Модифицированный метод секущих для энтропийных решеточных уравнений Больцмана
- Авторы: Ильин О.В.1
-
Учреждения:
- ФИЦ ИУ РАН
- Выпуск: Том 63, № 7 (2023)
- Страницы: 1206-1215
- Раздел: МАТЕМАТИЧЕСКАЯ ФИЗИКА
- URL: https://journals.rcsi.science/0044-4669/article/view/136200
- DOI: https://doi.org/10.31857/S0044466923060108
- EDN: https://elibrary.ru/UYPYHC
- ID: 136200
Цитировать
Полный текст
Аннотация
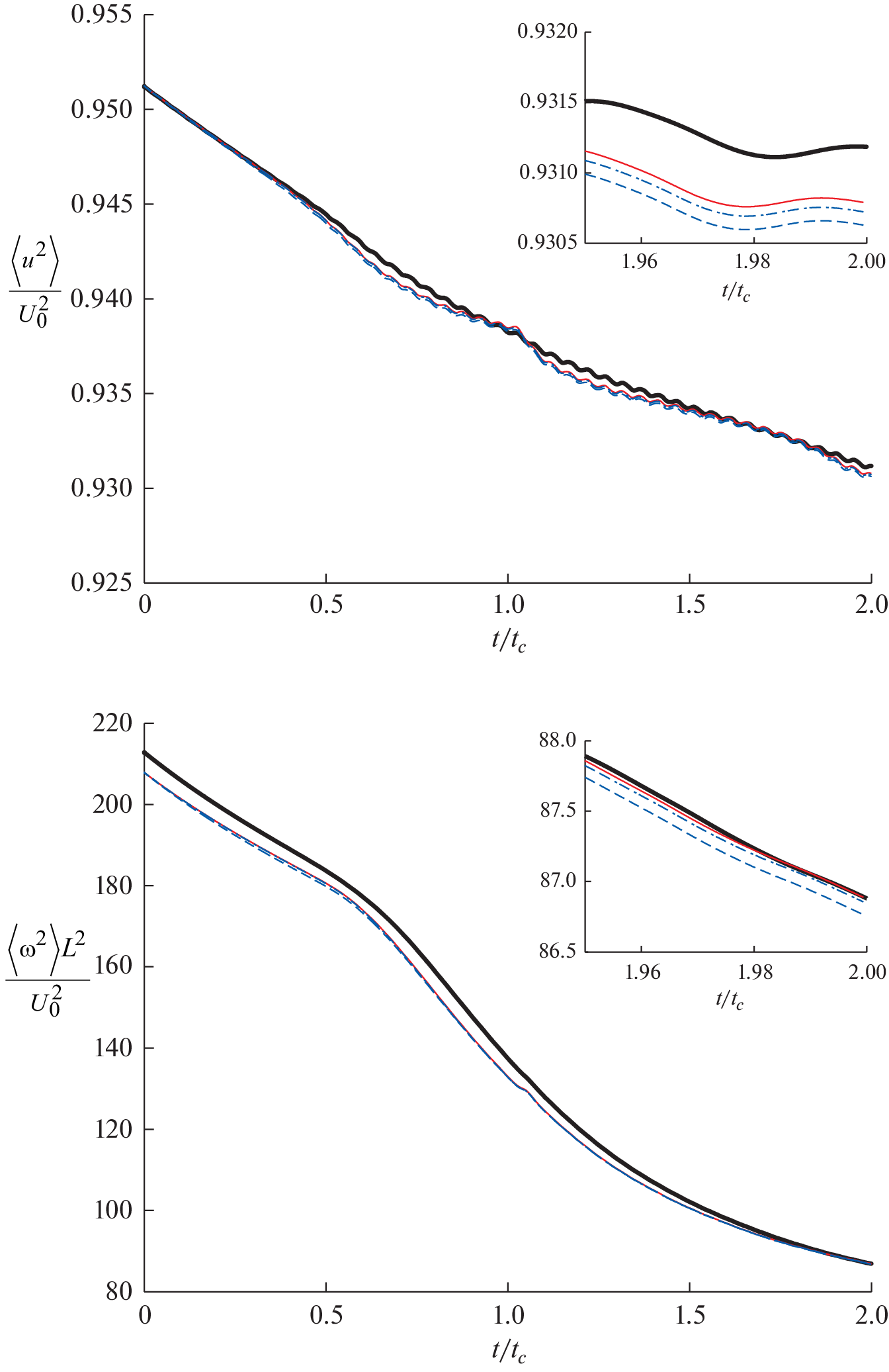
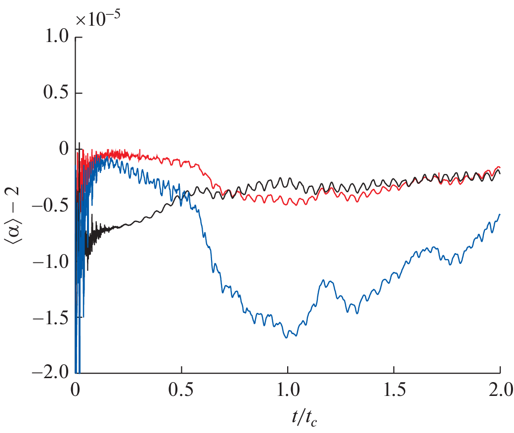
Устойчивость решеточных уравнений Больцмана регулируется параметром, отвечающим за время релаксации неравновесной системы, который, в свою очередь, влияет на вязкость исследуемого течения. В энтропийном подходе время релаксации вычисляется из уравнения баланса энтропии таким образом, чтобы энтропия в каждый момент времени и в каждой пространственной точке не убывала. В настоящей статье рассматривается метод решения уравнения баланса энтропии на основе модифицированного метода секущих. Показано, что данный подход имеет хорошую точность. В качестве приложения предлагаемого метода рассмотрены численные решения задачи о двумерном двойном сдвиге. Проведено сравнение результатов расчетов с другими энтропийными методами.
Ключевые слова
Об авторах
О. В. Ильин
ФИЦ ИУ РАН
Автор, ответственный за переписку.
Email: oilyin@gmail.com
Россия, 119333, Москва, ул. Вавилова, 44
Список литературы
- Krüger T., Kusumaatmaja H., Kuzmin A., Shardt O., Silva G., Viggen E. The Lattice Boltzmann Method. Principles and Practice. Springer, 2017.
- Karlin I., Succi S., Chikatamarla S. Comment on “Numerics of the lattice Boltzmann method: Effects of collision models on the lattice Boltzmann simulations” // Phys. Rev. E. 2011. V. 84. 068701.
- Karlin I., Bösch F., Chikatamarla S., Succi S. Entropy-Assisted Computing of Low-Dissipative Systems // Entropy. 2015. V. 17. P. 8099.
- Godunov S., Sultangazin U. On discrete models of the kinetic Boltzmann equation // Russian Math. Surveys. 1971. V. 26. P. 1.
- Gatignol R. The hydrodynamical description for a discrete velocity model of gas // Complex Systems. 1987. V. 1. P. 709.
- Ilyin O. Discrete Velocity Boltzmann Model for Quasi-Incompressible Hydrodynamics // Mathematics. 2021. V. 9. P. 993.
- Yong W.-A., Luo L.-S. Nonexistence of H theorems for the athermal lattice Boltzmann models with polynomial equilibria // Phys. Rev. E. 2003. 051105.
- Yong W.-A., Luo L.-S. Nonexistence of H Theorem for some Lattice Boltzmann models // J. Stat. Phys. 2005. V. 121. P. 91.
- Karlin I., Succi S. Equilibria for discrete kinetic equations // Phys. Rev. E. 1998. V. 58. R4053.
- Karlin I., Gorban A., Succi S., Boffi V. Maximum Entropy Principle for Lattice Kinetic Equations // Phys. Rev. Lett. 1998. V. 81. P. 6.
- Karlin I., Ferrante A., Öttinger H. Perfect entropy functions of the Lattice Boltzmann method // Europhys. Lett. 1999. V. 47. P. 182.
- Ansumali S., Karlin I., Öttinger H. Minimal entropic kinetic models for hydrodynamics // Europhys. Lett. 2003. V. 63. P. 798.
- Ansumali S., Karlin I. Stabilization of the lattice Boltzmann method by the H theorem: A numerical test // Phys. Rev E. 2000. V. 62. 7999.
- Ansumali S., Karlin I. Entropy Function Approach to the Lattice Boltzmann Method // J. Stat. Phys. 2002. V. 107. P. 291.
- Tosi F., Ubertini S., Succi S., Karlin I. Optimization Strategies for the Entropic Lattice Boltzmann Method // J. Sci. Comput. 2007. V. 30. P. 369.
- Chikatamarla S., Ansumali S., Karlin I. Entropic Lattice Boltzmann Models for Hydrodynamics in Three Dimensions // Phys. Rev. Lett. 2006. V. 97. 010201.
- Atif M., Kolluru P., Thantanapally C., Ansumali S. Essentially Entropic Lattice Boltzmann Model // Phys. Rev. Lett. 2017. V. 119. 240602.
- Zhao W., Yong W.-A. Relaxation-rate formula for the entropic lattice Boltzmann method // Chinese Phys. B. 2019. V. 28. 114701.
- Jonnalagadda A., Sharma A., Agrawal A. Single Relaxation Time Entropic Lattice Boltzmann Methods: A Developer’s Perspective for Stable and Accurate Simulations // Comput. Fluids. 2021. V. 2015. 104792.
- Karlin I., Ansumali S., Frouzakis C., Chikatamarla, S. Elements of the Lattice Boltzmann Method I: Linear Advection Equation // Commun. Comput. Phys. 2006. V. 1. P. 616.
- F. Topsøe. Some bounds for the logarithmic function // https: // rgmia.org/papers/v7n2/pade.pdf. 2007. University of Copenhagen.
- Sterling J., Chen S. Stability Analysis of Lattice Boltzmann Methods // J. Comp. Phys. 1996. V. 123. P. 196.
- Siebert D., Hegele Jr. L., Philippi P. Lattice Boltzmann equation linear stability analysis: Thermal and athermal models // Phys. Rev. E. 2008. V. 77. P. 026707.
- Ricot D., Marié S., Sagaut P. Comparison between lattice Boltzmann method and Navier–Stokes high order schemes for computational aeroacoustics // J. Comp. Phys. 2009. V. 228. P. 1056.
- Wissocq G., Sagaut P., Boussuge J.-F. An extended spectral analysis of the lattice Boltzmann method: modal interactions and stability issues // J. Comp. Phys. 2019. V. 380. P. 311.
- Masset P.-A., Wissocq G. Linear hydrodynamics and stability of the discrete velocity Boltzmann equations // J. Fluid Mech. 2020. V. 897. A.29.
- Coreixas C., Wissocq G., Chopard B., Latt, J. Impact of collision models on the physical properties and the stability of lattice Boltzmann methods // Phil. Trans. R. Soc. A. 2020. V. 378. P. 20190397.
- Wissocq G., Coreixas C., Boussuge J.-F. Linear stability and isotropy properties of athermal regularized lattice Boltzmann methods // Phys. Rev. E. 2020. V. 102. P. 053305.
- Ilyin O. Discrete-velocity Boltzmann model: Regularization and linear stability // Phys. Rev. E. 2022. V. 105. P. 045312.
- Mattila K., Hegele Jr. L., Philippi P. Investigation of an entropic stabilizer for the lattice-Boltzmann method // Phys. Rev. E. 2015. V. 91. P. 063010.
- Dellar P. Bulk and shear viscosities in lattice Boltzmann equations // Phys. Rev. E. 2001. V. 64. P. 031203.
Дополнительные файлы







