О сходимости численного метода решения задачи оптимального управления в процессе формообразования панели в режиме ползучести
- Авторы: Бормотин К.С.1
-
Учреждения:
- Комсомольский-на-Амуре государственный университет
- Выпуск: Том 64, № 1 (2024)
- Страницы: 65-76
- Раздел: ОПТИМАЛЬНОЕ УПРАВЛЕНИЕ
- URL: https://journals.rcsi.science/0044-4669/article/view/261858
- DOI: https://doi.org/10.31857/S0044466924010066
- EDN: https://elibrary.ru/ZJYLKT
- ID: 261858
Цитировать
Полный текст
Аннотация
Для численного решения задач оптимального управления в процессах формообразования элементов конструкций в ползучести рассматривается метод динамического программирования. Предлагается реализация разработанного метода в комплексе программ конечно-элементного анализа. Приводится анализ устойчивости данного метода. Библ. 25. Фиг. 7.
Полный текст
Введение
В технологиях формообразования монолитных деталей могут использоваться медленные высокотемпературные режимы деформирования (см. [1–5]). Данные режимы в ползучести позволяют управлять повреждаемостью за счет выбора кинематической схемы деформирования и сберегать ресурс изделий на стадии изготовления. В результате возникает задача о нахождении оптимального пути деформирования, приводящего за заданное время к заданным остаточным деформациям при наименьшей поврежденности (см. [6]).
Актуальна оптимизация кинематических схем для оборудования с числовым программным управлением, в частности для реконфигурируемого стержневого пуансона (матрицы) (см. [7; 8]). Формующая поверхность как пуансона, так и матрицы, образованная двумя системами соосно расположенных стержней, позволяет адаптировать оснастку для изготовления деталей из листов различной конфигурации. Современные изделия, получаемые путем формообразования, могут иметь сложную внутреннюю гравюру, вырезы, ребра жесткости и обладать такими свойствами как анизотропия, разное сопротивление растяжению и сжатию (см. [9; 10]). В этом случае для определения оптимальных условий процесса формирования геометрии заготовок актуальны численные методы. В предлагаемом методе, основанном на методе динамического программирования в отличие от [11], допустимое пространство решений задач оптимального управления включает немонотонные траектории деформирования, учитывающие частичную разгрузку.
С помощью разработанного численного метода определяются рациональные кинематические режимы формования заготовок, которые сравниваются с известными аналитическими решениями для идеальных пластин и оболочек (см. [6; 12]). При анализе алгоритма численного решения задач оптимального управления рассматривается проблема устойчивости и определяется зависимость решения от характера дробления шагов разностной схемы.
1. Формулировка задач оптимального управления при формообразовании тонкостенных конструкций
Пусть — область деформируемого тела с границей S. Поверхность с заданными кинематическими условиями обозначается через S* Обозначим через вектор перемещений деформируемого тела.
Математическая формулировка задачи формообразования в условиях ползучести с учетом малых деформаций, но больших перемещений и поворотов (общая Лагранжева формулировка, см. [13]) представляется в виде квазистатического вариационного принципа с функционалом
при (1.1)
где — заданные скорости перемещений в момент времени t; — время деформирования тела под нагрузкой; потенциальная форма определяется в виде , где , — компоненты тензора упругих констант, — компоненты скоростей деформаций, ; — компоненты скоростей деформаций ползучести, определяемые по закону установившейся ползучести (см. [13]):
(1.2)
sij — компоненты девиатора тензора напряжений, — эффективное напряжение (интенсивность напряжений), B, n — константы материала; точкой сверху обозначены скорости перемещений , .
Компоненты скорости второго тензора напряжений Пиола–Кирхгофа определяются соотношениями
Таким образом, математическая формулировка задачи оптимального управления включает уравнения механики деформируемого твердого тела, полученные из условий стационарности (1.1), и функционал оптимизации:
(1.3)
Данный функционал представляет максимальное значение работы рассеяния и характеризует параметр поврежденности (см. [14]).
В качестве функций управления принимаются перемещения заданные на границе S*, а в качестве функции состояния — перемещения, деформации, напряжения в теле V. Таким образом, определив некоторое решение u* обратной задачи (см. [15]), решается задача поиска оптимальной функции f(t).
В случае весьма тонкой пластинки, прогибы которой могут во много раз превысить ее толщину, задача сводится к нахождению прогиба w гибкой мембраны [16]. В этом случае деформации и скорости деформаций соответственно примут вид
(1.4)
Известно, что для пластин в случае малых прогибов оптимальное деформирование происходит по линейному закону а в случае больших прогибов оптимальное деформирование происходит по нелинейному закону где w* — прогиб в конечный момент времени (см. [6; 12]).
2. Численный метод оптимизации кинематической схемы формообразования панелей в режиме ползучести
Применяя основные процедуры метода конечных элементов к вариационному уравнению с функционалом (1.1), строятся дискретные уравнения задачи деформирования (см. [13; 17])
(2.1)
где — симметричная матрица касательной жесткости, — вектор внутренних и внешних сил, — узловые приращения перемещений. Верхние индексы величины указывают значение времени нагружения, для которого она вычисляется. Верхние индексы величины (r - 1) указывают на номер итерации при уточнении решения методом Ньютона–Рафсона.
Наряду с дискретизацией по параметру t, вызванной решением нелинейных задач механики методом конечных элементов, для приближенного решения задачи оптимального управления вводится дополнительная сетка: . Учитывая дискретные по времени уравнения пошаговой процедуры интегрирования (2.1) при условии , минимизируемый функционал (1.3) заменяется формулой
(2.2)
где — компоненты приращений деформаций ползучести, вычисленные методом конечных элементов. В данном случае дискретная задача оптимального управления будет включать дискретные по времени уравнения пошаговой процедуры интегрирования (2.1) и минимизируемый функционал (2.2). В такой постановке строится функция Беллмана и задача решается методом динамического программирования (см. [18; 19]).
Решение задачи оптимизации траекторий деформирования рассматривается на примере формообразования квадратной пластинки с выступами толщиной 12 мм и длиной стороны 180 мм. Выступы необходимы для расчета остаточной формы пластинки с двойной кривизной (см. [20]). Таким образом, находится прогиб пластинки, моделирующий кручение (см. [20]) в виде узловых перемещений по координате, нормальной к поверхности пластинки (значения максимальных перемещений в углах — 80 мм). Данная величина прогиба выбрана с целью уменьшения сопротивления пластинки изгибу и сведения задачи к нахождению прогиба гибкой мембраны (см. [16]). Для более полного анализа рассматривается объемная постановка задачи (фиг. 1) c 8-узловыми изопараметрическими шестигранными конечными элементами с трилинейной аппроксимацией функций. При вычислениях в системе MSC.Marc подключаются дополнительные параметры, улучшающие характеристики сдвига (или изгиба) и описывающие несжимаемое поведение материала путем использования альтернативной функции интерполяции и альтернативной процедуры интегрирования (см. [21]). Количество элементов в модели определено в соответствии с проведенным ранее анализом (см. [20]) и обеспечивает достаточную точность при относительно небольшом времени расчета.
Фиг. 1. Деформированная конфигурация пластинки и распределение значений работы рассеяния.
В расчетах деформирования пластины используются характеристики материала АК4–1Т (алюминиевого сплава) (см. [20; 22]). В соответствии с этими данными, материал изотропен с параметрами упругости: модуль Юнга E=7000 кГ/мм2, коэффициент Пуассона ν=0.4. При температуре T=200 °C стадия установившейся ползучести при сжатии и при растяжении описывается законом Нортона с разными значениями коэффициентов. В данном случае для упрощения вывода условий сходимости метода динамического программирования в задачах оптимального формообразования принимается описание закона ползучести в течение 260 ч с одинаковыми коэффициентами при сжатии и растяжении: , n = 8.
При решении аддитивных задач применяется алгоритм, основное содержание которого состоит в формулировке правил последовательного сжатия множества конкурентоспособных вариантов (см. [18; 19]). Алгоритм представляет собой многошаговый процесс, на каждом шаге которого производится исключение некоторого множества вариантов, о котором в процессе работы алгоритма становится известным, что он не содержит оптимального варианта.
Для разработки алгоритма оптимизации при деформировании заготовки в качестве управляющих параметров вводится вектор-функция перемещений узловых точек тела на границе S* в виде , где — решение обратной задачи с линейной функцией f(t) (см. [15]), обеспечивающее необходимую остаточную форму панели. В этом случае строится сетка в пространстве (t, z). Шаг по аргументу t задан и равен , по переменной z — Dz. Узлы сетки обозначим через Pg(k). Индекс k означает номер гиперплоскости Sk при заданном значении t, а индекс g означает номер узла в гиперплоскости Sk. Каждые два узла, лежащие в гиперплоскостях и , соединены отрезками, длины этих отрезков обозначаются (см. [18]).
В результате таких операций можно получить граф, в котором роль вершин играют узлы Pg(k), и вместо исходной задачи будет рассматриваться задача поиска на этом графе кратчайшего пути, соединяющего гиперплоскости S0 и SN. Обозначая через lq(k) ломаную кратчайшей длины, соединяющую узел Pq(k) с гиперплоскостью S0, можно прийти к рекуррентному соотношению (см. [18])
.
Минимум берется по тем номерам q, для которых узлы лежат в допустимой области Gk и принадлежат гиперплоскости Sk.
Для программной реализации метода динамического программирования и построения функции предлагается следующий способ задания граничных условий для рассматриваемой сетки при решении задач (2.1). Шаги метода динамического программирования вычисляются по формуле
, , , .(2.3)
На каждом интервале при решении задачи уравнениями (2.1) задаются граничные условия на перемещения DUz по следующему алгоритму:
,
, пока , иначе и повторное выполнение операций.
Граничные условия на всех интервалах могут быть представлены с помощью системы параметров
,
где xk могут принимать значения 0,1,.., N (при условии ), а zk — значения 0,1,.., M.
Вычисления рекуррентных соотношений выполняются путем построения итераций с различными системами параметров и решения уравнений (2.1) в системе MSC.Marc (см. [21]). Ввод граничных условий и вывод значения критерия оптимизации выполняется с помощью разработанных пользовательских программ.
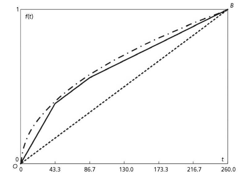
Численное решение задачи оптимизации траектории деформирования сводится к перебору вариантов при каждом параметре tk. Набор вариантов функции f(t) задается ломаными линиями, проходящими от точки O к точке B (фиг. 2). В результате оптимальное решение, полученное методом динамического программирования при N=3, M=9, N=4, M=12 и N=6, M=18 (фиг. 2–4), приближается к аналитической кривой и не совпадает с линейной функцией (жирная кривая — численные результаты, штрихпунктирная кривая — аналитические данные для больших прогибов пластины, см. [6; 12]). Вычисленное максимальное значение работы рассеяния в пластинке по аналитической траектории в случае больших прогибов оказывается меньшим по сравнению со всеми возможными траекториями, определенными методом динамического программирования.
Фиг. 2. Траектория деформирования пластинки при N = 3, M = 9.
Фиг. 3. Траектория деформирования пластинки при N = 4, M = 12.
Фиг. 4. Траектория деформирования пластинки при N = 6, M = 18.
При значительном увеличении N наблюдается расхождение от аналитических кривых.
3. Исследование сходимости численного метода оптимизации
Пусть сетка Qm характеризуется шагом tm по временной переменной и шагом по пространственной переменной. Последовательность сеток такова, что , при . Каждой сетке Qm можно поставить в соответствие конечное множество траекторий построенных с помощью элементарной операции (см. [18; 19]). Данные траектории представляют собой ломаные, которые проходят через узлы, лежащие на гиперплоскостях С помощью метода динамического программирования можно определить ломаную, соединяющую начальную и конечную точки и имеющую минимальную длину. Под длиной понимается величина диссипируемой работы (2.2)
где , .
Обозначим
(3.1)
где диссипируемая работа A0 определяется по оптимальной криволинейной траектории f(t), а A — по оптимальной ломаной траектории f(t, m), найденной с помощью метода динамического программирования.
Согласно лемме из [18], если то траектория деформирования f(t, m) сходится слабо к оптимальной f(t).
При известном потенциале скоростей ползучести можно записать (см. [23])
Тогда, если удельная мощность рассеянной при ползучести энергии есть однородная функция напряжений степени n+1, то (см. [23]).
Отсюда следуют и обратные соотношения
В этом случае можно определить (см. [24]). Условие устойчивости в малом эквивалентно условию выпуклости функций и (см. [6]).
В силу выпуклости закона выполняется неравенство для любых двух путей деформирования , (см. [19]):
или .
Далее будем обозначать с помощью индекса «0» все величины, относящиеся к оптимальному пути деформирования, тогда и разница диссипируемой работы примет вид
Таким образом, (3.1) примет вид
(3.2)
Считая, что изменения объема на установившейся стадии ползучести не происходит, т.е. (см. [23]), тензор скорости деформаций ползучести может рассматриваться как девиатор скорости деформаций ползучести. Так как гидростатическое напряжение работы не совершает, то тензор напряжений может быть заменен девиатором тензора. В этом случае мощность рассеяния энергии при ползучести может быть представлена в виде .
Представим мощность удельной рассеянной при ползучести энергии в виде (см. [6])
, (3.3)
где интенсивность скоростей деформаций ползучести .
Умножим (1.2) на sij и свернем: Сравнивая с (3.3), получим откуда совпадает с (1.2). Тогда продифференцируем по
, но .
Откуда получим . Но , тогда . Таким образом, напряжения определяются по скоростям деформаций ползучести с помощью соотношения
.(3.4)
Для оценки Dm в (3.2), будет использоваться модель гибкой мембраны, для которой скорости деформаций определяются по (1.4). Мембрана толщиной h занимает в плоскости область S. Примем такие же допущения, как и в [6]:
1) если время деформирования велико, то компонентами скоростей упругих деформаций можно пренебречь, таким образом, принимаем ;
2) при деформировании тонких пластин остаточная форма в основном определяется прогибом w, так как перемещения ua в плоскости пластин много меньше w.
Пусть искомый прогиб имеет вид
(3.5)
Тогда в силу указанных предположений и (1.4) . Используя (3.4) с учетом , найдем напряжения
В этом случае (3.2) примет вид
(3.6)
где .
Отрезки, соединяющие точки с соседних гиперповерхностей, описываются уравнениями , тогда .
Обозначив значения функций в моменты времени , можно записать и . Положим, что , тогда
где использованы обозначения , , , , , , .
Аналогично оценим выражение
Тогда для подынтегрального выражения (3.6) будет выполняться неравенство
где .
В результате (3.2) примет вид
(3.7)
Сравнивая функцию оптимального деформирования, полученного аналитически в случае больших прогибов, с (3.5), найдем . Используя разложение в ряд Тейлора, ограничиваясь членами первого порядка, можно получить
В этом случае коэффициенты могут быть заданы значениями
, , , .
Таким образом, для сходимости решения задачи, полученного методом динамического программирования, к точному достаточно, чтобы шаги по пространственной и временной переменным удовлетворяли условию
(3.8)
где r, e — произвольные положительные постоянные.
Графики изменения величины Dm, вычисленной по формуле (3.7), в зависимости от значений шагов по пространственной и временной переменным, определенных по N, M в (2.3), представлены на фиг. 5. Константа C в (3.7) выбрана при условии совпадения аналитических и численных значений Dm при N=2.
Фиг. 5. Изменение Dm в зависимости от N, M по формуле (3.7).
По результатам численного решения методом динамического программирования задачи оптимального деформирования пластинки (фиг. 1) с разными значениями N, M вычислены значения Dm по (3.1) и , которые представлены на фиг. 6, 7.
Фиг. 6. Численные результаты изменения Dm в зависимости от N, M.
Фиг. 7. Численные результаты изменения e в зависимости от N, M.
Заключение
Представлен анализ сходимости метода динамического программирования для задач оптимального формообразования в ползучести и получены аналитические зависимости влияния величин шагов пространственной и временной переменных на сходимость. Численные и аналитические данные о сходимости метода оптимизации с различными размерами сеток демонстрируют качественное совпадение. Различие этих данных увеличивается при уменьшении шага по времени, что может быть вызвано выбором максимальных коэффициентов, не зависящих от времени, а также исключением в аналитическом варианте скоростей деформаций упругости (см. [6]). Таким образом, для обеспечения устойчивого решения задачи необходимо учитывать соотношения между пространственной и временной переменными (3.8).
Разработанный метод оптимизации уменьшает объем вычислений в сравнении с перебором всевозможных путей деформирования, т.к. в процессе расчета исключаются неоптимальные траектории. Несмотря на это, незначительное увеличение параметров метода, в частности, размерности, приводит к требованию значительных вычислительных ресурсов. С учетом развития вычислительных технологий разработанный метод позволяет на стадии подготовки производства оптимизировать параметры технологического процесса, в частности, для формообразования деталей в реконфигурируемом стержневом пуансоне определить оптимальную систему траекторий деформирования для разных точек пластины при учете разносопротивляемости и анизотропии в ползучести (см. [25]).
Об авторах
К. С. Бормотин
Комсомольский-на-Амуре государственный университет
Автор, ответственный за переписку.
Email: cvmi@knastu.ru
Россия, 681013 Комсомольск-на-Амуре, пр-т Ленина, 27
Список литературы
- Аннин Б. Д., Олейников А. И., Бормотин К. С. Моделирование процессов формообразования панелей крыла самолета SSJ-100 // Прикл. механ. и техн. физ. 2010. Т. 51. № 4. С. 155–165.
- Горев Б. В., Клопотов И. Д., Раевская Г. А., Соснин О. В. К вопросу обработки материалов давлением в режиме ползучести // Прикл. механ. и техн. физ. 1980. № 5. С. 185–191.
- Huang Lin, Wan Min, Chi Cailou, Ji Xiusheng. FEM analysis of spring-backs in age forming of aluminum alloy plates // Chinese J. of Aeronautics. 2007. V. 20. P. 564–569.
- Lihua Z., Jianguo L., Minghui H. Study on springback behavior in creep age forming of aluminium sheets // Adv. Sci. Lett. 2013. V. 19. No. 1. P. 75–79.
- Ribeiro F. C., Marinho E. P., Inforzato D. J., Costa P. R., Batalha G. F. Creep age forming: a short review of fundaments and applications // J. of Achievements in Materials and Manufacturing Engineer. 2010. V. 43. No. 1.
- Цвелодуб И. Ю. Постулат устойчивости и его приложения в теории ползучести металлических материалов. Новосибирск: Ин-т гидродинамики СО АН СССР, 1991.
- Соснин О. В., Шубин И. А., Горев Б. В., Раевская Г. А. Способ формообразования деталей двойной крутизны и устройство для его осуществления. А.с. 1147471 СССР // Б.И. 1985. № 12.
- Simon D., Kern L., Wagner J., Reinhart G. A reconfigurable tooling system for producing plastic shields // Procedia CIRP. 2014. V. 17. P. 853–858.
- Банщикова И. А. Построение определяющих уравнений для ортотропных при ползучести материалов с различными свойствами при растяжении и сжатии // Прикл. механ. и техн. физ. 2020. Т. 61. № 1. С. 102–117.
- Соснин О. В. Об анизотропной ползучести материалов // Прикл. механ. и техн. физ. 1965. № 6. С. 99–104.
- Бормотин К. С., Вин Аунг. Метод динамического программирования в задачах оптимального деформирования панели в режиме ползучести // Вычисл. методы и программирование. 2018. Т. 19. C. 470–478.
- Бормотин К. С., Олейников А. И. Вариационные принципы и оптимальные решения обратных задач изгиба пластин при ползучести // Прикл. механ. и техн. физ. 2012. Т. 53. № 5. С. 136–146.
- Коробейников C. H. Нелинейное деформирование твердых тел. Новосибирск: Изд-во СО РАН, 2000.
- Соснин О. В., Никитенко А. Ф., Горев Б. В. К обоснованию энергетического варианта теории ползучести и длительной прочности металлов // Прикл. механ. и техн. физ. 2010. Т. 51. № 4. С. 188–197.
- Бормотин К. С. Итеративный метод решения геометрически нелинейных обратных задач формообразования элементов конструкций в режиме ползучести // Ж. вычисл. матем. и матем. физ. 2013. Т. 53. № 12. С. 145–153.
- Тимошенко С. П., Войновский-Кригер С. Пластинки и оболочки. М.: Наука, 1966.
- Wriggers P. Computational contact mechanics. Heidelberg: Springer, 2006.
- Моисеев Н. Н. Элементы теории оптимальных систем. М: Наука, 1975.
- Васильев Ф. П. Методы оптимизации. М.: Факториал Пресс, 2002.
- Коробейников С. Н., Олейников А. И., Горев Б. В., Бормотин К. С. Математическое моделирование процессов ползучести металлических изделий из материалов, имеющих разные свойства при растяжении и сжатии // Вычисл. методы и программирование: новые вычисл. технологии. 2008. Т. 9. № 1. С. 346–365.
- Marc 2021, Vol A: Theory and User Information, http://hexagon.com/products/marc/product/marc.
- Соснин О. В., Горев Б. В., Рубанов В. В. Кручение квадратной пластинки из материала, разносопротивляющегося растяжению и сжатию при ползучести // Расчеты прочности судовых конструкций и механизмов. Сб. тр. НИИВТа № 117. Новосибирск: Новосиб. ин-т инженеров вод. трансп. 1976. С. 78–88.
- Работнов Ю. Н. Ползучесть элементов конструкций. М.: Наука, 1966.
- Качанов Л. М. Теория ползучести. М.: Гостехиздат, 1960.
- Бормотин К. С., Кривенок А. А. Численная оптимизация кинематической схемы многоточечного формообразования панелей в условиях ползучести // Изв. РАН. Механ. твердого тела. 2022. № 5. С. 150–163.
Дополнительные файлы









