- Sternberg R.J. The Nature of Creativity // Creat. Res. J. 2006. V. 18. № 1. P. 87.
- Bechtereva N.P. The usefulness of psychophysiology in the maintenance of cognitive life // Int. J. Psychophysiol. 2009. V. 73. № 2. P. 83.
- Mednick S.A. The associative basis of the creative process // Psychol. Rev. 1962. V. 69. P. 220.
- Benedek M., Neubauer A.C. Revisiting Mednick’s Model on Creativity-Related Differences in Associative Hierarchies. Evidence for a Common Path to Uncommon Thought // J. Creat. Behav. 2013. V. 47. № 4. P. 273.
- Abraham A. Creative thinking as orchestrated by semantic processing vs. cognitive control brain networks // Front. Hum Neurosci. 2014. V. 8. P. 95.
- Гилфорд Дж. Три стороны интеллекта / Психология мышления. М.: Прогресс, 1965. 534 с.
- Kenett Y.N., Gold R., Faust M. Metaphor Comprehension in Low and High Creative Individuals // Front. Psychol. 2018. V. 9. P. 482.
- Marinkovic K., Baldwin S., Courtney M.G. et al. Right hemisphere has the last laugh: neural dynamics of joke appreciation // Cogn. Affect. Behave. Neurosci. 2011. V. 11. № 1. P. 113.
- Perchtold-Stefan C.M., Fink A., Rominger C., Papousek I. Motivational Factors in the Typical Display of Humor and Creative Potential: The Case of Malevolent Creativity // Front. Psychol. 2020. V. 11. P. 1213.
- Javaid S.F., Pandarakalam J.P. The Association of Creativity with Divergent and Convergent Thinking // Psychiat. Danub. 2021. V. 33. № 2. P. 133.
- Vartanian O. Dissociable neural systems for analogy and metaphor: implications for the neuroscience of creativity // Br. J. Psychol. 2012. V. 103. № 3. P. 302.
- Brawer J., Amir O. Mapping the 'funny bone': neuroanatomical correlates of humor creativity in professional comedians // Soc. Cogn. Affect. Neurosci. 2021. V. 16. № 9. P. 915.
- Lu A., Zhang J.X. Event-related potential evidence for the early activation of literal meaning during comprehension of conventional lexical metaphors // Neuropsychologia. 2012. V. 50. № 8. P. 1730.
- Bambini V., Bertini C., Schaeken W. et al. Disentangling Metaphor from Context: An ERP Study // Front. Psychol. 2016. V. 7. P. 559.
- Rataj K., Przekoracka–Krawczyk A., van der Lubbe R.H.J. On understanding creative language: The late positive complex and novel metaphor // Brain Res. 2018. V. 1678. P. 231.
- Cardillo E.R., Watson C.E., Schmidt G.L. et al. From novel to familiar: tuning the brain for metaphors // Neuroimage. 2012. V. 59. № 4. P. 3212.
- Jończyk R., Kremer G.E., Siddique Z., van Hell J.G. Engineering creativity: Prior experience modulates electrophysiological responses to novel metaphors // Psychophysiology. 2020. V. 57. № 10. P. e13630.
- Melogno S., Pinto M.A., Pollice C. et al. Understanding Novel Metaphors: A Milestone in the Developmental Trajectory of Children with Agenesis of the Corpus Callosum? // Brain Sci. 2020. V. 10. № 10. P. 10753.
- Hartung F., Kenett Y.N., Cardillo E.R. et al. Context matters: Novel metaphors in supportive and non-supportive contexts // Neuroimage. 2020. V. 212. P. 116645.
- Никитина С.Е., Васильева Н.В. Экспериментальный системный толковый словарь стилистических терминов / Принципы составления и избранные словарные статьи. М.: РАН, Ин-т языкознания, 1996. 93 с.
- Ожегов С.И., Шведова Н.Ю. Толковый словарь русского языка. М.: ООО “А ТЕМП”, 2006. 353 с.
- Sun L., Chen H., Zhang C. et al. Decoding brain activities of literary metaphor comprehension: An event-related potential and EEG spectral analysis // Front. Psychol. 2022. V. 13. P. 913521.
- Ma Q., Hu L., Xiao C. et al. Neural correlates of multimodal metaphor comprehension: Evidence from event-related potentials and time-frequency decompositions // Int. J. Psychophysiol. 2016. V. 109. P. 81.
- Adamczyk P., Jáni M., Ligeza T.S. et al. On the Role of Bilateral Brain Hypofunction and Abnormal Lateralization of Cortical Information Flow as Neural Underpinnings of Conventional Metaphor Processing Impairment in Schizophrenia: An fMRI and EEG Study // Brain Topogr. 2021. V. 34. № 4. P. 537.
- Deckert M., Schmoeger M., Geist M. et al. Electrophysiological correlates of conventional metaphor, irony, and literal language processing – An event-related potentials and eLORETA study // Brain Lang. 2021. V. 215. P. 104930.
- Bardolph M., Coulson S. How vertical hand movements impact brain activity elicited by literally and metaphorically related words: an ERP study of embodied metaphor // Front. Hum. Neurosci. 2014. V. 8. P. 1031.
- Casasanto D., de Bruin A. Metaphors we learn by: Directed motor action improves word learning // Cognition. 2019. V. 182. P. 177.
- Yang J., Shu H. Involvement of the Motor System in Comprehension of Non-Literal Action Language: A Meta-Analysis Study // Brain Topogr. 2015. V. 29. № 1. P. 94.
- Diaz M.T., Eppes A. Factors Influencing Right Hemisphere Engagement During Metaphor Comprehension // Front. Psychol. 2018. V. 9. P. 414.
- Sotillo M., Carretié L., Hinojosa J.A. et al. Neural activity associated with metaphor comprehension: spatial analysis // Neurosci. Lett. 2005. V. 373. № 1. P. 5.
- Lee S.S., Dapretto M. Metaphorical vs. literal word meanings: fMRI evidence against a selective role of the right hemisphere. // NeuroImage. 2006. V. 29. № 2. P. 536.
- Rapp A.M., Leube D.T., Erb M. et al. Neural correlates of metaphor processing. // Cogn. Brain Res. 2004. V. 20. № 3. P. 395.
- Schmidt G.L., Seger C.A. Neural correlates of metaphor processing: the roles of figurativeness, familiarity and difficulty // Brain Cogn. 2009. V. 71. № 3. P. 375.
- García-Madariaga J., Moya I., Recuero N., Blasco M.F. Revealing Unconscious Consumer Reactions to Advertisements That Include Visual Metaphors. A Neurophysiological Experiment // Front. Psychol. 2020. V. 12. № 11. P. 760.
- Wang R.W.Y., Liu I.N. Temporal and electroencephalography dynamics of surreal marketing // Front. Neurosci. 2022. V. 16. P. 949008.
- Raven J., Raven J. Raven Progressive Matrices / Handbook of nonverbal assessment. Kluwer Academic // Ed. McCallum R.S. Plenum Publishers, 2003. P. 223.
- Mednick T., Mednick F.M. Creative Thinking and Level of Intelligence // J. Creat. Behav. 1967. V. 1. P. 428.
- Воронин А.Н., Галкина Т.В. Диагностика вербальной креативности (адаптация теста Медника) // Методы психологической диагностики. 1994. № 2. С. 40.
- Туник Е.Е. Диагностика креативности. Тест Е. Торренса / Адаптированный вариант. СПб.: Речь, 2006. С. 176.
- Shemyakina N.V., Nagornova Zh.V. Event-Related Changes In EEG Spectral Power Corresponding to Creative and Trivial Decisions // Russ. J. Physiol. 2020. V. 106. № 7. P. 880.
- Шемякина Н.В., Нагорнова Ж.В. Действительно ли инструкция “быть оригинальным и придумывать” влияет на ЭЭГ-корреляты выполнения творческих задач? // Физиология человека. 2020. Т. 46. № 6. С. 5. Shemyakina N.V., Nagornova Zh.V. Does the instruction “be original and create” actually affect the EEG correlates of performing creative tasks? // Human Physiology. 2020. V. 46. № 6. P. 587.
- Нагорнова Ж.В., Галкин В.А., Васенькина В.А. и др. Нейрофизиологические характеристики придумывания альтернативного использования по данным анализа вызванных потенциалов (ВП) и связанной с событиями синхронизации/десинхронизации ЭЭГ в зависимости от уровня продуктивности и оригинальности испытуемых // Физиология человека. 2022. Т. 48. № 6. С. 3. Nagornova Zh.V., Galkin V.A., Vasen’kina V.A. Neurophysiological Characteristics of Alternative Uses Task Performance by Means of ERP and ERS/ERD Data Analysis Depending on the Subject’s Productivity and Originality Levels // Human Physiology. 2022. V. 48. № 6. P. 609.
- Vigario R.N. Extraction of ocular artefacts from EEG using independent component analysis // Electroencephalogr. Clin. Neurophysiol. 1997. V. 103. № 3. P. 395.
- Jung T.P., Makeig S., Westerfield M. et al. Removal of eye activity artifacts from visual event-related potentials in normal and clinical subjects // Clin. Neurophysiol. 2000. V. 111. № 10. P. 1745.
- Терещенко Е.П., Пономарев В.А., Кропотов Ю.Д., Мюллер А. Сравнение эффективности различных методов удаления артефактов морганий при анализе количественной электроэнцефалограммы и вызванных потенциалов // Физиология человека. 2009. Т. 35. № 2. С. 124. Tereshchenko E.P., Ponomarev V.A., Kropotov Yu.D., Müller A. Comparative efficiencies of different methods for removing blink artifacts in analyzing quantitative electroencephalogram and event-related potentials // Human Physiology. 2009. V. 35. № 2. P. 241.
- Libet B., Gleason C.A., Wright E.W., Pearl D.K. Time of conscious intention to act in relation to onset of cerebral activity (readiness-potential). The unconscious initiation of a freely voluntary act // Brain. 1983. V. 106. Pt. 3. P. 623.
- Zhu X., Oh Y., Chesebrough C. et al. Pre-stimulus brain oscillations predict insight versus analytic problem-solving in an anagram task. // Neuropsychologia. 2021. V. 162. P. 108044.
- Jauk E., Benedek M., Dunst B., Neubauer A.C. The relationship between intelligence and creativity: New support for the threshold hypothesis by means of empirical breakpoint detection // Intelligence. 2013. V. 41. № 4. P. 212.
- Karwowski M., Gralewski J. Threshold hypothesis: Fact or artifact? // Think Skills Creat. 2013. V. 8. № 1. P. 25.
- Shi B., Wang L., Yang J. et al. Relationship between Divergent Thinking and Intelligence: An Empirical Study of the Threshold Hypothesis with Chinese Children // Front. Psychol. 2017. V. 8. P. 254.
- Torrance E.P. The Torrance Tests of Creative Thinking-Norms-Technical Manual Research Edition-Verbal Tests, Forms A and B-Figural Tests, Forms A and B. Personnel Press, 1966.
- Taylor M.J., Batty M., Itier R.J. The faces of development: a review of early face processing over childhood // J. Cogn. Neurosci. 2004. V. 16. № 8. P. 1426.
- Koivisto M., Revonsuo A. Event-related brain potential correlates of visual awareness // Neurosci. Biobehav. Rev. 2010. V. 34. № 6. P. 922.
- Rugg M.D., Coles M.G.H. Electrophysiology of mind / Event-Related Brain Potentials and Cognition. Oxford, UK, 1995. P. 40.
- Di Russo F., Martinez A., Sereno M.I. et al. Cortical sources of the early components of the visual evoked potential // Hum. Brain Mapp. 2002. V. 15. № 2. P. 95.
- Zhang W., Luck S.J. Feature-based attention modulates feedforward visual processing // Nat. Neurosci. 2009. V. 12. № 1. P. 4.
- Hu R., Zhang L., Meng P. et al. The Neural Responses of Visual Complexity in the Oddball Paradigm: An ERP Study // Brain Sci. 2022. V. 12. № 4. P. 447.
- Weissman B., Tanner D. A strong wink between verbal and emoji-based irony: How the brain processes ironic emojis during language comprehension // PLoS One. 2018. V. 13. № 8. P. e0201727.
- Markey P.S., Jakesch M., Leder H. Art looks different – Semantic and syntactic processing of paintings and associated neurophysiological brain responses // Brain Cogn. 2019. V. 134 P. 58.
- Luo J., Li W., Fink A. et al. The time course of breaking mental sets and forming novel associations in insight-like problem solving: an ERP investigation // Exp. Brain Res. 2011. V. 212. № 4. P. 583.
- Chen J., Cheng Y. The relationship between aesthetic preferences of people for ceramic tile design and neural responses: An event-related potential study // Front. Hum. Neurosci. 2022. V. 16. P. 994195.
- Fudali-Czyż A, Francuz P, Augustynowicz P. The effect of art expertise on eye fixation-related potentials during aesthetic judgment task in focal and ambient modes // Front. Psychol. 2018. V. 16. № 9. P. 1972.
- Augustin M.D., Leder H., Hutzler F., Carbon C.C. Style follows content: On the microgenesis of art perception // Acta Psychol. 2008. V. 128. № 1. P. 127.
- Augustin M.D., Defranceschi B., Fuchs H.K. et al. The neural time course of art perception: an ERP study on the processing of style versus content in art // Neuropsychologia. 2011. V. 49. № 7. P. 2071.
- Rutter B., Kröger S., Hill H. et al. Can clouds dance? Part 2: an ERP investigation of passive conceptual expansion // Brain Cogn. 2012. V. 80. № 3. P. 301.
- Kröger S., Rutter B., Hill H. et al. An ERP study of passive creative conceptual expansion using a modified alternate uses task // Brain Res. 2013. V. 1527. P. 189.
- Abraham A., Rutter B., Hermann C. Conceptual expansion via novel metaphor processing: an ERP replication and extension study examining individual differences in creativity // Brain Lang. 2021. V. 221. P. 105007.
Supplementary files





