Error Estimation and Optimization of the Direct Simulation Monte Carlo Method Taking into Account Spatial Regularization
- Authors: Plotnikov M.Y.1, Shkarupa E.V.2
- 
							Affiliations: 
							- Kutateladze Institute of Thermophysics, Siberian Branch, Russian Academy of Sciences
- Institute of Computational Mathematics and Mathematical Geophysics, Siberian Branch, Russian Academy of Sciences
 
- Issue: Vol 63, No 8 (2023)
- Pages: 1367-1379
- Section: Mathematical physics
- URL: https://journals.rcsi.science/0044-4669/article/view/136213
- DOI: https://doi.org/10.31857/S0044466923070128
- EDN: https://elibrary.ru/ZXWLAB
- ID: 136213
Cite item
Full Text
Abstract
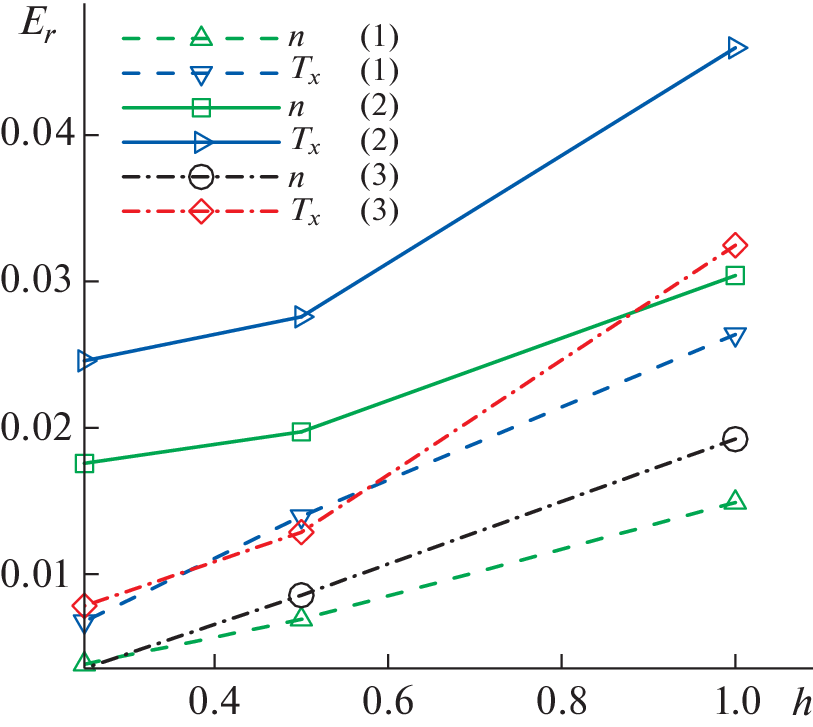
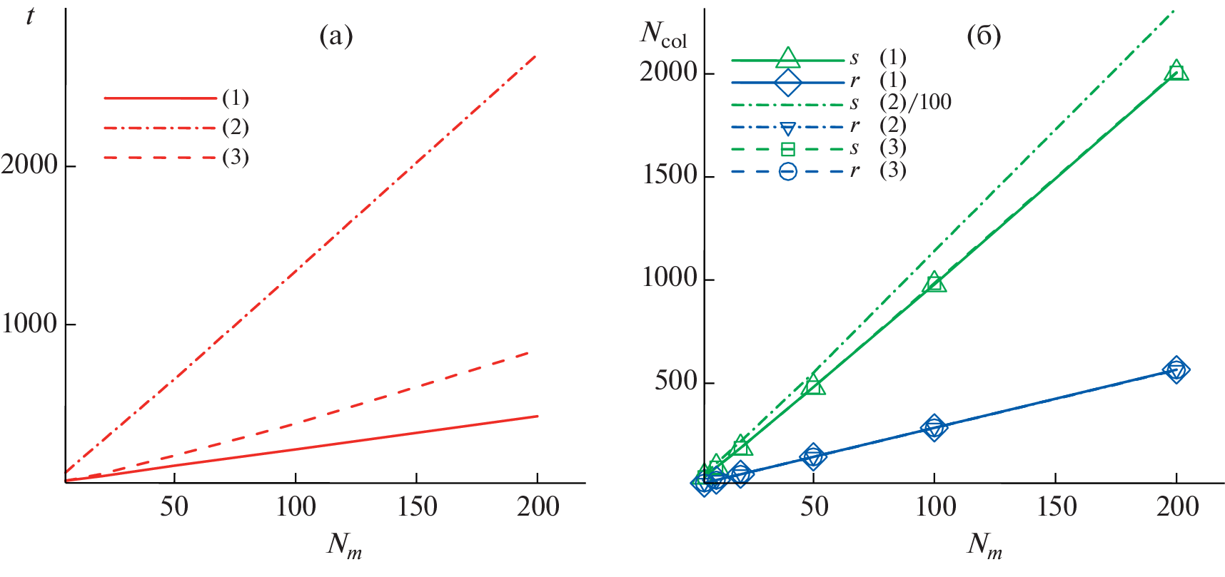
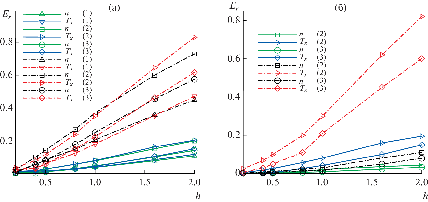
The direct simulation Monte Carlo method is widely used for solving rarefied gas dynamics problems. The focus in this paper is on the study of the error introduced by spatial regularization of the interaction between two particles. Two approaches to spatial regularization and three direct simulation Monte Carlo algorithms implementing these approaches are considered. An upper bound on the error of these algorithms in the metric of the space of continuous functions is constructed, and conditionally optimal parameters that guarantee a prescribed error level in probability are obtained. Using the classical Fourier problem as an example, the error introduced by regularization is numerically investigated, and the constructed conditionally optimal parameters are tested.
About the authors
M. Yu. Plotnikov
Kutateladze Institute of Thermophysics, Siberian Branch, Russian Academy of Sciences
														Email: plotnikov@itp.nsc.ru
				                					                																			                												                								630090, Novosibirsk, Russia						
E. V. Shkarupa
Institute of Computational Mathematics and Mathematical Geophysics, Siberian Branch, Russian Academy of Sciences
							Author for correspondence.
							Email: sev@osmf.sscc.ru
				                					                																			                												                								 630090, Novosibirsk, Russia
						
References
- Bird G.A. Perception of numerical methods in rarefied gas dynamics // in: Proc. of 16-th Intern. Symp. on Rarefied Gas Dynamics, Eds. by E.P. Muntz, D.P. Weaver, D.H. Campbell, V. 118. (Progress in Astro. and Aero., 1989), P. 211.
- Ivanov M.S., Rogasinsky S.V. Analysis of the numerical techniques of the direct simulation Monte Carlo method in the rarefied gas dynamics // Soviet J. Numer. Anal. Math. Modelling. 1988. V. 3. № 6. P. 453.
- Черемисин Ф.Г. Решение кинетического уравнения Больцмана для высокоскоростных течений // Ж. вычисл. матем. и матем. физ. 2006. Т. 46. № 2. С. 329.
- Титарев В.А., Шахов Е.М. Гибридный метод расчета струи разреженного газа при истечении через очень длинный канал в вакуум // Ж. вычисл. матем. и матем. физ. 2020. Т. 60. № 11. С. 1998.
- Titarev V.A., Frolova A.A., Rykov V.A., Vashchenkov P.V., Shevyrin A.A., Bondar Ye.A. Comparison of the Shakhov kinetic equation and DSMC method as applied to space vehicle aerothermodynamics // J. Comput. Appl. Math. 2020. V. 364. 112354.
- Shi Yangyang, Wu Lei and Shan Xiaowen. Accuracy of high-order lattice Boltzmann method for non-equilibrium gas flow // J. Fluid Mech. 2021. V. 907, A25.
- Bird G.A. Molecular gas dynamics and the direct simulation of gas flows. Oxford: Clarendon Press, 1994.
- Иванов М.С., Рогазинский С.В. Метод прямого статистического моделирования в динамике разреженного газа. Новосибирск: ВЦ СО РАН, 1988.
- Wagner W. A convergence proof for Bird’s direct simulation Monte Carlo method for the Boltzmann equation // J. Stat. Phys. 1992. V. 66. P. 101.
- Rogasinsky S.V. On the pair correlations of particle evolution in the direct statistical simulation // Monte Carlo methods and applications. 1996. V. 2. № l. P. 25.
- Alexander F.J., Garcia A.L., Alder B.J. Cell size dependence of transport coefficients in stochastic particle algorithms // Phys. Fluids. 1998. V. 10. № 6. P. 1540. https://doi.org/10.1063/1.869674
- Garcia A.L., Wagner W. Time step truncation error in direct simulation Monte Carlo // Phys. Fluids. 2000. V. 12. P. 2621.
- Hadjiconstantinou N.G. Analysis of discretization in the direct simulation Monte Carlo // Phys. Fluids. 2000. V. 12. P. 2634.
- Bobylev A.V., Ohwada T. The error of the splitting scheme for solving evolutionary equations // Appl. Math. Lett. 2001. V. 14. P. 45.
- Gallis M.A., Torczynski J., Rader D., and Bird G.A. Convergence behavior of a new DSMC algorithm // J. Comput. Phys. 2009. V. 228. P. 4532.
- Rogasinsky S.V., Levin D.A., Ivanov M.S. Statistical errors of DSMC results for rarefied gas flow // In: Proc. of 25-th Intern. Symp. on Rarefied Gas Dynamics, Eds. by A.K. Rebrov, M.S. Ivanov, (Publish House of the Siberian Branch of Russian Academy of Sciences, Novosibirsk; 2007), P. 391.
- Plotnikov M.Yu., Shkarupa E.V. Theoretical and numerical analysis of approaches to evaluation of statistical error of the DSMC method // Comput. Fluids. 2014. V. 105. P. 251.
- Плотников М.Ю., Шкарупа Е.В. Комбинированный подход к оцениванию статистической погрешности метода прямого статистического моделирования // Ж. вычисл. матем. и матем. физ. 2015. Т. 55. № 11. С. 138.
- Khisamutdinov A., Velker N. Algorithms and numerical implementation of imitation Monte Carlo methods with splitting for problems of the Boltzmann equation // Journal of Computational and Theoretical Transport. 2016. V. 45. № 3. P.230.
- Rogasinsky Sergey V. Two variants of Monte Carlo projection method for numerical solution of nonlinear Boltzmann equation // Russ. J. Numer. Anal. Math. Modelling. 2019. V. 34. № 3. P. 143.
- Myong R.S., Karchani A., Ejtehadi O. A review and perspective on a convergence analysis of the direct simulation Monte Carlo and solution verification // Phys. Fluids. 2019. V. 31. 066101.
- Stefanov Stefan, Roohi Ehsan, and Shoja-Sani Ahmad. A novel transient-adaptive subcell algorithm with a hybrid application of different collision techniques in direct simulation Monte Carlo (DSMC) // Phys. Fluids. 2022. V. 34. 092003.
- Plotnikov M.Yu., Shkarupa E.V. Selection of sampling numerical parameters for the DSMC method // Comput. Fluids. 2012. V. 58. P. 102.
- Rogasinsky S.V. Statistical modelling of the solution of the nonlinear Boltzmann equation in the spatially inhomogeneous case // Russ. J. Numer. Analys. Math. Modelling. 2009. V. 24. № 5. P. 495.
- Хисамутдинов А.И. Влияние области взаимодействий пар частиц на результаты статистического моделирования течений разреженных газов. Препринт ИНГГ СО РАН, Новосибирск. 2021. С. 1–9.
- Иванов М.С., Рогазинский С.В. Экономичные схемы прямого статистического моделирования течений разреженного газа // Матем. моделирование. 1988. Т. 1. № 7. С.130.
- Shkarupa E.V., Voytishek A.V. Optimization of discretely stochastic procedures for globally estimating the solution of an integral equation of the second kind // Russ. J. Numer. Anal. Math. Modelling. 1997. V.12. № 6. P. 525.
- Плотников М.Ю., Шкарупа Е.В. Оценка статистической погрешности метода прямого статистического моделирования // Ж. вычисл. матем. и матем. физ. 2010. Т. 50. № 2. С. 1.
Supplementary files
 
				
			 
					 
						 
						 
						 
						 
				
 
  
  
  Email this article
			Email this article 





