VALIDATION OF A METHOD FOR MEASURING THE FECAL GLUCOCORTICOID METABOLITES IN THE MIDDAY GERBIL (MERIONES MERIDIANUS PALLAS 1773, MURIDAE, RODENTIA): BIOLOGICAL AND PHYSIOLOGICAL APPROACHES
- Authors: Surkova E.N.1, Savinetskaya L.E.1, Tchabovsky A.V.1
-
Affiliations:
- A.N. Severtsov Institute of Ecology and Evolution, Russian Academy of Sciences
- Issue: Vol 102, No 9 (2023)
- Pages: 1072-1080
- Section: ARTICLES
- URL: https://journals.rcsi.science/0044-5134/article/view/136840
- DOI: https://doi.org/10.31857/S004451342309012X
- EDN: https://elibrary.ru/QNWWRN
- ID: 136840
Cite item
Full Text
Abstract
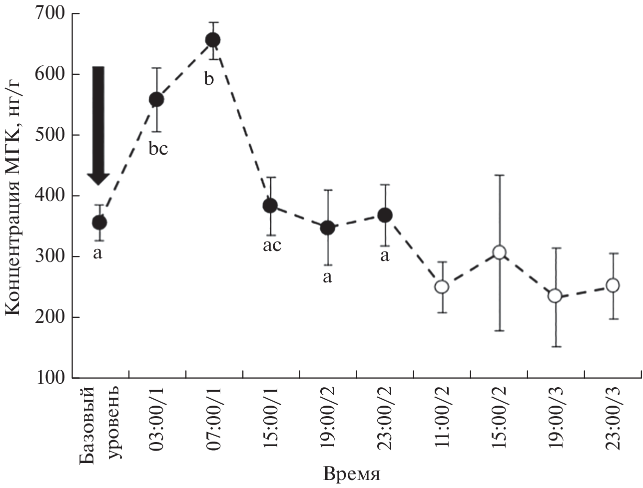
Estimating the level of stress in natural populations opens the opportunities for studying various populational processes, including population dynamics, range expansions, and colonization. Over two last decades, methods for a non-invasive assay of the glucocorticoid levels have been actively developed and widely implemented in various biological fields. They are most suitable for assessing long-term stress, but require a validation procedure for each new animal species studied. We have conducted a biological and physiological validation of a non-invasive method for the determination of fecal glucocorticoid metabolites (FGM) in the Midday gerbil, Meriones meridianus. Both methods showed a significant increase in the concentration of FGM after a similar time after manipulations (4–5 h after the stressful procedures or the administration of ACTH), and peak values were twice the baseline. Saline injection (control group) did not cause a significant increase in FGM concentration, this confirming that the non-invasive measuring a smoothed level of FGM is more suitable for assessing a long-term stress, in contrast to the assay of glucocorticoids in the blood. The biological validation was as effective as ACTG-test, which is commonly considered more reliable. Given the low invasiveness of the biological method, this expands the possibilities for its application.
This research was supported by the Russian Science Foundation (project number 22-14-00223, https://rscf.ru/project/22-14-00223/).
Keywords
About the authors
E. N. Surkova
A.N. Severtsov Institute of Ecology and Evolution, Russian Academy of Sciences
Author for correspondence.
Email: immaly@yandex.ru
Russia, 119071, Moscow
L. E. Savinetskaya
A.N. Severtsov Institute of Ecology and Evolution, Russian Academy of Sciences
Email: immaly@yandex.ru
Russia, 119071, Moscow
A. V. Tchabovsky
A.N. Severtsov Institute of Ecology and Evolution, Russian Academy of Sciences
Email: immaly@yandex.ru
Russia, 119071, Moscow
References
- Герлинская Л.А., Мошкин М.П., Евсиков В.И., 1993. Методические подходы к оценке стрессированности диких млекопитающих // Экология. № 1. С. 97–100.
- Гольцман М.Е., Попов С.В., Чабовский А.В., Борисова Н.Г., 1994. Синдром социальности. Сравнительное исследование поведения песчанок // Журнал общей биологии. Т. 55. № 1. С. 49–69.
- Иванов Е.А., Сидорчук Н.В., Рожнов В.В., Найденко С.В., 2014. Неинвазивная оценка активности гипоталамо-гипофизарно-надпочечниковой системы у дальневосточного леопарда // Доклады Академии наук. Т. 456. № 5. С. 622–622.
- Колосова И.Е., Роговин К.А., Мошкин М.П., 2008. Возможности и ограничения неинвазивной оценки уровня стресса на основе определения глюкокортикоидов в фекалиях большой песчанки (Rhombomys opimus) // Зоологический журнал. Т. 87. № 1. С. 104–113.
- Павлова Е.В., Найденко С.В., 2008. Неинвазивный мониторинг глюкокортикоидов в экскрементах дальневосточного лесного кота (Prionailurus bengalensis euptilurus) // Зоологический журнал. Т. 87. № 11. С. 1375–1381.
- Селье Г., 1960. Очерки об адаптационном синдроме. М.: Медгиз. 254 с.
- Суркова Е.Н., Кулик А.А., Кузнецова Е.В., Базыкина С.Г., Савинецкая Л.Е., Чабовский А.В., 2022. Черные земли Калмыкии: пустыня возвращается? // Природа. № 8. С. 13–20.
- Чабовский А.В., Суркова Е.Н., Савинецкая Л.Е., Кулик А.А., 2023. Расширение ареала и особенности популяции на волне расселения: пример полуденной песчанки (Meriones meridianus Pallas 1773, Muridae, Rodentia) в Калмыкии // Зоологический журнал. Т. 103. № 4. С. 443–452.
- Шилов И.А., 1984. Стресс как экологическое явление // Зоологический журнал. Т. 63. № 6. С. 805–812.
- Щипанов Н.А., 1987. Универсальная живоловка для мелких млекопитающих // Зоологический журнал. Т. 66. № 5. С. 759–761.
- Abelson K.S., Kalliokoski O., Teilmann A.C., Hau J., 2016. Applicability of commercially available ELISA kits for the quantification of faecal immunoreactive corticosterone metabolites in mice // In Vivo. V. 30. № 6. P. 739–744.
- Boonstra R., Boag P.T., 1992. Spring declines in Microtus pennsylvanicus and the role of steroid hormones // Journal of Animal Ecology. № 61. P. 339 –352.
- Chen H., Yao H., Yang W., Fan P., Xiang Z., 2017. Assessing the utility of urinary and fecal cortisol as an indicator of stress in golden snub-nosed monkeys (Rhinopithecus roxellana) // PeerJ. V. 5. P. e3648.
- Christian J.J., 1950. The adreno-pituitary system and population cycles in mammals // Journal of Mammalogy. № 31. P. 247–259.
- Chuang A., Peterson C.R., 2016. Expanding population edges: theories, traits, and trade-offs // Global change biology. V. 22. № 2. P. 494–512.
- Clobert J., Le Galliard J.F., Cote J., Meylan S., Massot M., 2009. Informed dispersal, heterogeneity in animal dispersal syndromes and the dynamics of spatially structured populations // Ecology letters. V. 12. № 3. P. 197–209.
- Cote J., Clobert J., Brodin T., Fogarty S., Sih A., 2010. Personality-dependent dispersal: characterization, ontogeny and consequences for spatially structured populations // Philosophical Transactions of the Royal Society B: Biological Sciences. V. 365. № 1560. P. 4065–4076.
- Creel S., Dantzer B., Goymann W., Rubenstein D.R., 2013. The ecology of stress: effects of the social environment // Functional ecology. V. 27. № 1. P. 66–80.
- Fanson K.V., Best E.C., Bunce A. et al., 2017. One size does not fit all: monitoring faecal glucocorticoid metabolites in marsupials // General and Comparative Endocrinology. V. 244. P. 146–156.
- Goymann W., Mostl E., Van’t Hof T., East M.L., Hofer H., 1999. Nonivasive fecal monitorng of glucocorticoids in spotted hyenas, Crocuta crocuta // General and comparative endocrinology. V. 114. № 3. P. 340–348.
- Josserand R., Dupoué A., Agostini S., Haussy C., Le Galliard J.F., Meylan S., 2017. Habitat degradation increases stress-hormone levels during the breeding season, and decreases survival and reproduction in adult common lizards // Oecologia. № 18. P. 75–86.
- Koolhaas J.M. et al., 1999. Coping styles in animals: current status in behavior and stress-physiology // Neuroscience & Biobehavioral Reviews. T. 23. № 7. P. 925–935.
- Kretzschmar P., Gansloßer U., Dehnhard M., 2004. The development of a non-invasive method to analyse the effect of season, mating behavior and fighting on gonadal activity of male white rhinoceros (Ceratotherium simum simum) in South Africa // Hormones and Behavior. № 45. P. 1–9.
- Kuznetsov V.A., Tchabovsky A.V., Kolosova I.E., Moshkin M.P., 2004. Effect of habitat type and population density on the stress level of midday gerbils (Meriones meridianus Pall.) in free-living populations // Biology Bulletin. V. 31. № 6. P. 749–754.
- Möstl E., Palme R., 2002. Hormones as indicators of stress // Domestic animals endocrinology. V. 23. № 1. P. 67–74.
- Navarro-Castilla Á., Garrido M., Hawlena H., Barja I., 2021. Non-invasive monitoring of adrenocortical activity in three sympatric desert gerbil species // Animals. V. 11. № 1. P. 75.
- Novikov E., Moshkin M., 1998. Sexual maturation, adrenocortical function and population density of red-backed vole, Clethrionomys rutilus (Pall.) // Mammalia. № 62. P. 529–540.
- Palme R., 2019. Non-invasive measurement of glucocorticoids: Advances and problems // Physiology & behavior. № 199. P. 229–243.
- Palme R., Rettenbacher S., Touma C., El-Bahr S.M., Mostl E., 2005. Stress hormones in mammals and birds. Comparative aspect regarding metabolism, excretion, and noninvasive measurement in fecal samples // Annals of the New York Academy of Sciences journal. V. 1040. № 1. P. 162–171.
- Palme R., Touma C., Arias N., Dominchin M.F., Lepschy M., 2013. Steroid extraction: get the best out of faecal samples // Wiener Tierarztliche Monatsschrift. № 100. P. 238–246.
- Shang G., Du S., Yang Y., Wu Y., Cao Y., Bian J., 2022. Is negative density-dependent reproduction regulated by density-induced stress in root voles? Two field experiments // Ecology and Evolution. V. 12. № 5. P. e8927.
- St. Juliana J.R., Khokhlova I.S.,Wielebnowski N., Kotler B.P., Krasnov B.R., 2014. Ectoparasitism and stress hormones: Strategy of host exploitation, common host–parasite history and energetics matter // Journal of Animal Ecology. № 83. P. 1113–1123.
- St. Juliana J.R., Bryant J.L., Wielebnowski N., Kotler B.P., 2019. Physiological validation of a non-invasive method to evaluate adrenocortical activity and the time course for the excretion of stress hormones in the feces of three species of desert gerbils // Israel Journal of Ecology and Evolution. № 65. P. 21–27.
- Stead S.K., Meltzer D.G.A., Palme R., 2000. The measurement of glucocorticoid concentrations in the serum and faeces of captive African elephants (Loxodonta africana) after ACTH stimulation: research communication // Journal of the South African Veterinary Association. V. 71. № 3. P. 192–196.
- Surkova E., Popov S., Tchabovsky A., 2019. Rodent burrow network dynamics under human-induced landscape transformation from desert to steppe in Kalmykian rangelands // Integrative Zoology. V. 14. № 4. P. 410–420.
- Tchabovsky A.V., Savinetskaya L.E., Surkova E.N., Ovchinnikova N.L., Kshnyasev I.A., 2016. Delayed threshold response of a rodent population to human-induced landscape change // Oecologia. № 182. P. 1075–1082.
- Tchabovsky A., Savinetskaya L., Surkova E., 2019. Breeding versus survival: proximate causes of abrupt population decline under environmental change in a desert rodent, the midday gerbil (Meriones meridianus) // Integrative Zoology. V. 14. № 4. P. 366–375.
- Touma C., Palme R., 2005. Measuring fecal glucocorticoid metabolites in mammals and birds: the importance of validation // Annals of the New York Academy of Sciences. V. 1046. № 1. P. 54–74.
Supplementary files





