THE EFFECTS OF VARIOUS MODES OF INTERVAL HYPOXIC TRAINING IN EXPERIMENTAL MODELS OF ANXIETY AND DEPRESSION IN RATS
- Authors: Zenko M.Y.1, Baranova K.A.1, Kukina M.V.1, Rybnikova E.A.1
-
Affiliations:
- Pavlov Institute of Physiology of the Russian Academy of Sciences
- Issue: Vol 73, No 6 (2023)
- Pages: 845-856
- Section: ЭКСПЕРИМЕНТАЛЬНАЯ ПАТОЛОГИЯ ВЫСШЕЙ НЕРВНОЙ ДЕЯТЕЛЬНОСТИ
- URL: https://journals.rcsi.science/0044-4677/article/view/233022
- DOI: https://doi.org/10.31857/S004446772306014X
- EDN: https://elibrary.ru/XLISSQ
- ID: 233022
Cite item
Full Text
Abstract
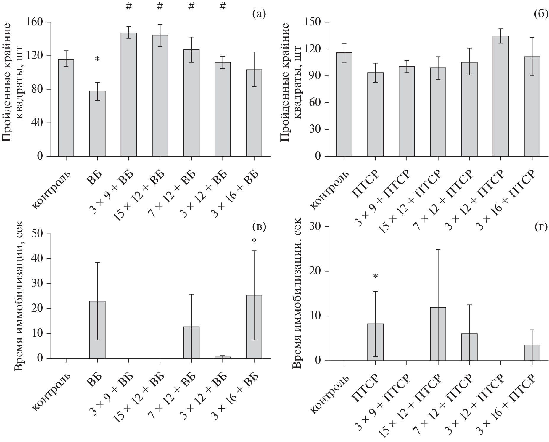
The development of non-drug methods for correcting stress-induced disorders and improving adaptation to stressful factors remains an urgent task of physiology, which has a great translational potential. Previously, we proposed effective methods of hypoxic hypobaric preconditioning and distant ischemic conditioning in this regard. The purpose of this work was to transfer the principles of preconditioning to the approaches of normobaric intermittent hypoxic training (IHT). The effects of five new IHT regimens (3 five-minute sessions of hypoxia of 16% O2 per day, 3 sessions of 12% O2, 7 sessions of 12% O2, 15 sessions of 12% O2, 3 sessions of 9% O2) were studied in experimental models of depression and post-traumatic stress disorder in rats. The preconditioning regime of high intensity 3x9%O2 had the most pronounced antidepressant and anxiolytic effect in models of both pathologies. With a decrease in the level of hypoxia to 12% O2, IHT regimens partially retained their effectiveness with an increase in the number of sessions. The training regime of the longest duration – 15 × 12%O2, was effective in correcting the formation of experimental depression. The intermediate regime – 7 × 12%O2, had an anxiolytic effect, while the preconditioning regime of medium intensity – 3 × 12%O2, demonstrated both an antidepressant and anxiolytic effect. The results indicate that the intensity of hypoxic exposure had the greatest impact on the effectiveness. At the same time, a decrease in the intensity to 16% O2 led to a weakening or loss of stress-protective properties. With regard to the 3 × 9%O2 regime as the most promising, it is advisable to conduct further studies to identify the molecular mechanisms that implement its stress-protective and anxiolytic effects.
About the authors
M. Y. Zenko
Pavlov Institute of Physiology of the Russian Academy of Sciences
Email: rybnikovaea@infran.ru
Russia, St. Petersburg
K. A. Baranova
Pavlov Institute of Physiology of the Russian Academy of Sciences
Email: rybnikovaea@infran.ru
Russia, St. Petersburg
M. V. Kukina
Pavlov Institute of Physiology of the Russian Academy of Sciences
Email: rybnikovaea@infran.ru
Russia, St. Petersburg
E. A. Rybnikova
Pavlov Institute of Physiology of the Russian Academy of Sciences
Author for correspondence.
Email: rybnikovaea@infran.ru
Russia, St. Petersburg
References
- Баранова К.А., Зенько М.Ю. Анксиолитический эффект дистантного ишемического пре- и посткондиционирования в модели посттравматического стрессового расстройства. Журн. высш. нерв. деят. им. И.П. Павлова. 2018. 68 (5): 663–672.
- Зенько М.Ю., Рыбникова Е.А. Роль глюкокортикоидных гормонов в стресс-протективных эффектах гипоксического посткондиционирования в моделях депрессии и посттравматического стрессового расстройства у крыс. Журн. высш. нервн. деят. им. И.П. Павлова. 2020. 70 (6): 825–836.
- Рыбникова Е.А., Миронова В.И., Пивина С.Г., Ордян Н.Э., Тюлькова Е.И., Самойлов М.О. Гормональные механизмы гипоксического прекондиционирования у крыс. Докл. РАН. 2008. 421 (5): 713–715.
- Balestra C., Lambrechts K., Mrakic-Sposta S., Vezzoli A., Levenez M., Germonpré P., Virgili F., Bosco G., Lafère P. Hypoxic and hyperoxic breathing as a complement to low-intensity physical exercise programs: a proof-of-principle study. Int. J. Mol. Sci. 2021. 22: 9600.
- Bowers M.E., Yehuda R. Neuroendocrinology of posttraumatic stress disorder: Focus on the HPA Axis. Stress: Neuroendocrinology and neurobiology, handbook of stress. 2017. 2: 165–172.
- Cai M.C., Huang Q.Y., Liao W.G., Wu Z., Liu F.Y., Gao Y.Q. Hypoxic training increases metabolic enzyme activity and composition of α-myosin heavy chain isoform in rat ventricular myocardium. Eur. J. Appl. Physiol. 2010. 108: 105–111.
- Cao K.Y., Zwillich C.W., Berthon-Jones M., Sallivan C.E. Increased normoxic ventilation induced by repetitive hypoxia in conscious dogs. J. Appl. Physiol. 1992. 73: 2083–2088.
- Carpiniello B. The mental health costs of armed conflicts — a review of systematic reviews conducted on refugees, asylum-seekers and people living in war zones. Int. J. Environ. Res. Public Health. 2023. 20: 2840.
- Conkin J., Wessel J.H. Critique of the equivalent air altitude model. Aviation, space, and environmental medicine. 2008. 79 (10): 975–982.
- Cooke J.E., Eirich R., Racine N., Madigan S. Prevalence of posttraumatic and general psychological stress during COVID-19: A rapid review and meta-analysis. Psychiatry Research. 2020. 292: 113 347.
- Daskalakis N.P., McGill M.A., Lehrner A., Yehuda R. Endocrine aspects of PTSD: Hypothalamic-pituitary-adrenal (HPA) axis and beyond. Comprehensive Guide to Post-Traumatic Stress Disorders. 2016. 245–260.
- De Kloet C., Vermetten E., Geuze E., Kavelaars A., Heijnen C., Westenberg H. Assessment of HPA-axis function in posttraumatic stress disorder: pharmacological and non-pharmacological challenge tests, a review. J. Psychiatr. Res. 2006. 40 (6): 550–567.
- Hall C.S. Emotional behavior in the rat. III. The relationship between emotionality and ambulatory activity. J. Comp. Psychol. 1936. 22 (3): 345.
- Henkel V., Bussfeld P., Möller H.J., Hegerl U. Cognitive-behavioural theories of helplessness/hopelessness: valid models of depression? European archives of psychiatry and clinical neuroscience. 2002. 252: 240–249.
- Iversen A.C., Fear N.T., Ehlers A., Hughes J.H., Hull L., Earnshaw M., Greenberg N., Rona R., Wessely S., Hotopf M. Risk factors for post-traumatic stress disorder among UK Armed Forces personnel. Psychol. Med. 2008. 38: 511–522.
- Jakupcak M., Luterek J., Hunt S., Conybeare D., McFall M. Posttraumatic stress and its relationship to physical health functioning in a sample of Iraq and Afghanistan war veterans seeking postdeployment VA Health Care. J. Nerv. Ment. Dis. 2008. 196: 425–428.
- Knaupp W., Khilnani S., Sherwood J., Scharf S., Steinberg H. Erythropoietin response to acute normobaric hypoxia in humans. J. Appl. Physiol. 1992. 73: 837–840.
- Lehrner A., Daskalakis N., Yehuda R. Cortisol and the hypothalamic-pituitary-adrenal axis in PTSD. Posttraumatic Stress Disorder. 2016. 265–290.
- Liberzon I., Krstov M., Young E.A. Stress-restress: effects on ACTH and fast feedback. Psychoneuroendocrinology. 1997. 22 (6): 443–453.
- Loeppky J.A., Roach R.C., Maes D., Hinghofer-Szalkay H., Roessler A., Gates L., Fletcher E.R., Icenogle M.V. Role of hypobaria in fluid balance response to hypoxia. High Alt. Med. Biol. 2005. 6: 60–71.
- Mahmud S., Mohsin M., Dewan M.N., Muyeed A. The global prevalence of depression, anxiety, stress, and insomnia among general population during COVID-19 pandemic: a systematic review and meta-analysis. Trends in Psychol. 2023. 31: 143–170.
- Mazza M.G., De Lorenzo R., Conte C., Poletti S., Vai B., Bollettini I., Melloni E.M.T., Furlan R., Ciceri F., Rovere-Querini P., Benedetti F. Anxiety and depression in COVID-19 survivors: role of inflammatory and clinical predictors. Brain, Behavior, and Immunity. 2020. 89: 594–600.
- Millet G.P., Faiss R., Pialoux V. Point: Counterpoint: Hypobaric hypoxia induces/does not induce different responses from normobaric hypoxia. Journal of applied physiology. 2012. 112 (10): 1783–1784.
- Navarrete-Opazo A., Mitchell G.S. Therapeutic potential of intermittent hypoxia: a matter of dose. Am. J. Physiol. Regul. Integr. Comp. Physiol. 2014. 307: R1181–R1197.
- Obuobi-Donkor G., Oluwasina F., Nkire N., Agyapong V.I.O. A scoping review on the prevalence and determinants of post-traumatic stress disorder among military personnel and firefighters: Implications for public policy and practice. International Journal of Environmental Research and Public Health. 2022. 19 (3): 1565.
- Park H.Y., Jung W.S., Kim S.W., Lim K. Effects of interval training under hypoxia on the autonomic nervous system and arterial and hemorheological function in healthy women. Int. J. Womens Health. 2022. 14: 79–90.
- Pellow S., Chopin P., File S.E., Briley M. Validation of open: closed arm entries in an elevated plus-maze as a measure of anxiety in the rat. J. Neurosci. Methods. 1985. 14 (3): 149–167.
- Rodriguez F.A., Casas H., Casas M., Pagés T., Rama R., Ricart A., Ventura J.L., Ibáñez J., Viscor G. Intermittent hypobaric hypoxia stimulates erythropoiesis and improves aerobic capacity. Med. Sci. Sports Exerc. 1999. 31: 264–268.
- Rybnikova E.A., Baranova K.A., Zenko M.Yu., Churilova A.V., Stupin K.N. Comparative analysis of various modes of preconditioning to increase high altitude tolerance. Integrative Physiology. 2022. 3 (3): 348–358.
- Rybnikova E.A., Nalivaeva N.N., Zenko M.Y., Baranova K.A. Intermittent hypoxic training as an effective tool for increasing the adaptive potential, endurance and working capacity of the brain. Front. Neurosci. 2022. 16: 941740.
- Seligman M.E., Beagley G. Learned helplessness in the rat. J. Comp. Physiol. Psychol. 1975. 88 (2): 534.
- Seligman M.E., Maier S.F. Failure to escape traumatic shock. Journal of experimental psychology. 1967. 74 (1): 1.
- Walf A.A., Frye C.A. The use of the elevated plus maze as an assay of anxiety-related behavior in rodents. Nat. Protoc. 2007. 2 (2): 322–328.
- Wang S., Zhang Y., Ding W., Meng Y., Hu H., Liu Z., Zeng X., Wang M. Psychological distress and sleep problems when people are under interpersonal isolation during an epidemic: A nationwide multicenter cross-sectional study. European Psychiatry. 2020. 63 (1): e77.
- Willner P. Validation criteria for animal models of human mental disorders: learned helplessness as a paradigm case. Prog. Neuro-Psychopharmacol. Biol. Psychiatry. 1986. 10 (6): 677–690.
- Yehuda R. Neuroendocrine aspects of PTSD. Anxiety Anxiolytic Drugs. 2005. 371–403.
- Zembron-Lacny A., Tylutka A., Wacka E., Wawrzyniak-Gramacka E., Hiczkiewicz D., Kasperska A., Czuba M. Intermittent hypoxic exposure reduces endothelial dysfunction. Biomed Res. Int. 2020. 2020: 6479630.
- Zenko M.Y., Rybnikova E.A. Cross-Adaptation: from F.Z. Meerson to the Present. Part 2. Mechanisms of Cross-Adaptation. Neurosci Behav Physi. 2023. 53: 409–415.
Supplementary files





