THE NUMBERS DYNAMICS OF ANATIDS (ANSERIFORMES, ANATIDAE, AVES) IN MODEL AREAS IN DAGESTAN, NORTHEASTERN CAUCASUS, RUSSIA
- Authors: Vilkov E.V.1
-
Affiliations:
- Caspian Institute of Biological Resources, Dagestan Federal Research Center, Russian Academy of Sciences
- Issue: Vol 102, No 12 (2023)
- Pages: 1398-1420
- Section: ARTICLES
- URL: https://journals.rcsi.science/0044-5134/article/view/231779
- DOI: https://doi.org/10.31857/S0044513423120140
- EDN: https://elibrary.ru/GRUHST
- ID: 231779
Cite item
Full Text
Abstract
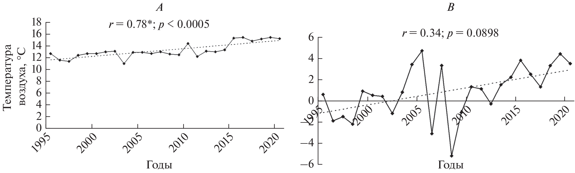
The numbers of waterfowl and shorebirds declining on a global scale is largely due to the reduction in wetland areas in the era of climate warming. Long-term monitoring data obtained in 1995–2020 in two Key Bird Areas of Russia of international importance, i.e. the Sulakskaya and Turalinskaya lagoons, the Republic of Dagestan, are presented, the transboundary populations of Anseriformes (Anatidae) taken as examples, Both model lagoons are located in one of Russia’s largest bottleneck places of the western Caspian flyways, where the fly routes of European and Asian migrants intersect. The Anseriformes model group, which includes 18 predominantly background species, was chosen based on their regular encounters during migration. According to the information on the ring returns obtained from the Research and Information Center for Bird Ringing at the Institute of Ecology and Evolution, Russian Academy of Sciences, a conditional outline of the generalized distribution range of Anseriformes was revealed, the faunogenetic basis of which is composed of widespread representatives of Arctic or Siberian fauna types. Based on all available data, including the information derived from literature sources, the geographic location both of populations and their regular migration areas was determined. The rating of 12 of all 18 study species was found to have significantly decreased, vs 2 that increased, and further 4 that remained stable. The resulting trends were synchronized with data available from literary sources on the same species of Anseriformes in their nesting areas. The coincidence of the corresponding trends with the distribution trends of the same anatid species in their nesting areas ensured the distance of distant populations of Anseriformes obtained along their flyways in the model lagoons to be correctly measured. This was found to correlate with the average monthly air temperatures in the autumn-winter period in the Primorskaya Lowland of Dagestan, 12 model species being associated with temperature fluctuations. The numbers of migratory populations of anatids in cold years are shown to lead to their increased migration in the study area, as a result the migration of migrants along the flight routes slowing down and their wintering places being changed. Correlation analysis showed a significant relation between the increased areas of Anseriformes wintering in the Caspian Sea with sea-level regression, in which the shallowing areas of marine waters limited the access of anatids to food resources (benthos). Three key factors determining the dynamics of a group of Anseriformes populations are discussed: hydroclimatic cycles, anthropogenic influence and foraging. A temporary ban on the hunting removal of 8 vulnerable species of anatids (the Greylag Goose, the Common Teal, the Garganey, the Gadwall, the Eurasian Wigeon, the Northern Pintail, the Northern Shoveler, and the Common Pochard) is proposed to be imposed in Siberia, Kazakhstan, the Urals Federal District, the Cis-Urals, the Volga region, and the Southern and North Caucasus federal districts until their populations become sufficiently restored.
About the authors
E. V. Vilkov
Caspian Institute of Biological Resources, Dagestan Federal Research Center, Russian Academy of Sciences
Author for correspondence.
Email: evberkut@mail.ru
Dagestan, 367000, Makhachkala
References
- Авилова К.В., 2009. Интродуцированные виды водоплавающих птиц в городах Европы: тенденции и перспективы // Сохранение разнообразия животных и охотничье хозяйство России: Материалы 3-й Международной науч.-практич. конференции. М. РГАУ – МЦХ им. К.А. Тимирязева. С. 513–515.
- Аладдин Н.В., Плотников И.С., 2000. Угроза крупномасштабной экологической катастрофы на Каспийском море (Сравнительный анализ причин и последствий экологических кризисов на Арале и Каспии) // Вестник Каспия. № 4. С. 112–126.
- Антипов А.М., 2010. Водоплавающие птицы Ханты-Мансийского автономного округа – Югры и сопредельных территорий: закономерности размещения, численность, миграции, охота, меры охраны. Ханты-Мансийск. “Библиографика”. Сургут. 250 с.
- Будыко М.И., 1980. Климат в прошлом и будущем. Л. 350 с.
- Букреев С.А., Джамирзоев Г.С., 2006. Республика Дагестан // Водно-болотные угодья России. Водно-болотные угодья Северного Кавказа. М. Wetlands International. С. 16–18.
- Букреев С.А., Джамирзоев Г.С., Перевозов А.Г., 2013. Интересные орнитологические наблюдения в Дагестане в 2012 году. Неворобьиные (non-Passeriformes) // Птицы Кавказа: история изучения, жизнь в урбанизированной среде. Ставрополь. С. 5–2.
- Вилков Е.В., 2008. Динамика численности и специфика миграций Anseriformes в районе лагун западного побережья Среднего Каспия // Сибирский экологический журнал. № 1. С. 171–186. ISSN 0869-8619.
- Вилков Е.В., 2009. ДС-9 Сулакская лагуна. ДС-10 Туралинская лагуна // Ключевые орнитологические территории России. Т. 3. Ключевые орнитологические территории международного значения в Кавказском экорегионе. Под ред. С.А. Букреева, Г.С. Джамирзоева. М.: Союз охраны птиц России. С. 197–199.
- Вилков Е.В., 2013. Популяционные тренды регулярных мигрантов – основа прогностической модели сохранения птиц Евразии // Экология. № 2. С. 124–139. https://doi.org/10.7868/S0367059713010137
- Вилков Е.В., 2014. Генезис и эволюция прикаспийских лагун, как важных резерватов фауны птиц на западном Каспии // Проблемы региональной экологии. М.: “Камертон”. № 2. С. 191–197.
- Вилков Е.В., 2014а. Экспресс-методика компьютерной реконструкции крупномасштабных картосхем по ограниченным географическим параметрам // Проблемы региональной экологии. М.: “Камертон”. № 2. С. 138–140.
- Вилков Е.В., 2017. Орнитологическая значимость особо охраняемой природной территории “Сулакская лагуна” // Устойчивое развитие особо охраняемых территорий. Т. 4: Сборник статей IV Всероссийской науч.-практич. конференции (1–3 ноября 2017 г., Сочи). Сочи: ГКУ КК “Природный орнитологический парк в Имеретинской низменности”. Дониздат. С. 67–79.
- Вилков Е.В., 2019. Социально-экологический проект природного парка “Орнитопарк – Туралинская лагуна” // Устойчивое развитие особо охраняемых природных территорий. Т. 6: Сборник статей VI Всероссийской научно-практической конференции (2–4 октября 2019, Сочи). Сочи: ГКУ КК “Природный орнитологический парк в Имеретинской низменности”. Донской издательский центр. С. 111–122.
- Воришек П., 2018. Общеевропейская программа мониторинга обычных видов птиц: методы, достижения и перспективы расширения в восточной Европе // Первый Всероссийский орнитологический конгресс (г. Тверь, Россия, 29 января–4 февраля 2018 г.). Тезисы докладов. Тверь. С. 63.
- Востоков С.В., Гаджиев А.А., Востокова А.С., Рабазанов Н.И., 2020. Гребневик Beroe cf. ovata в Каспийском море. Начало нового этапа в эволюции экосистемы Каспия? Юг России: экология, развитие. Т. 15. № 4. С. 21–35. https://doi.org/10.18470/1992-1098-2020-4-21-35
- Гаврилов Н.Н., 2019. Зависимость геоклиматических показателей от смены местообитаний в дельте Волги в процессе внутривековой изменчивости климата // Природные экосистемы Прикаспия: прошлое, настоящее, будущее: Материалы Всероссийской научной конференции с международным участием, посвященной 100-летию Астраханского государственного заповедника. Астрахань. МИР. С. 16–17.
- Головатин М.Г., Пасхальный С.П., 2015. Современное состояние ресурсов гусеобразных поймы Нижней Оби и их пространственное распределение // Международная конференция “Гусеобразные Северной Евразии: изучение, сохранение и рациональное использование”. Салехард. С. 23–24.
- Джамирзоев Г.С., Букреев С.А., 2013. Редкие позвоночные животные заповедника “Дагестанский” // Труды заповедника “Дагестанский”. Вып. 6. Махачкала. С. 145–149.
- Ерохов С.Н., Березовиков Н.Н., Тимошенко А.Ю., Кошкин А.В., 2011. Современное состояние гнездящейся популяции серого гуся (Cygnus cygnus) // Тезисы докладов Международной конференции “Гусеобразные Северной Евразии: география, динамика и управление популяциями”: Элиста. С. 28.
- Завьялов Е.В., Матросов А.Н., Табачишин В.Г., Кутырев И.В., Попов Н.В., и др., 2008. Роль сезонных миграций лимнофильных видов птиц в возможности заноса вируса гриппа А (H5N1) на территорию севера Нижнего Поволжья // Поволжский экологический журнал. № 1. С. 3–19.
- Карри-Линдал К., 1984. Птицы над сушей и морем: Глобальный обзор миграций птиц. М.: Мысль. 204 с.
- Коблик Е.А., 2001. Разнообразие птиц (по материалам экспозиции Зоологического музея МГУ). Ч. 1. М.: МГУ. 384 с.
- Коробицын И.Г., Тютеньков О.Ю., Москвитин С.С., 2018. Соотношение полов птиц как индикатор состояния популяций водоплавающих птиц // Динамика популяций охотничьих животных Северной Европы: Тезисы докладов. VII Международный симпозиум. 24–28 сентября 2018 г, г. Петрозаводск, Республика Карелия, Россия. Петрозаводск: КарНЦ РАН. С. 61–62.
- Кошелев А.И., Данник О.Ю., 2001. Местные кормовые перелеты зимующих гусей в Северном Приазовье // Проблемы изучения и охраны птиц Восточной Европы и Северной Азии. М. С. 72–73.
- Красная книга Республики Дагестан, 2009. Махачкала. 552 с.
- Красная книга Республики Дагестан, 2020. Махачкала: Типография A4 (ИП Джамалудинов). 796 с.
- Красная книга Российской Федерации, 2001. Животные. М.: АСТ-Астрель. 862 с.
- Кривенко В.Г., Виноградов В.Г., 2008. Птицы водной среды и ритмы климата Северной Евразии. М.: Наука. 588 с.
- Кривенко В.Г., 2021. Глобальное потепление климата с позиций космогенной теории динамики ареалов и численности животных Северного полушария // Общественно-научный журнал “Вестник” РАЕН. Т. 3. С. 96–106. https://doi.org/10.52531/1682-1696-2021-21-3-96-106
- Лебедева Н.В., Ломадзе Н.Х., 2016. Популяция серого гуся (Anser anser) на Западном Маныче в начале XXI века // Наука Юга России. Т. 12. № 2. С. 68–81.
- Лебедева Н.В., Ломадзе Н.Х., Коломейцев С.Г., 2018. Миграция гусеобразных (Anseriformes) на Западном Маныче в 2016 г. // Наука Юга России. Т. 14. № 1. С. 97–115. https://doi.org/10.23885/2500-0640-2018-14-1-97-115
- Мельников Ю.И., 2004. Экстремальные засухи и их влияние на динамику гнездовых ареалов куликов Прибайкалья // Кулики Восточной Европы и Северной Азии: изучение и охрана: Материалы VI совещания по вопросам изучения и охраны куликов. Екатеринбург: Уральский университет. С. 138–145.
- Мельников Ю.И., 2015. Серая утка в Восточной Сибири: динамика ареала и современное состояние численности // Международная конференция “Гусеобразные Северной Евразии: изучение, сохранение и рациональное использование”. Салехард. С. 52–53.
- Михеев А.В., 1997. Видимый дневной пролет водных и околоводных птиц по западному побережью Каспийского моря. Ставрополь. 160 с.
- Мищенко А.Л., Харитонов С.П., 2018. Современное состояние популяций красноголового нырка в России и Европе: причины сокращения численности // Первый Всероссийский орнитологический конгресс (г. Тверь, Россия, 29 января – 4 февраля 2018 г.). Тезисы докладов. Тверь. С. 226–227.
- Нанкинов Д.Н., 2017. Птицы России и сопредельных стран: чирок-трескунок Anas querquedula Linnaeus, 1758 // Русский орнитологический журнал. Т. 26. Экспресс-выпуск № 1460. С. 2505-2553. ISSN 0869-4362
- Оценка численности и ее динамики для птиц европейской части России (результаты проекта “European Red List of Birds”), 2017. Под ред. А.Л. Мищенко. М.: Русское общество сохранения и изучения птиц. 63 с.
- Пиминов В.Н., Синицын А.А., Сышев И.М., 2012. Гусеобразные (Anseriformes) бассейна р. Пур и воздействие промышленного освоения территории на их популяции // Современные проблемы природопользования, охотоведения и звероводства. № 1. С. 225–226.
- Поливанова Н.Н., 1990. Предисловие // Миграции и зимовки птиц Северного Кавказа. Ставрополь. Кн. изд-во. Вып. 11. С. 5–6.
- Равкин Ю.С., 1967. К методике учета птиц лесных ландшафтов // Природа очагов клещевого энцефалита на Алтае. Новосибирск. С. 66–75.
- Равкин Ю.С., 2008. Факторная зоогеография: принципы, методы и теоретические представления / Ю.С. Равкин, С.Г. Ливанов. Новосибирск: Наука. 205 с.
- Розенфельд С.Б., 2015. Перспективы сохранения популяций серого гуся методом искусственного разведения // Международная конференция “Гусеобразные Северной Евразии: изучение, сохранение и рациональное использование”. Салехард. С. 73–74.
- Розенфельд С.Б., Герасимов Ю.Н., Мищенко А.Л., Белик В.П., Морозов В.В., 2018. Сокращение численности ряда таксонов охотничьих видов гусеобразных: о необходимости включения их в Красную книгу России // Первый Всероссийский орнитологический конгресс. 29 января–4 февраля 2018 г. г. Тверь, Россия. Тезисы докладов. Тверь.: ТГУ. С. 279–280.
- Русанов Г.М., 2001. Численность водоплавающих птиц в дельте Волги в условиях нестабильного водного режима (1968–1999 гг.) // Бюллетень Рабочей группы по гусям Восточной Европы и Северной Азии. Вып. 7. С. 365–383.
- Русанов Г.М., 2006. Изменения птичьего населения дельты Волги во второй половине XX столетия // Развитие современной орнитологии в Северной Евразии: Труды XII Международной орнитологической конференции Северной Евразии. Ставрополь: СГУ. С. 210–228.
- Русанов Г.М., 2015. Динамика популяций водоплавающих птиц в дельте Волги в ХХ столетии // Русский орнитологический журнал. Т. 24. Экспресс-выпуск 1171. С. 2674–2694.
- Свиточ А.А., 1998. Геоэкологическая катастрофа в приморских городах Дагестана // Природа. Т. 5. № 993. С. 16–17.
- Соколов Л.В., 1991. Филопатрия и дисперсия птиц (Тр. Зоол. ин-та). Ленинград. Т. 230. 233 с.
- Соколов Л.В., 2010. Климат в жизни растений и животных. СПб.: “ТЕССА”, 344 с.
- Султанов Э.Г., 2001. Статус пискульки (Anser erythropus) в Азербайджане // Фокус на Каспии. Региональная программа по охране пискульки в Прикаспийском регионе. Региональное агентство окружающей среды Хяме. Финляндия. С. 1–5.
- Тарасов В.В., 2015. Современное состояние ресурсов гусеобразных птиц в Тоболо-Ишимской лесостепи // Международная конференция “Гусеобразные Северной Евразии: изучение, сохранение и рациональное использование”. Салехард. С. 89–90.
- Тютеньков О.Ю., Коробицын И.Г., Панин А.С., Гашков С.И., Москвитин С.С., 2015. Сокращение численности водоплавающих птиц таежной зоны Западной Сибири в начале XXI в. // XIV Международная орнитологическая конференция Северной Евразии. I. Тезисы. Алматы. С. 492–493.
- Федосов В.Н., 2015. Результаты изучения ареалов водоплавающих птиц по материалам проекта создания атласа гнездящихся птиц европейской России // Международная конференция “Гусеобразные Северной Евразии: изучение, сохранение и рациональное использование”. Салехард. С. 92–93.
- Харитонов С.П., 2019. О рациональном (неистощительном) использовании ресурсов водоплавающих птиц: демографическое благополучие популяции и нормы изъятия // Зоологический журнал. Т. 98. № 8. С. 903–914. https://doi.org/10.1134/S0044513419080063
- Штегман Б.К., 1938. Основы орнитогеографического деления Палеарктики. Фауна СССР. Птицы. М.–Л. Т. 1. № 2. 165 с.
- Akbari M., Baubekova A., Roozbahani A., Gafurov A., Shiklomanov A. et al., 2020. Vulnerability of the Caspian Sea shoreline to changes in hydrology and climate // Environmental Research Letters. V. 15. № 11. https://doi.org/10.1088/1748-9326/abaad8
- Andres B.A., Smith P.A., Morrison R.I.G., Gratto-Trevor C.L., Brown S.C. et al., 2012. Population estimates of North American shorebirds // Wader Study Group Bull. V. 119. № 3. P. 178–194.
- BirdLife International (2017), 2019. European birds of conservation concern: populations, trends and national responsibilities. Cambridge, UK: BirdLife International; Frost T., Graham A., Hearn R., McAvoy S., Robinson A., Stroud D. et al. Population estimates of wintering waterbirds in Great Britain // British Birds. V. 112. P. 130–145.
- BirdLife International, 2021. European Red List of Birds. Luxembourg: Publications Office of the European Union.
- Boere G.C., Stroud D.A., 2006. The flyway concept: what it is and what it isn’t // Waterbirds around the world. Eds G.C. Boere, C.A. Galbraith & D.A. Stroud. The Stationery Office, Edinburgh, UK. P. 40–47. ISBN 0 11 497333 4
- Camp J., 2018. On the possibility of assessing trends in the number of birds for the territory of Russia according to local monitoring // First All-Russian Ornithological Congress (Tver, Russia, January 29–February 4, 2018). Abstracts of reports. Tver. P. 142.
- Clements J.F., Schulenberg T.S., Iliff M.J., Fredericks T.A., Gerbracht J.A. et al., 2022. The eBird/Clements checklist of Birds of the World: v2022. Downloaded from https://www.birds.cornell.edu/clementschecklist/download/
- European Environment Agency, 2020. State of nature in the EU // Results from reporting under the nature directives 2013–2018. EEA. 142 p. https://www.eea.europa.eu/ publications/state-of-nature-in-the-eu-2020
- Fox A.D., Leafloor J.O. (eds), 2018. A Global audit of the status and trends of Arctic and Northern Hemisphere goose population. Conservation of Arctic Flora and Fauna International Secretariat, Akureyri, Iceland. 31 p.
- Frost T., Graham A., Hearn R., McAvoy S., Robinson A., et al., 2019. Population estimates of wintering waterbirds in Great Britain // British Birds. V. 112. P. 130–145.
- Guillemain M., Poysa H., Fox A.D., Arzel C., Dessborn L. et al., 2013. Effects of climate change on European ducks: what we know and what do we need to know? // Wild Biol. V. 19. P. 404–419.
- Howard C., Stephens P.A., Tobias J.A., Sheard C., Butchart S.H. et al., 2018. Flight range, fuel load and the impact of climate change on the journeys of migrant birds // Proceedings of the Royal Society B: Biological Sciences. V. 285 (1873): 20172329. https://doi.org/10.1098/rspb.2017.2329
- IPBES, 2019. Global assessment report on biodiversity and ecosystem services of the Intergovernmental Science-Policy Platform on Biodiversity and Ecosystem Services. E. S. Brondizio, J. Settele, S. Diaz, and H. T. Ngo (ed). Bonn, Germany: IPBES secretariat 1148. https://doi.org/10.5281/zenodo.3831673
- Isakov Y.A., 1967. Proceedings of the Second European Meeting on Wildfowl Conservation, Noordwijk aan Zee, The Netherlands, 9–14 May 1966. P. 125–138.
- Lehikoinen A., Jaatinen K., 2012. Delayed autumn migration in northern European waterfowl // J. Ornithology. V. 153. № 2. P. 563–570. https://doi.org/10.1007/s10336-011-0777-z
- Mason L.R, Green R.E, Howard C., Stephens P.A., Willis S.G., Aunins A. et al., 2019. Population responses of bird populations to climate change on two continents vary with species’ ecological traits but not with direction of changeinclimatesuitability // ClimChan. V. 157. 3(1). P. 337–354.
- Rahmana Q., Nadeema M.S., Altafb M., Khanc S.H., Saeedb A., Naseerb J., Hamedd M.H., Kayania A.R., Raise M., 2021. Assessment of anthropogenic-causing-agents act on waterbirds-diversity in the vicinity of Tarbela Dam, Indus River, Pakistan. Brazilian // Journal of Biology. 2024. V. 84. e251197. https://doi.org/10.1590/1519-6984.251197
- Roach J.K., Griffith B., 2015. Climate-induced lake drying causes heterogeneous reductions in waterfowl species richness // Landscape Ecology. V. 30. № 6. P. 1005–1022. https://doi.org/10.1007/s10980-015-0207-3
- Robinson R.A., Crick H.Q.P., Learmonth J.A., Maclean I.M.D., Thomas Ch.D., et al., 2009. Travelling through a warming world: climate change and migratory species // Endangered species research. V. 7. № 2. P. 87–99. https://doi.org/10.3354/esr00095
- Schmaljohann H., Both C., 2017. The limits of modifying migration speed to adjust to climate change // Nature Climate Change. V. 7. № 8. P. 573–576. https://doi.org/10.1038/nclimate3336
- Schricke V., 2001. Elements for a Garganey (Anas querquedula) management plan // Game and Wildlife Sci. V. 18. № 1. P. 9–41.
- Thorup K., Tottrup A.P., Willemoes M., Klaassen R.H.G., Strandberg R. et al., 2017. Resource tracking within and across continents in long-distance bird migrants // Science Advances. V. 3. № 1. e1601360. https://doi.org/10.1126/sciadv.1601360
- Van Eerden M.R., Drent R.H., Stahl J., Bakker J.P., 2005. Connecting seas: western Palaearctic continental flyway for water birds in the perspective of changing land use and climate // Global Change Biology. V. 11. № 6. P. 894–908. https://doi.org/10.1111/j.1365-2486.2005.00940.x
- Veen J., Yurlov A.K., Delany S.N., Mihantiev A.I., Selivanova M.A., 2005. An atlas of movements of Southwest Siberian waterbirds. Wetlands International, Wageningen, The Netherlands. 60 p.
- Verkuil Y.I. et al., 2012. Losing a staging area: eastward redistribution of Afro-Eurasian ruffs is associated with deteriorating fuelling conditions along the western flyway / Verkuil Y.I., Karlionova N., Rakhimberdiev E.N., Jukema J., Wijmenga J.J., Hooijmeijer JCEW, Pinchuk P., Wymenga E., Baker A.J., Piersma T. // Biol. Conserv. V. 149. P. 51–59.
- Vilkov E.V., 2006. Evolution of freshwater lagoons in Daghestan and their importance for waterbirds on the west Caspian coast // Waterbirds around the world. Eds G.C. Boere, C.A. Galbraith & D.A. Stroud. The Stationery Office, Edinburgh, UK. P. 372. ISBN 0 11 497333 4
- Vilkov Ye.V., 2013. Abundance dynamics of gamebirds (Anseriformes, Charadriiformes) in the region of lagoons of the western coast of the middle Caspian Sea // 2nd International Symposium on Hunting “Modern Aspects of Sustainable Management of Game Population” Novi Sad, Serbia, 17–20 October. P. 114–122. ISBN: 978-86-75-20-279-0
Supplementary files











