Особенности удержания в рабочей памяти цветных и монохромных изображений у обезьян Macaca mulatta
- Авторы: Подвигина Д.Н.1,2, Иванова Л.Е.1, Хараузов А.К.1
-
Учреждения:
- Институт физиологии им. И.П. Павлова РАН
- Санкт-Петербургский государственный университет
- Выпуск: Том 73, № 5 (2023)
- Страницы: 680-687
- Раздел: ФИЗИОЛОГИЧЕСКИЕ МЕХАНИЗМЫ ПОВЕДЕНИЯ ЖИВОТНЫХ: ВОСПРИЯТИЕ ВНЕШНИХ СТИМУЛОВ, ДВИГАТЕЛЬНАЯ АКТИВНОСТЬ, ОБУЧЕНИЕ И ПАМЯТЬ
- URL: https://journals.rcsi.science/0044-4677/article/view/140279
- DOI: https://doi.org/10.31857/S004446772305009X
- EDN: https://elibrary.ru/VWXYOS
- ID: 140279
Цитировать
Полный текст
Аннотация
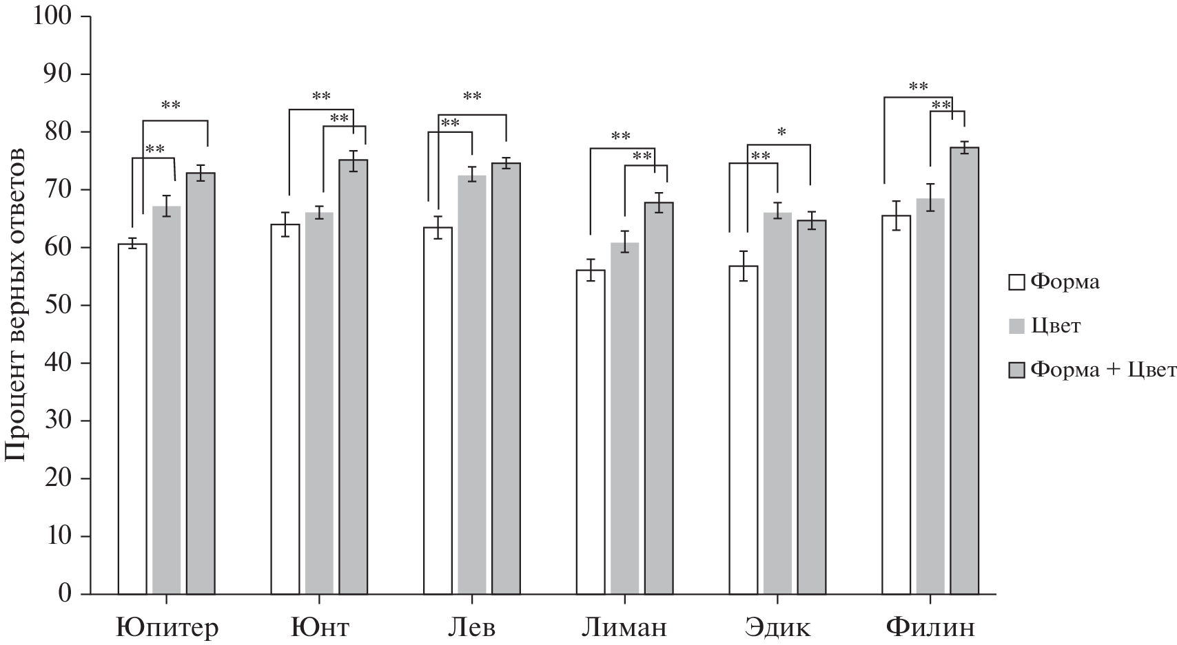
В поведенческих экспериментах исследовали способность макак-резусов к удержанию в рабочей памяти зрительных объектов, различающихся по форме, по цвету, либо по сочетанию этих признаков. Шесть самцов макак-резусов выполняли задачу отсроченного сопоставления с образцом, где образцами служили три геометрические фигуры из набора стимулов. В первой серии экспериментов это были разноцветные фигуры разной формы, во второй – круги разных цветов, в третьей – монохромные изображения различных фигур из набора стимулов. При использовании обоих признаков для удержания в памяти объектов обезьяны продемонстрировали максимальный результат, а задачу сопоставления по цвету выполняли в целом лучше задачи сопоставления по форме. Последний результат расходится с данными ряда работ, где в аналогичных экспериментах, но с одним образцом для запоминания, была продемонстрирована противоположная тенденция. Причиной этого может быть смещение фокуса внимания от локальных признаков (контуры фигур) к глобальным (цвет) при запоминании информации в условиях бо́льшей нагрузки на рабочую память в нашем исследовании.
Ключевые слова
Об авторах
Д. Н. Подвигина
Институт физиологии им. И.П. Павлова РАН; Санкт-Петербургский государственный университет
Автор, ответственный за переписку.
Email: daria-da@yandex.ru
Россия, Санкт-Петербург; Россия, Санкт-Петербург
Л. Е. Иванова
Институт физиологии им. И.П. Павлова РАН
Email: daria-da@yandex.ru
Россия, Санкт-Петербург
А. К. Хараузов
Институт физиологии им. И.П. Павлова РАН
Email: daria-da@yandex.ru
Россия, Санкт-Петербург
Список литературы
- Бондарь И.В., Васильева Л.Н., Терещенко Л.В., Буйневич А.В., Латанов А.В. Обучение макак-резусов сложным когнитивным задачам. Журн. высшей нервной деятельности им. ИП Павлова. 2018. 68 (4): 459–476. https://doi.org/10.1134/S0044467718040044
- Иванова Л.Е., Коржанова З.Н., Варовин И.А., Пронин С.В., Хараузов А.К., Шелепин Ю.Е. Изучение взаимодействия макак-резусов с тактильными мониторами при наблюдении низкочастотных тестовых изображений. Российский физиологический журн. им. И.М. Сеченова. 2016. 102 (8): 931–939.
- Подвигина Д.Н., Иванова Л.Е., Хараузов А.К. Обучение макак-резусов задаче отсроченного сравнения с образцом на сенсорном мониторе. Интегративная физиология. 2021. 2 (4): 443–454. https://doi.org/10.33910/2687-1270-2021-2-4-443-454
- Allen R.J., Baddeley A.D., Hitch G.J. Is the binding of visual features in working memory resource-demanding? J. Experimental Psychology: General. 2006. 135 (2): 298–313. https://doi.org/10.1037/0096-3445.135.2.298
- Baxter M.G., Gaffan D. Asymmetry of attentional set in rhesus monkeys learning colour and shape discriminations. Quarterly J. Experimental Psychology. 2007. 60 (1): 1–8. https://doi.org/10.1080/17470210600971485
- Bichot N.P., Rossi A.F., Desimone R. Parallel and serial neural mechanisms for visual search in macaque area V4. Science. 2005. 308 (5721): 529–534. https://doi.org/10.1126/science.1109676
- Christophel T.B., Klink P.C., Spitzer B., Roelfsema P.R., Haynes J.D. The distributed nature of working memory. Trends in cognitive sciences. 2017. 21 (2): 111–124. https://doi.org/10.1016/j.tics.2016.12.007
- Ellefson M.R., Shapiro L.R., Chater N. Asymmetrical switch costs in children. Cognitive Development. 2006. 21 (2): 108–130. https://doi.org/10.1016/j.cogdev.2006.01.002
- Fehring D.J., Pascoe A.J., Haque Z.Z., Samandra R., Yokoo S., Abe H., Rosa M.G.P., Tanaka K., Yamamori T., Mansouri F.A. Dimension of visual information interacts with working memory in monkeys and humans. Scientific Reports. 2022. 12 (1): 1–15. https://doi.org/10.1038/s41598-022-09367-7
- Fuster J.M. Single-unit studies of the prefrontal cortex. The frontal lobes revisited. Psychology Press. 2019. 109–120.
- Ghasemian S., Vardanjani M.M., Sheibani V., Mansouri F.A. Dimensional bias and adaptive adjustments in inhibitory control of monkeys. Animal Cognition. 2021. 24 (4): 815–828. https://doi.org/10.1007/s10071-021-01483-7
- Hitch G.J., Allen R.J., Baddeley A.D. Attention and binding in visual working memory: Two forms of attention and two kinds of buffer storage. Attention, Perception, & Psychophysics. 2020. 82: 280–293. https://doi.org/10.3758/s13414-019-01837-x
- Kosilo M., Martinovic J., Haenschel C. Luminance contrast drives interactions between perception and working memory. J. Cognitive Neuroscience. 2022. 34 (7): 1128–114. https://doi.org/10.1162/jocn_a_01852
- Livingstone M.S., Hubel D.H. Psychophysical evidence for separate channels for the perception of form, color, movement, and depth. J. Neuroscience. 1987. 7 (11): 3416–3468. https://doi.org/10.1523/JNEUROSCI.07-11-03-416.1987
- Luria R., Vogel E.K. Shape and color conjunction stimuli are represented as bound objects in visual working memory. Neuropsychologia. 2011. 49 (6): 1632–1639.
- Mansouri F.A., Buckley M.J., Fehring D.J., Tanaka K. The role of primate prefrontal cortex in bias and shift between visual dimensions. Cerebral Cortex. 2020. 30 (1): 85–99. https://doi.org/10.1016/j.neuropsychologia.2010.11.031
- Prevor M.B., Diamond A. Color–object interference in young children: A Stroop effect in children 31/2–61/2 years old. Cognitive development. 2005. 20 (2): 256–278. https://doi.org/10.1016/j.cogdev.2005.04.001
- Rajalingham R., Schmidt K., DiCarlo J.J. Comparison of object recognition behavior in human and monkey. J. Neuroscience. 2015. 35 (35): 12127–12136. https://doi.org/10.1523/JNEUROSCI.0573-15.2015
- Viviani P., Aymoz C. Colour, form, and movement are not perceived simultaneously. Vision Research. 2001. 41 (22): 2909–2918. https://doi.org/10.1016/S0042-6989(01)00160-2
Дополнительные файлы




