Вызванные потенциалы мозга человека на выключение звука в условиях пространственной маскировки
- Авторы: Петропавловская Е.А.1, Шестопалова Л.Б.1, Саликова Д.А.1, Семенова В.В.1
-
Учреждения:
- Федеральное государственное бюджетное учреждение науки Институт физиологии им. И.П. Павлова РАН
- Выпуск: Том 73, № 6 (2023)
- Страницы: 735-748
- Раздел: ФИЗИОЛОГИЯ ВЫСШЕЙ НЕРВНОЙ (КОГНИТИВНОЙ) ДЕЯТЕЛЬНОСТИ ЧЕЛОВЕКА
- URL: https://journals.rcsi.science/0044-4677/article/view/232995
- DOI: https://doi.org/10.31857/S0044467723060072
- EDN: https://elibrary.ru/IDMINQ
- ID: 232995
Цитировать
Полный текст
Аннотация
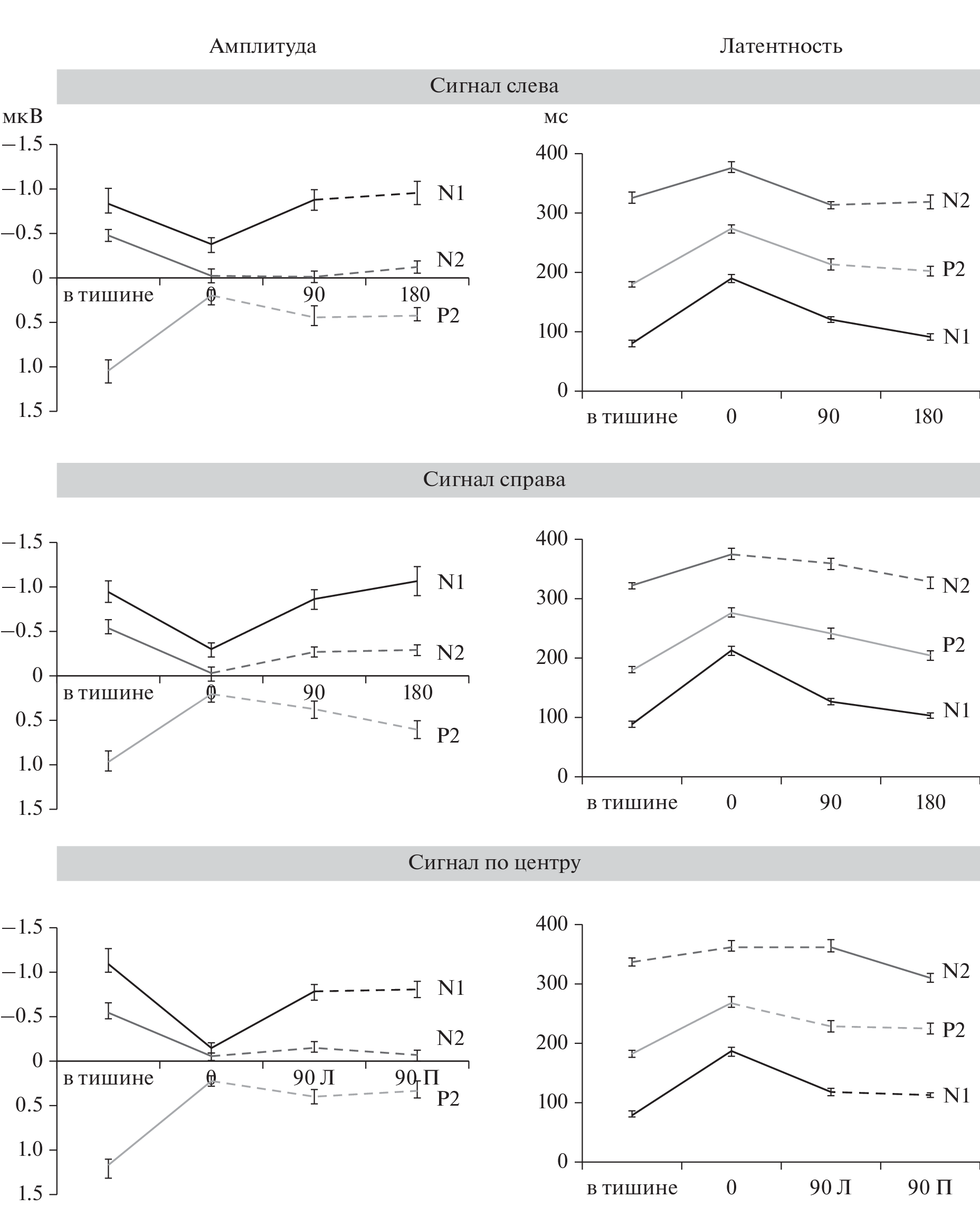
Было исследовано влияние взаимного расположения звукового стимула и фонового маскера на компоненты вызванных потенциалов (ВП) мозга человека в ответ на выключение звука. Звуковые стимулы предъявлялись дихотически, положение звуковых образов задавалось при помощи межушных различий по интенсивности. Тестовый сигнал и маскер были расположены в одной точке пространства либо были разнесены на расчетное угловое расстояние 90 или 180 град. При совпадении положения сигнала и маскера выявлено значимое снижение амплитуды и увеличение латентности компонентов N1, P2 и N2 ответов на выключение. При удалении сигнала от маскера наблюдалось увеличение амплитуды почти до уровня ответа на сигнал в тишине и уменьшение латентности всех компонентов отклика, что, предположительно, свидетельствует об успешном выделении стимула из фона.
Ключевые слова
Об авторах
Е. А. Петропавловская
Федеральное государственное бюджетное учреждение науки Институт физиологии им. И.П. Павлова РАН
Автор, ответственный за переписку.
Email: petropavlovskaiae@infran.ru
Россия, Санкт-Петербург
Л. Б. Шестопалова
Федеральное государственное бюджетное учреждение науки Институт физиологии им. И.П. Павлова РАН
Email: petropavlovskaiae@infran.ru
Россия, Санкт-Петербург
Д. А. Саликова
Федеральное государственное бюджетное учреждение науки Институт физиологии им. И.П. Павлова РАН
Email: petropavlovskaiae@infran.ru
Россия, Санкт-Петербург
В. В. Семенова
Федеральное государственное бюджетное учреждение науки Институт физиологии им. И.П. Павлова РАН
Email: petropavlovskaiae@infran.ru
Россия, Санкт-Петербург
Список литературы
- Петропавловская Е.А., Шестопалова Л.Б., Вайтулевич С.Ф. Проявления инерционности слуховой системы при локализации движущихся звуковых образов малой длительности. Физиология человека, 2010. 36 (4): 34–44.
- Петропавловская Е.А., Шестопалова Л.Б., Вайтулевич С.Ф. Предсказательная способность слуховой системы при плавном движении и скачкообразном перемещении звуковых образов малой длительности. Журн. высш. нервн. деят. им. И.П. Павлова. 2011. 61 (3): 293–305.
- Семенова В.В., Шестопалова Л.Б., Петропавловская Е.А., Саликова Д.А., Никитин Н.И. Латентность вызванного потенциала как показатель интегрирования акустической информации о движении звука. Физиология человека. 2022. 48 (4): 57–68.
- Шестопалова Л.Б., Петропавловская Е.А., Саликова Д.А., Семенова В.В., Никитин Н.И. Слуховые вызванные потенциалы человека в условиях пространственной маскировки. Физиология человека. 2022. 48 (6): 32–43.
- Шестопалова Л.Б., Петропавловская Е.А., Саликова Д.А., Семенова В.В. Влияние слуховой пространственной маскировки на межполушарную асимметрию вызванных ответов. Физиология человека. 2023. 49 (4): 16–29.
- Abeles M., Goldstein Jr. M.H. Responses of single units in the primary auditory cortex of the cat to tones and to tone pairs. Brain Res. 1972. 42: 337–352.
- Baltzell L.S., Billings C.J. Sensitivity of offset and onset cortical auditory evoked potentials to signals in noise. Clin. Neurophysiol. 2014. 125 (2): 370–380.
- Billings C.J., Tremblay K.L., Souza P.E., Binns M.A. Effects of hearing aid amplification and stimulus intensity on cortical auditory evoked potentials. Audiol. Neurootol. 2007. 12: 234–246.
- Billings C.J., Tremblay K.L., Stecker G.C., Tolin W.M. Human evoked cortical activity to signal-to-noise ratio and absolute signal level. Hear Res. 2009. 254: 15–24.
- Carlile S., Leung J. The Perception of Auditory Motion. Trends. Hear. 2016. 20: 1–19.
- Davis H., Zerlin S. Acoustic relations of the human vertex potential. J. Acoust. Soc. Am. 1966. 39: 109–116.
- Delorme A., Sejnowski T., Makeig S. Enhanced detection of artifacts in EEG data using higher-order statistics and independent component analysis. Neuroimage. 2007. 34 (4): 1443–1449.
- Dexter R.F.I. Auditory perceptual learning and changes in the conceptualization of auditory cortex. Hearing Research. 2018. 366: 3–16.
- Dingle R.N., Hall S.E., Phillips D.P. The three-channel model of sound localization mechanisms: interaural level differences. J. Acoust. Soc. Am. 2012. 131 (5): 4023–4029.
- Dirks D.D., Morgan D.E., Dubno J.R. A procedure for quantifying the effects of noise on speech recognition. J. Speech Hear Disord. 1982. 47: 114–123.
- Ducommun C.Y., Murray M.M., Thut G., Bellmann A., Viaud-Delmon I., Clarke S., Michel C.M. Segregated Processing of Auditory Motion and Auditory Location: An ERP Mapping Study. NeuroImage. 2002. 16: 76–88.
- Getzmann S. Auditory motion perception: onset position and motion direction are encoded in discrete processing stages. European J. Neuroscience. 2011. 33: 1339–1350.
- Gordon-Salant S., Fitzgibbons P.J. Temporal factors and speech recognition performance in young and elderly listeners. J. Speech Hear. Res. 1993. 36 (6): 1276–1285.
- Grose J.H., Buss E., Hall J.W. 3rd. Within- and across-channel factors in the multiband comodulation masking release paradigm. J. Acoust. Soc. Am. 2009. 125 (1): 282–293.
- Hari R., Pelizzone M., Makela J.P., Hallstrom J., Leinonen L., Lounasmaa O. V. Neuromagnetic responses of the human auditory cortex to on- and offsets of noise bursts. Audiology. 1987. 26: 31–43.
- Harris K.C., Wilson S., Eckert M.A., Dubno J.R. Human evoked cortical activity to silent gaps in noise: effects of age, attention, and cortical processing speed. Ear Hear. 2012. 33 (3): 330–339.
- He J., Hashikawa T., Ojima H., Kinouchi Y. Temporal integration and duration tuning in the dorsal zone of cat auditory cortex. J. Neurosci. 1997. 17: 2615–2625.
- Hillyard S.A., Picton T.W. On and off components in the auditory evoked potential. Percept. Psychophys. 1978. 24: 391–398.
- Hornsby B.W.Y., Trine T.D., Ohde R.N. The effects of high presentation levels on consonant feature transmission. J. Acoust. Soc. Am. 2005. 118: 1719–29.
- Horváth J. Attention-dependent sound offset-related brain potentials. Psychophysiology. 2016. 53: 663–677.
- Irsik V.C., Almanaseer A., Johnsrude I.S., Herrmann B. Cortical Responses to the Amplitude Envelopes of Sounds Change with Age. J. Neurosci. 2021. 41 (23): 5045–5055.
- Kopp-Scheinpflug C., Tozer A.J., Robinson S.W., Tempel B.L., Hennig M.H., Forsythe I.D. The sound of silence: ionic mechanisms encoding sound termination. Neuron. 2011. 71 (5): 911–925.
- Kopp-Scheinpflug C., Sinclair J.L., Linden J.F. When Sound Stops: Offset Responses in the Auditory System. Trends Neurosci. 2018. 41 (10): 712–728.
- Litovsky R.Y. Spatial release from masking. Acoust. Today. 2012. 8: 18.
- Mlynarsky W., McDermott J.H. Ecological origins of perceptual grouping principles in the auditory system. PNAS. 2019. 116 (50): 25355–25364.
- Muraskin J., Brown T.R., Walz J.M., Tu T., Conroy B., Goldman R.I., Sajda P. A multimodal encoding model applied to imaging decision-related neural cascades in the human brain. NeuroImage. 2018. 180 (A): 211–222.
- Noda K., Tonoike M., Doi K., Koizuka I., Yamaguchi M., Seo R., Kubo T. Auditory evoked off-response: its source distribution is different from that of on-response. Neuroreport. 1998. 9: 2621–2625.
- Ozmeral E.J., Eddins D.A., Eddins A.C. Electrophysiological responses to lateral shifts are not consistent with opponent-channel processing of interaural level differences. J. Neurophysiol. 2019. 122 (2): 737–748.
- Pantev C., Eulitz C., Hampson S., Ross B., Roberts L.E. The auditory evoked ‘‘off’’ response: sources and comparison with the ‘‘on’’ and ‘‘sustained’’ responses. Ear & Hearing. 1996. 17: 255–265.
- Phillips D.P., Hall S.E., Boehnke S.E. Central auditory onset responses, and temporal asymmetries in auditory perception. Hear. Res. 2002. 167: 192–205.
- Qin L., Chimoto S., Sakai M., Wang J., Sato Y. Comparison between offset and onset responses of primary auditory cortex ON–OFF neurons in awake cats. J. Neurophysiol. 2007. 97: 3421–3431.
- Recanzone G.H. Response profiles of auditory cortical neurons to tones and noise in behaving macaque monkeys. Hear. Res. 2000. 150: 104–118.
- Schneider B.A., Pichora-Fuller M.K., Kowalchuk D., Lamb M. Gap detection and the precedence effect in young and old adults. J. Acoust. Soc. Am. 1994. 95(2): 980–991.
- Scholl B. Gao X., Wehr M. Nonoverlapping sets of synapses drive on responses and off responses in auditory cortex. Neuron. 2010. 65: 412–421.
- Skoe E., Krizman J., Anderson S., Kraus N. Stability and plasticity of auditory brainstem function across the lifespan. Cereb. Cortex. 2015. 25 (6): 1415–1426.
- Snell K.B., Frisina D.R. Relationships among age-related differences in gap detection and word recognition. J. Acoust. Soc. Am. 2000. 107 (3): 1615–1626.
- Studebaker G.A., Sherbecoe R.L., McDaniel D.M., Gwaltney C.A. Monosyllabic word recognition at higher-than-normal speech and noise levels. J. Acoust. Soc. Am. 1999. 105: 2431–2444.
- Szabó B.T., Denham S.L., Winkler I. Computational Models of Auditory Scene Analysis: A Review. Front Neurosci. 2016. 10: Art. 524.
- Traer J., McDermott J.H. Statistics of natural reverberation enable perceptual separation of sound and space. Proc. Natl. Acad. Sci. U. S. A. 2016. 113: 7856–7865.
- Volkov I.O., Galazjuk A.V. Formation of spike response to sound tones in cat auditory cortex neurons: interaction of excitatory and inhibitory effects. Neuroscience. 1991. 43: 307–321.
- Yamashiro K., Inui K., Otsuru N., Kakigi R. Change-related responses in the human auditory cortex: An MEG study. Psychophysiology. 2011. 48: 23–30.





