Половые и линейные различия у мышей DISC1-L100P и C57BL/6 В угашении условной реакции пассивного избегания
- Авторы: Чижова Н.Д.1,2, Смирнова К.В.1,3, Дубровина Н.И.1, Липина Т.В.1, Амстиславская Т.Г.1,3
-
Учреждения:
- Научно-исследовательский институт нейронаук и медицины
- Федеральный исследовательский центр Институт цитологии и генетики
- Новосибирский национальный исследовательский государственный университет
- Выпуск: Том 73, № 3 (2023)
- Страницы: 425-432
- Раздел: ФИЗИОЛОГИЧЕСКИЕ МЕХАНИЗМЫ ПОВЕДЕНИЯ ЖИВОТНЫХ: ВОСПРИЯТИЕ ВНЕШНИХ СТИМУЛОВ, ДВИГАТЕЛЬНАЯ АКТИВНОСТЬ, ОБУЧЕНИЕ И ПАМЯТЬ
- URL: https://journals.rcsi.science/0044-4677/article/view/136112
- DOI: https://doi.org/10.31857/S004446772303005X
- EDN: https://elibrary.ru/TTCZGH
- ID: 136112
Цитировать
Полный текст
Аннотация
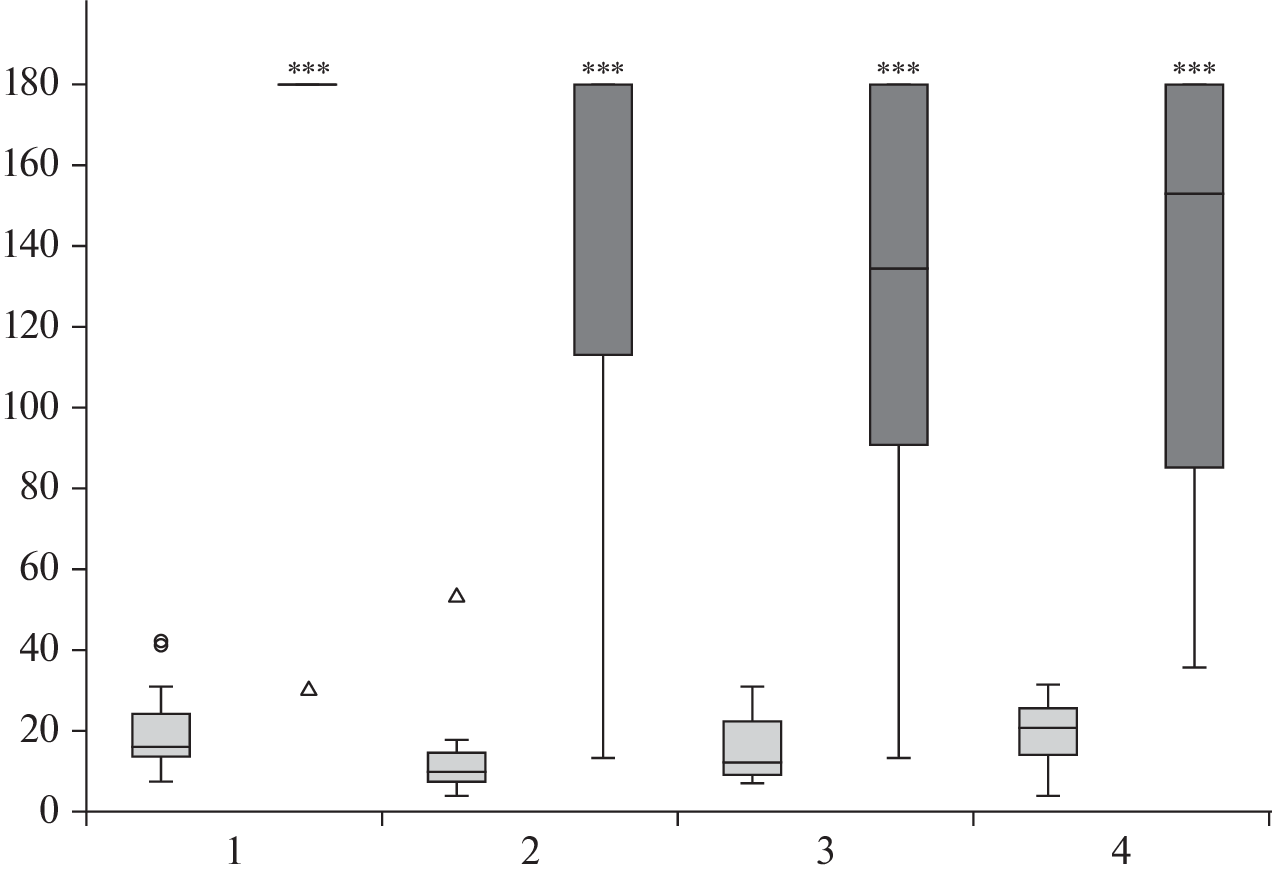
Исследовали половые и межлинейные различия процессов обучения и угашения условной реакции пассивного избегания у самцов и самок мышей линии DISC1-L100P и контрольных мышей линии C57BL/6. Было показано, что самцы и самки мышей обеих линий хорошо обучались условной реакции пассивного избегания, но различались по угашению памяти о страхе – способности формировать новый след памяти о безопасности ранее наказуемого темного отсека установки в процедуре многократного тестирования. Обнаружен дефицит угашения условной реакции пассивного избегания у самок мышей DISC1-L100P и C57BL/6 по сравнению с самцами. Одновременно выявлены межлинейные различия в динамике угашения этой реакции у самок мышей этих линий. Показано также, что DISC1-L100P самцы отличались от контроля по времени достижения полного угашения данной реакции.
Об авторах
Н. Д. Чижова
Научно-исследовательский институт нейронаук и медицины; Федеральный исследовательский центр Институт цитологии и генетики
Автор, ответственный за переписку.
Email: chizhovand@neuronm.ru
Россия, Новосибирск; Россия, Новосибирск
К. В. Смирнова
Научно-исследовательский институт нейронаук и медицины; Новосибирский национальный исследовательский государственный университет
Email: amstislavskayatg@neuronm.ru
Россия, Новосибирск; Россия, Новосибирск
Н. И. Дубровина
Научно-исследовательский институт нейронаук и медицины
Email: amstislavskayatg@neuronm.ru
Россия, Новосибирск
Т. В. Липина
Научно-исследовательский институт нейронаук и медицины
Email: amstislavskayatg@neuronm.ru
Россия, Новосибирск
Т. Г. Амстиславская
Научно-исследовательский институт нейронаук и медицины; Новосибирский национальный исследовательский государственный университет
Автор, ответственный за переписку.
Email: amstislavskayatg@neuronm.ru
Россия, Новосибирск; Россия, Новосибирск
Список литературы
- Дубровина Н.И., Храпова М.В., Липина Т.В. Особенности формирования памяти о страхе у мышей с депрессивно- и шизофрено-подобным фенотипами: влияние пола и возраста. Рос. физиол. журн. им. И.М. Сеченова. 2017. 103 (1): 10–21.
- Киренская А.В., Сторожева З.И., Мямлин В.В., Ткаченко А.А. Концепция эндофенотипов в нейрофизиологических исследованиях шизофрении. Журн. высш. нервн. деят. им. И.П. Павлова. 2013. 63 (6): 625–642.
- Bouton M.E., Maren S., McNally G.P. Behavioral and Neurobiological Mechanisms of Pavlovian and Instrumental Extinction Learning. Physiol Rev. 2021. 01 (2): 611–681.
- Brown J.A., Ramikie T.S., Schmidt M.J., Báldi R., Garbett K., Everheart M.G., Warren L.E., Gellért L., Horváth S., Patel S., Mirnics K. Inhibition of parvalbumin-expressing interneurons results in complex behavioral changes. Mol. Psychiatry. 2015. 20 (12): 1499–1507.
- Clapcote S.J., Lipina T.V., Millar J.K., Mackie S., Christie S., Ogawa F., Lerch J.P., Trimble K., Uchiyama M., Sakuraba Y., Kaneda H., Shiroishi T., Houslay M.D., Henkelman R.M., Sled J.G., Gondo Y., Porteous D.J., Roder J.C. Behavioral phenotypes of Disc1 missense mutations in mice. Neuron.2007. 54 (3): 387–402.
- Clark J.W., Drummond S.P.A., Hoyer D., Jacobson L.H. Sex differences in mouse models of fear inhibition: Fear extinction, safety learning, and fear-safety discrimination. Br. J. Pharmacol. 2019. 176 (21): 4149–4158.
- Clifton N.E., Thomas K.L., Hall J. The effect of ketamine on the consolidation and extinction of contextual fear memory. J.Psychopharmacol. 2018. 32 (2): 156–162.
- Colom-Lapetina J., Li A.J., Pelegrina-Perez T.C., Shansky R.M. Behavioral diversity across classic rodent models is sex-dependent. Front. Behav. Neurosci. 2019. 13: 45.
- Dachtler J., Elliott C., Rodgers R.J., Baillie G.S., Clapcote S.J. Missense mutation in DISC1 C-terminal coiled-coil has GSK3β signaling and sex-dependent behavioral effects in mice. Sci. Rep. 2016. 6: 18 748.
- Day H.L.L., Stevenson C.W. The neurobiological basis of sex differences in learned fear and its inhibition. Eur. J. Neurosci. 2020. 52 (1): 2466–2486.
- Day H.L.L., Suwansawang S., Halliday D.M., Stevenson C.W. Sex differences in auditory fear discrimination are associated with altered medial prefrontal cortex function. Sci. Rep. 2020. 10 (1): 6300.
- Greiner E.M., Müller I., Norris M.R., Ng K.H., Sangha S. Sex differences in fear regulation and reward-seeking behaviors in a fear-safety-reward discrimination task. Behav. Brain Res. 2019. 368: 111903.
- Gruene T.M., Flick K., Stefano A., Shea S.D., Shansky R.M. Sexually divergent expression of active and passive conditioned fear responses in rats. Elife. 2015. 4. pii: e11352.
- Keiser A.A., Turnbull L.M., Darian M.A., Feldman D.E., Song I., Tronson N.C. Sex differences in context fear generalization and recruitment of hippocampus and amygdala during retrieval. Neuropsychopharmacology. 2017. 42 (2): 397–407.
- Kelley J.B., Balda M.A., Anderson K.L., Itzhak Y. Impairments in fear conditioning in mice lacking the nNOS gene. Learn. Mem. 2009. 16 (6): 371–378.
- Lipina T.V., Roder J.C. Disrupted- In-Schizophrenia-1 (DISC1) interactome and mental disorders: impact of mouse models. Neurosci.Biobehav.Rev. 2014. 45: 271–294.
- Marek R., Xu L., Sullivan R.K.P., Sah P. Excitatory connections between the prelimbic and infralimbic medial prefrontal cortex show a role for the prelimbic cortex in fear extinction. Nat. Neurosci. 2018. 21 (5): 654–658.
- Olaya J.C., Heusner C.L., Matsumoto M., Sinclair D., Kondo M.A., Karl T., Shannon Weickert C. Overexpression of neuregulin 1 type III confers hippocampal mRNA alterations and schizophrenia-like behaviors in mice. Schizophr. Bull. 2018. 44 (4): 865–875.
- Park K., Chung C. Systemic Cellular Activation Mapping of an Extinction-Impaired Animal Model. Front. Cell. Neurosci. 2019. 13: 99.
- Ribeiro A.M., Barbosa F.F., Godinho M.R., Fernandes V.S., Munguba H., Melo T.G., Barbosa M.T., Eufrasio R.A., Cabral A., Izidio G.S., Silva R.H. Sex differences in aversive memory in rats: possible role of extinction and reactive emotional factors. Brain Cogn. 2010. 74 (2): 145–151.
- Tomoda T., Sumitomo A., Jaaro-Peled H., Sawa A. Utility and validity of DISC1 mouse models in biological psychiatry. Neuroscience. 2016. 321: 99–107.
- Uliana D.L., Resstel L.B.M., Grace A.A. Fear extinction disruption in a developmental rodent model of schizophrenia correlates with an impairment in basolateral amygdala-medial prefrontal cortex plasticity. Neuropsychopharmacology. 2018. 43 (12): 2459–2467.
- Velasco E.R., Florido A., Milad M.R., AnderoR. Sex differences in fear extinction. Neurosci. Biobehav.Rev. 2019. 103: 81–108.
- Walsh J., Desbonnet L., Clarke N., Waddington J.L., O’Tuathaigh C.M. Disruption of exploratory and habituation behavior in mice with mutation of DISC1: an ethologically based analysis. J. Neurosci. Res. 2012. 90 (7): 1445–1453.
- Winship I.R., Dursun S.M., Baker G.B., Balista P.A., Kandratavicius L., Maia-de-Oliveira J.P., Hallak J., Howland J.G. An overview of animal models related to schizophrenia. Can. J. Psychiatry. 2019. 64 (1): 5–17.
Дополнительные файлы





