POPULATION DENSITY OF RESIDENT AND NON-RESIDENT FOREST SMALL MAMMALS
- Authors: Kalinin A.A.1
-
Affiliations:
- Severtsov Institute of Ecology and Evolution, Russian Academy of Sciences
- Issue: Vol 102, No 1 (2023)
- Pages: 106-114
- Section: ARTICLES
- URL: https://journals.rcsi.science/0044-5134/article/view/136783
- DOI: https://doi.org/10.31857/S0044513422120054
- EDN: https://elibrary.ru/ACJLBA
- ID: 136783
Cite item
Full Text
Abstract
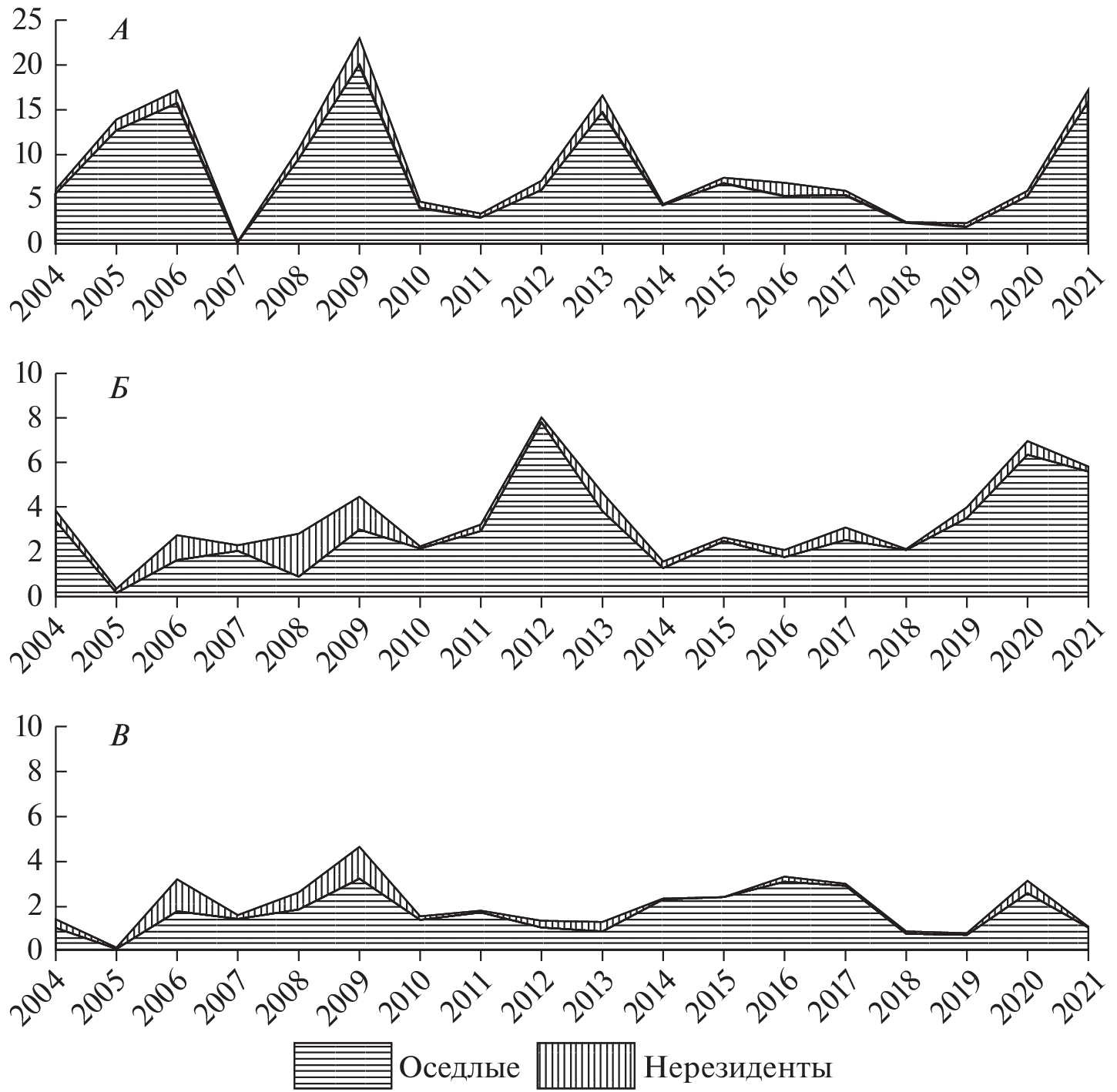
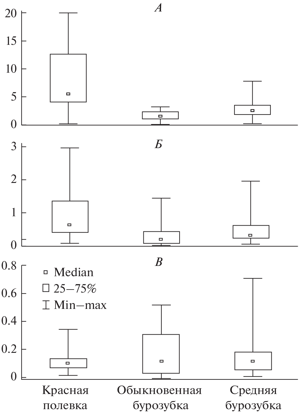
When assessing the abundance of small mammals using traditional methods, an abundance index, the number of individuals per unit of trapping effort, is usually applied. Due to the different relationships of species to various traps and baits, the true ratio of species in nature may not coincide with the estimated one. In most cases, the presence of a non-resident component in the population size remains outside the attention of researchers, while dispersal is a key element for many demographic processes. A method is proposed for calculating the density (individuals per area) of resident and non-resident animals when using mark-recapture live-traps arranged in lines. For three mass species of small forest mammals (red-backed voles, common shrew and masked shrew), the dynamics of the density of the resident and non-resident population were studied over 18 years. In most cases, the red-backed vole dominated the population of small mammals. According to long-term average data, the proportion of non-resident individuals in the population of the three species did not differ, averaging 12.6% of the total density. The dependence of the level of non-resident activity in the red-backed vole on the density of resident animals was shown. In shrews, the density of non-residents did not depend on the density of resident ones. The technique allows for a wide range of ecological problems to be solved and it can be used to monitor the state and structure of communities of small mammals.
About the authors
A. A. Kalinin
Severtsov Institute of Ecology and Evolution, Russian Academy of Sciences
Author for correspondence.
Email: benguan@yandex.ru
Russia, 119071, Moscow
References
- Жигальский О.А., Белан О.Р., 1995. Исследование миграционной активности популяций полевок Иремельского горного массива // Экология. № 1. С. 76–80.
- Калинин А.А., 2012. Оседлая и нерезидентная составляющая численности массовых видов мелких млекопитающих по данным учета на линиях живоловок // Зоологический журнал. Т. 91. № 6. С. 759–768.
- Калинин А.А., 2022. Преодоление водных преград мелкими млекопитающими лесной зоны (количественные характеристики) // Зоологический журнал. Т. 101. № 4. С. 461–470.
- Калинин А.А., Куприянова И.Ф., 2015. Методика количественного учета мелких млекопитающих при миграциях через водные преграды // Зоологический журнал. Т. 94. № 3. С. 365–369. [Kalinin A.A., Kupriyanova I.F., 2016. A Technique for Quantitative Estimation of Small Mammals Traversing Water Obstacles // Biology Bulletin. V. 43. № 7. P. 743–746].
- Калинин А.А., Куприянова И.Ф., 2016. Мелкие млекопитающие в питании европейского хариуса (Thymallus thymallus, Thymallidae, Salmoniformes) // Зоологический журнал. Т. 95. № 6. С. 712–719.
- Калинин А.А., Куприянова И.Ф., Александров Д.Ю., 2020. Вклад плотности оседлого населения и нерезидентной активности мелких млекопитающих в результаты учетов методом безвозвратного изъятия // Сибирский экологический журнал. Т. 27. № 2. С. 233–242. [Kalinin A.A., Kupriyanova I.F., Aleksandrov D.Y., 2020. Contributions of Resident Populations and Nonresident Activities of Small Mammals to the Results of Censuses Performed Using the Permanent Removal Method // Contemporary Problems of Ecology. V. 13. № 2. P. 184–192].
- Калинин А.А., Олейниченко В.Ю., Купцов А.В., Александров Д.Ю., Демидова Т.Б., 2018. Пространственная изменчивость оседлого и нерезидентного населения мелких млекопитающих в лесном массиве // Зоологический журнал. Т. 97. № 4. С. 474–485. [Kalinin A.A., Oleinichenko V.Y., Kouptsov A.V., Aleksandrov D.Y., Demidova T.B., 2018. Spatial variability of resident and nonresident populations of small mammals on a forest plot // Biology Bulletin. V. 45. № 9. P. 1028–1038].
- Карасева Е.В., Телицына А.Ю., Жигальский О.А., 2008. Методы изучения грызунов в полевых условиях. М.: Изд-во ЛКИ. 416 с.
- Карпенко А.С., 1980. Камско-печорско-западноуральские темнохвойные леса // Растительность Европейской части СССР. Л.: Наука. С. 93–101.
- Лукьянов О.А., Лукьянова Л.Е., 2002. Феноменология и анализ миграций в популяциях мелких млекопитающих // Зоологический журнал. Т. 81. № 9. С. 1107– 1134.
- Наумов Н.П., 1955. Изучение подвижности и численности мелких млекопитающих с помощью ловчих канавок // Вопросы краевой, общей и экспериментальной паразитологии и медицинской зоологии. Т. 9. С. 179–202.
- Ралль Ю.М., 1945. Динамическая плотность грызунов и некоторые методы ее изучения // Бюллетень Московского общества испытателей природы. Отдел биологический. Т. 50. Вып. 5–6. С. 62–64.
- Шефтель Б.И., 2018. Методы учета численности мелких млекопитающих // Russian Journal of Ecosystem Ecology. Т. 3. № З. С. 1–21.
- Щипанов Н.А., 1986. К экологии малой белозубки (Crocidura suaveolens) // Зоологический журнал. Т. 66. № 7. С. 1051–1060.
- Щипанов Н.А., 2002. Функциональная организация популяций: возможный подход к изучению популяционной устойчивости. Прикладные аспекты (на примере мелких млекопитающих) // Зоологический журнал. Т. 81. № 9. С. 1048–1077.
- Щипанов Н.А., 2020. Мечение на линиях живоловок для мониторинга мелких млекопитающих. Способы расчета популяционной плотности и индексов нерезидентности // Зоологический журнал. Т. 99. № 9. С. 1062–1076.
- Щипанов Н.А., 2021. Количественная оценка величины нерезидентной составляющей в локальных популяциях обыкновенных бурозубок (Sorex araneus) // Зоологический журнал. Т. 100. № 8. С. 938–946.
- Щипанов Н.А., Калинин А.А., Олейниченко В.Ю., Демидова Т.Б., Гончарова О.Б., Нагорнев Ф.В., 2000. К методике изучения использования пространства землеройками-бурозубками // Зоологический журнал. Т. 79. № 3. С. 362–371.
- Щипанов Н.А., Купцов А.В., 2004. Нерезидентность у мелких млекопитающих и ее роль в функционировании популяции // Успехи современной биологии. Вып. 124. № 1. С. 28–43.
- Щипанов Н.А., Купцов А.В., Демидова Т.Б., Калинин А.А., Александров Д.Ю., Павлова С.В., 2008. Нерезидентность и расселение у обыкновенных бурозубок (Sorex araneus, Insectivora) // Зоологический журнал. Т. 87. № 3. С. 331–343.
- Щипанов Н.А., Купцов А.В., Калинин А.А., Демидова Т.Б., Олейниченко В.Ю., Ляпина М.Г., Александров Д.Ю., Распопова А.А., Павлова С.В., Тумасьян Ф.А., 2010. Мелкие млекопитающие юго-востока Tверской области. Cообщение 1. Фауна и биотопическое распределение // Сибирский экологический журнал. Т. 17. № 5. С. 799–806.
- Щипанов Н.А., Купцов А.В., Калинин А.А., Олейниченко В.Ю., 2003. Конуса и живоловки ловят разных землероек-бурозубок (Insectivora, Soricidae) // Зоологический журнал. Т. 82. № 10. С. 1258–1265.
- Щипанов Н.А., Ляпина М.Г., 2008. Участок и проявление нерезидентности рыжими полевками (Clethrionomys glareolus), интерпретация данных мечения на линиях живоловок // Экология. № 5. С. 379–384.
- Щипанов Н.А., Литвинов Ю.Н., Шефтель Б.И., 2008а. Экспресс-метод оценки локального биологического разнообразия сообщества мелких млекопитающих // Сибирский экологический журнал. Т. 15. № 5. С. 783–791.
- Borchers D., Fewster R., 2016. Spatial capture–recapture models // Statistical Science. V. 31. № 2. P. 219–232.
- Bowler D.E., Benton T.G., 2005. Causes and consequences of animal dispersal strategies: relating individual behaviour to spatial dynamics // Biol. Rev. V. 80. P. 205–225.
- Calhoun J.B., Casby J.U., 1958. Calculation of home range and density of small mammals // US Government Printing Office. V. 55. 24 p.
- Ims R.A., Andreassen H.P., 2005. Density-dependent dispersal and spatial population dynamics // Proceedings of the Royal Society of London B: Biological Sciences. V. 272. № 1566. P. 913–918.
- Jønsson K.A., Tøttrup A.P., Borregaard M.K., Keith S.A., Rahbek C., Thorup K., 2016. Tracking animal dispersal: from individual movement to community assembly and global range dynamics // Trends in ecology & evolution. V. 31. № 3. P. 204–214.
- Koeppl J.W., Slade N.A., Hoffmann R.S., 1975. A bivariate home range model with possible application to ethological data analysis // Journal of Mammalogy. V. 56. № 1. P. 81–90.
- Krebs C.J., Wingate I., LeDuc J., Redfield J.A., Taitt M., Hilborn R., 1976. Microtus population biology: dispersal in fluctuating populations of M. townsendii // Canadian Journal of Zoology. V. 54. № 1. P. 79–95.
- Lambin X., Le Bouille D., Oliver M.K., Sutherland C., Tedesco E., Douglas A., 2012. High connectivity despite high fragmentation: iterated dispersal in a vertebrate metapopulation // Dispersal ecology and evolution. Oxford^ Oxford University Press. P. 405–412.
- Lidicker W.Z., Stenseth N.C., 1992. To disperse or not to disperse: who does it and why? // Animal dispersal: small mammals as a model (ed. N.C. Stenseth & W.Z. Lidicker). London: Chapman & Hall. P. 21–36.
- Lowe W.H., McPeek M.A., 2014. Is dispersal neutral? // Trends in ecology & evolution. V. 29. № 8. P. 444–450.
- Matthysen E., 2005. Density-dependent dispersal in birds and mammals // Ecography. V. 28. № 3. P. 403–416.
- Petrusewicz K., 1983. Residents and migrants in the population // Acta Theriologica. V. 28. № l. P. 103–144.
- Ronce O., 2007. How does it feel to be like a rolling stone? Ten questions about dispersal evolution // Annual Review of Ecology, Evolution, and Systematics. V. 38. P. 231–253.
- Shchipanov N.A., Kalinin A.A., Demidova T.B., Oleinichenko V.Yu., Aleksandrov D.Yu., Kouptzov A.V., 2005. Population ecology of red-toothed shrews, Sorex araneus, S. caecutiens, S. minutus, and S. isodon, in Central Russia // Advances in the Biology of Shrews II. J. Merrit, S. Churchfield, R. Hutterer, B.I. Sheftel (eds). N.Y. Special publication of the international society of shrew biologists. № 1. P. 201–216.
- Stenseth N.C., Lidicker Jr W.Z., 1992. Where do we stand methodologically about experimental design and methods of analysis in the study of dispersal // Animal dispersal: small mammals as a model. London, UK: Chapman and Hall. P. 295–312.
- Zera A.J., Brisson J.A., 2012. Quantitative, physiological, and molecular genetics of dispersal and migration // Dispersal Ecology and Evolution. Oxford: Oxford University Press. P. 63–82.




